Key Points
Plasma EBV DNA copy number discriminated patients with BL from controls in East Africa with sensitivity, specificity, and accuracy of >80%.
Circulating EBV DNA copy number could facilitate diagnosis of BL earlier, reduce diagnostic delays, and increase BL survival in Africa.
Visual Abstract
In sub-Saharan Africa (SSA), many pediatric patients with Burkitt lymphoma (BL) perish because of diagnostic delays. About 95% of pediatric BL cases in SSA are Epstein-Barr virus (EBV) positive. We assessed plasma EBV DNA in 400 pediatric patients with BL and 400 controls, frequency-matched on sex, age, and country, enrolled in the Epidemiology of Burkitt Lymphoma in East African Children and Minors study in Uganda, Kenya, and Tanzania (2010-2016). EBV was measured using a digital droplet polymerase chain reaction assay targeting EBV BamHI-W internal repeats, duplexed with RPP30 human housekeeping gene. The study population was predominantly male (63% of cases of BL, and 64% of controls), with an average age of ∼7.5 years. EBV DNA was detected in 309 (77.3%) cases of BL, and 62 (15.5%) controls. The mean plasma EBV DNA levels were 5.00 (standard deviation [SD] 1.63) log10 copies per mL for cases with BL vs 1.94 (SD 1.35) for controls (P < .0001). Excluding 50 cases with BL and 61 controls with indeterminate (RPP30 and EBV negative) samples, the maximum sensitivity of plasma EBV DNA detection to discriminate cases with BL from controls was 88.3% (95% confidence interval [CI], 84.4-91.5), with 81.7% (95% CI, 77.2-85.7) specificity, and area under the curve 91.9% (95% CI, 89.7-93.9). A specificity of 100% was achieved at a threshold of 4.19 log10 EBV copies per mL, which reduced sensitivity to 66.6%. Assay accuracy varied from 83% to 87.4% at different thresholds. Testing for EBV DNA could facilitate the recognition of BL earlier in SSA, a critical step in improving BL cure rates in the region.
Introduction
Burkitt lymphoma (BL) is an aggressive B-cell lymphoma characterized by translocation of MYC into the vicinity of immunoglobulin gene enhancers, either heavy-chain or light-chain genes, leading to constitutive expression of MYC and high cellular proliferation.1 In fact, BL is one of the fastest growing tumors, with a doubling time of 24 to 48 hours.2 Although it was historically grouped into endemic, sporadic, and immunodeficiency-associated subtypes,3-5 recent studies suggest that BL is better defined by Epstein-Barr virus (EBV) infection status in the tumor.6 The presence or absence of EBV correlates with distinct somatic molecular and epigenetic patterns.7
BL incidence is 20 times higher in sub-Saharan Africa (SSA) than elsewhere, and BL accounts for most childhood cancers in many SSA countries.8 Although BL is highly curable when treated promptly,9,10 only 38% to 55% of cases in SSA are cured.11-13 This is largely due to treatment delays from symptom onset to the start of cancer treatment.14 The median treatment delay is 13 weeks in Uganda and Tanzania,14 including 7 weeks during which the patient was within the health care system. These delays increase the likelihood that patients will present with advanced stage disease,10 and with a compromised performance status,15 both indicators of poor prognosis.
Because 95% of cases of BL in SSA are EBV positive,1 and tumor cells typically carry a median of 50 EBV genome copies per cell,16,17 dying tumor cells could release sufficient tumor EBV DNA in plasma that could be measured to facilitate earlier recognition of BL, and potentially reduce treatment delays. EBV DNA tests have been extensively evaluated in other EBV-associated malignancies,18-20 but not in BL. An EBV DNA test could also be used as an intermediate disease-predictive biomarker to screen for BL or map BL hot spots.21,22 The few studies that evaluated plasma EBV DNA in pediatric cases of BL in SSA (supplemental Table 1)23-27 reported EBV DNA detection in 60% to 100% of cases of BL, but also in 5% to 84% of children without BL, raising concerns about insufficient specificity. Due to varying study designs, type of specimens tested, detection technologies, and EBV genes targeted (EBNA3C, BALF51, EBNA2, or LMP-1), it is challenging to draw conclusions on the clinical utility of EBV detection in pediatric cases of BL. We initially conducted a pilot study of 25 cases of BL and 25 controls from Uganda23 in the Epidemiology of Burkitt Lymphoma in East African Children and Minors (EMBLEM) study28,29 using quantitative polymerase chain reaction (PCR) targeting EBV’s BamHI-W repeats.30 Targeting BamHI-W may be more sensitive than EBNA3C, BALF51, EBNA2, or LMP-1 because there are 9 to 12 repeats per viral genome vs 1 copy for the other EBV genes.31 The assay discriminated cases with BL from controls with 88% sensitivity, 100% specificity, and an area under the curve (AUC) of 94% for circulating plasma EBV DNA using a threshold of 2.57 log10 copies per milliliter (mL). Herein, we report expanded results from 400 cases of BL and 400 controls from Uganda, Tanzania, and Kenya EMBLEM study participants using a custom digital droplet PCR (ddPCR) BamHI-W EBV assay.
Materials and methods
Study population
The EMBLEM study methods have been reported previously.28,29 Briefly, patients with BL and controls aged 0 to 15 years were enrolled from 6 neighboring regions in Uganda, Tanzania, and Kenya from November 2010 to September 2016. In 74% of cases of BL, the diagnosis was made by local histology or cytology, with only clinical diagnoses for the remainder.29 Controls were healthy-appearing children from 295 randomly selected villages.32-34 The controls were frequency-matched (hence, matched population controls) on age, sex, and area, to the historical cases of BL reported in their region (in the 10 years prior to EMBLEM study enrollment).35,36 For this study, we randomly selected 400 cases of BL from 697 cases, and 400 controls from 2934 matched controls, with frequency matching to the selected cases on sex, age, and country. Ethical approval for the study was given by the Uganda Virus Research Institute Research and Ethics Committee (GC/127), Uganda National Council for Science and Technology (HS 816), Tanzania National Institute for Medical Research (NIMR/HQ/R.8c/Vol. IX/1023), Moi University/Moi Teaching and Referral Hospital (000536), and the US National Cancer Institute (NCI; 10-C-N133). Written informed consent was obtained from the participants’ parent or guardian, and assent from children aged ≥7 years.
Venous blood samples were collected (before treatment in cases of BL) in EDTA tubes, and separated into buffy coat, plasma, and red blood cell layers by centrifugation (1300g for 15 minutes), and stored at −80°C. Frozen samples were shipped to the NCI Frederick National Laboratory for Cancer Research under liquid nitrogen vapor for long-term storage.
Plasma DNA extraction
DNA was extracted from 250 μL aliquots of plasma from previously unthawed plasma sample vials. Plasma aliquots were thawed via heat block at 37°C for 5 minutes, then transferred to a KingFisher Deep-Well 96 Plate (Life Technologies Corporation Carlsbad, CA) on the automated Hamilton Microlab Prep Liquid Handling System (Hamilton Company Reno, NV), where DNA extraction was performed using the Apostle MiniMax High Efficiency cfDNA Isolation Kit (Beckman Coulter Inc., Sykesville, MD) with a modified 55°C incubation and reagents, and volume scaled down for 250 μL plasma input. Elution incubation was modified from the manufacturer’s protocol to be performed at 55°C.
EBV DNA and RPP30 ddPCR
The samples (with their case status masked) were tested at the CLIA Molecular Diagnostics Laboratory, Frederick National Laboratory for Cancer Research using a novel ddPCR assay targeting a 71 bp sequence within the BamHI-W repeat region of the EBV genome (probe sets EBV_BamHI-W_ddPCR_FAM: 5ʹ-/6-FAM/CACACACTA/ZEN/CACACACCCACCCGTCTC/IABkFQ/-3ʹ; EBV_BamHI-W_ddPCR_AF: CCAACACTCCACCACACC; EBV_BamHI-W_ddPCR_ZR: TCTTAGGAGCTGTCCGAGG; primers: Life Technologies Corporation Carlsbad, CA; probes: Integrated DNA Technologies, Coralville, IA). The ddPCR technology was selected because it eliminates the need for standard curves for quantification of EBV DNA copies while maintaining precision, making it more feasible for small volume samples, and potentially less expensive and thus more suitable for use in SSA. The assay was optimized and performed.
The analytical sensitivity of the assay was 1 to 2 EBV copies per ng of DNA based on spiking experiments with BL-derived cell lines Namalwa (1-2 EBV copies per cell) and Raji (50-60 copies per cell). The assay was duplexed with a human housekeeping gene, ribonuclease P/MRP subunit p30 (RPP30; assay ID: dHsaCPE5038241; Bio-Rad, Hercules, CA), to allow for normalization on a per cell basis, and to confirm successful extraction of DNA if EBV DNA was not detected in a sample. Samples underwent droplet generation in 20 μL reactions as per manufacturer’s protocol on a QX200 Manual Droplet Generator (Bio-Rad) using ddPCR 2× Supermix for Probes (no dUTP; Bio-Rad), BamHI-W primer/probe mix (900 nM/250 nM final concentrations in reaction), and RPP30 gene expression assay. Cycling was done on the C1000 TOUCH CYCLER w/96W DP RM (Bio-Rad) under the following conditions with a ramp rate of 2°C/s: 1 cycle at 95°C for 10 minutes, 40 cycles at 94°C for 30 seconds and 60°C for 1 minute, 1 cycle at 98°C for 10 minutes, and an infinite hold step at 4°C. Sample results were read using the Bio-Rad QX200 Droplet Reader (Bio-Rad), and analyzed using Bio-Rad QX Manager v1.2.345 software. BamHI-W and RPP30 concentrations in copies per microliter were determined by applying manual thresholds to individual 2-dimensional amplitude scatter plots in the software, and back calculated to copies per milliliter. The reliability of the ddPCR assay was assessed in replicate samples from 5 cases of BL and 5 controls (6 embedded within-batch, and 4 between-batches). The laboratory staff were blinded to the case/control or replicate status of the samples.
Statistical analysis
Results of samples with positive droplets of EBV BamHI-W were log-transformed to base 10. The reliability of the results was evaluated by calculating the coefficient of variation as the standard deviation (SD)/mean log10 EBV DNA copies per mL of the study replicate samples, and expressed as a percentage. Seven replicate samples (from 2 cases of BL, and 5 controls) were concordantly EBV negative, and 3 replicate samples (all from cases of BL) were concordantly EBV positive with an average coefficient of variation of 1.8%. The mean log10 EBV copies per mL in cases of BL and controls were compared using the unpaired t test. The diagnostic value of plasma EBV DNA for BL was assessed using nonparametric receiver operator characteristic curves with bootstrapping (1000 replicates) to calculate the AUC and associated 95% confidence intervals (CIs).37,38 The threshold that maximized discrimination of cases of BL from controls was evaluated using EBV copies per mL in increments of 0.5 log10, thresholds determined subjectively by visual inspection of the data, and 2.57 log10 per mL based on our pilot study.23 Additionally, the R package command “cutpointr” was used to implement a bootstrapping method (1000 resamples) to select an optimal Youden’s Index (sensitivity + specificity – 1), defined as the median of the 1000 thresholds. For each threshold, the sensitivity (true positive/true positives + false negatives), specificity (true negatives/true negatives + false positives), accuracy (true positives + true negatives/total number), and Youden’s Index are reported.39,40 The positive and negative predictive values were not calculated because these values are affected by the prevalence of disease, therefore our 1:1 matched study design with 50% prevalence of BL would give misleading results. The associations between plasma EBV DNA copies and demographic, geographic, and laboratory characteristics were assessed separately in the cases and controls using the 2-sample Wilcoxon rank-sum test or Kruskal-Wallis quality-of-populations rank test. Additionally, Pearson’s correlations and corresponding P values were calculated to assess the associations between case status and each of the following variables: log10 RPP30 copies per mL, white blood cell count (×109/L), and log10 thick parasite count. Data were analyzed in Stata (Stata Statistical Software Release 17; StataCorp 2023, College Station, TX), receiver operator characteristic curves and threshold selection based on maximizing Youden’s Index produced in R,41 and dot plots in JMP (v18.0.0, SAS Institute Inc., Cary, NC).
Results
Most (93%) of the cases of BL in this study were diagnosed histologically or cytologically. As shown in Table 1, the cases of BL and controls had a similar mean age of ∼7.5 years. Half of the participants were from Uganda, one-third from Kenya, and the remaining from Tanzania. The geographic characteristics of the cases of BL and their frequency-matched controls fit the expected pattern of residing in areas suitable for intense Plasmodium falciparum transmission, which is over-represented in rural villages, villages near surface water, and enrolled during the wet season.28
Plasma EBV DNA was detected in 309 (77.3%) cases of BL, and in 62 (15.6%) controls, including 21 cases and 3 controls that were negative for RPP30 (Table 1). Fourteen percent of the participants (50 cases and 61 controls) were negative for both EBV and RPP30, so their samples were considered indeterminate due to insufficient DNA. P falciparum–negative infection status was observed in 36 (72%) of the EBV-indeterminate cases, and in 36 (59%) of the EBV-indeterminate controls (supplemental Table 2). Otherwise, the characteristics of the indeterminate samples were unremarkable. Excluding the indeterminate samples, plasma EBV was detected in 88.3% of the cases of BL and 18.3% of the controls.
Among those with detectable EBV, mean plasma EBV load was ∼3.1 logs higher in cases of BL (5.00 log10 EBV copies per mL, SD 1.63) than controls (1.94 log10 EBV copies per mL, SD 1.35, P < .001; Figure 1). Supplemental Figure 1 shows these results inclusive of the EBV-negative participants. No controls had EBV detected above the 25th percentile (4.2 log10 copies per mL) of the case values. Approximately 17% of cases (all RPP30 positive) had EBV DNA copies below the controls’ lowest quartile (1.47 log10 copies per mL); most of these cases were from Kenya (34/53; supplemental Table 3).
Dot plot of quantified circulating log10 EBV copies per milliliter in plasma for 309 cases of BL, and 62 controls with detectable EBV. The box plots show the distribution of quantified EBV as log10 copies per milliliter, where each dot represents 1 individual. The boxes cover the IQR, and the horizontal line in the box represents the medians, the whiskers are 1.5 times the IQR, and the dots beyond the whiskers are outliers. The P value tested the hypothesis of nonequality of means of EBV values in cases of BL and controls (unpaired t test). IQR, interquartile range.
Dot plot of quantified circulating log10 EBV copies per milliliter in plasma for 309 cases of BL, and 62 controls with detectable EBV. The box plots show the distribution of quantified EBV as log10 copies per milliliter, where each dot represents 1 individual. The boxes cover the IQR, and the horizontal line in the box represents the medians, the whiskers are 1.5 times the IQR, and the dots beyond the whiskers are outliers. The P value tested the hypothesis of nonequality of means of EBV values in cases of BL and controls (unpaired t test). IQR, interquartile range.
Overall, detectable plasma EBV DNA correctly classified cases of BL from controls with an AUC of 86.0%, which increased to 91.9% when excluding indeterminate samples (Figure 2). Assay sensitivity was highest when all EBV positive samples were included (equivalent to a viral load threshold of 1.35 log10 per mL), corresponding to 77.7% in analyses without vs 88.3% in analyses excluding indeterminate samples (Table 2). The corresponding specificities were 84.5% and 81.7%, respectively. Viral load thresholds based on visual inspection and bootstrapping were similar (2.21 vs 2.27 log10 per mL), and had similar sensitivities, specificities, accuracy, and Youden’s Index (Table 2). A viral load threshold of 2.57 log10 per mL based on our pilot study23 yielded comparable results. For EBV plasma DNA copy number ≥4.19 log10 per mL (a value slightly higher than the highest value in the controls), the specificity was 100%, but sensitivity fell to 58.3% without exclusion of indeterminate samples, and the accuracy was 79.1%. The sensitivity improved to 66.6% when indeterminate samples were excluded, with specificity of 100.0% and accuracy of 83.0%.
Receiver operating characteristic (ROC) curves to summarize the performance of detection of EBV DNA in plasma to discriminate cases of BL from controls. (A) All cases of BL and controls, N = 800, and (B) cases of BL and controls, excluding those lacking detectible RPP30 and EBV, N = 689. These ROC curves plot the false positive rate (1 – specificity) against the true positive rate (sensitivity) for the detection of EBV in participants with BL and controls, separately for all 800 participants with BL and controls (A), and for 698 participants with BL and controls that had either EBV or RPP30 detected. The shaded purple region represents the 95% CIs based on the bootstrap method with 1000 replicates. The gray diagonal line is the line of no discrimination (AUC = 50%). Because most controls (85%) had no detectable EBV, there is a vertical incline at a false positive rate of 0 because controls without detectable EBV are correctly classified. There is a plateau at 77.3% (panel A) and 88.3% (panel B) because that is the proportion of cases of BL with detectable EBV.
Receiver operating characteristic (ROC) curves to summarize the performance of detection of EBV DNA in plasma to discriminate cases of BL from controls. (A) All cases of BL and controls, N = 800, and (B) cases of BL and controls, excluding those lacking detectible RPP30 and EBV, N = 689. These ROC curves plot the false positive rate (1 – specificity) against the true positive rate (sensitivity) for the detection of EBV in participants with BL and controls, separately for all 800 participants with BL and controls (A), and for 698 participants with BL and controls that had either EBV or RPP30 detected. The shaded purple region represents the 95% CIs based on the bootstrap method with 1000 replicates. The gray diagonal line is the line of no discrimination (AUC = 50%). Because most controls (85%) had no detectable EBV, there is a vertical incline at a false positive rate of 0 because controls without detectable EBV are correctly classified. There is a plateau at 77.3% (panel A) and 88.3% (panel B) because that is the proportion of cases of BL with detectable EBV.
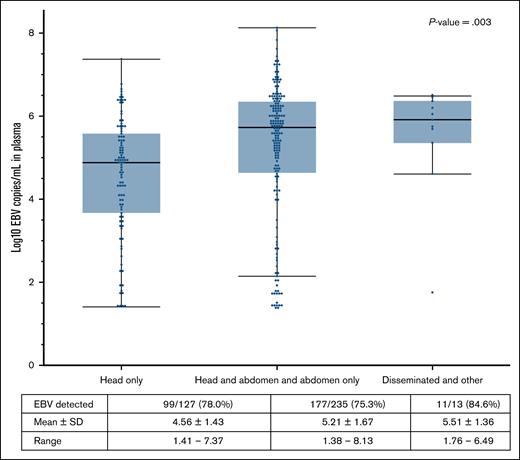
Among the controls, no differences in plasma EBV loads were noted by demographic, geographic, or laboratory characteristics (Table 3). Among cases of BL, plasma EBV loads were higher in females than males (P = .0118), and increased with increasing age (P = .0004). Plasma EBV copies were highest in cases of BL from Uganda (5.73 log10 copies per mL), intermediate in those from Tanzania (5.14 log10 copies per mL), and lowest in those from Kenya (4.64 log10 copies per mL, P = .0001). EBV loads did not differ by the location of the home, season of enrollment, or RPP30 detection status (Table 3). The proportion positive for EBV was similar for cases of BL presenting in the head only (78.0%) vs head and abdomen/abdomen only (75.3%; Figure 3), but EBV loads were lowest in BL presenting only in the head (mean: 4.56 log10 copies per mL) compared with abdominal (5.21 log10 copies per mL) or disseminated/other (5.51 log10 copies per mL).
Dot plot of log10 EBV copies per milliliter for 287 cases of BL with detectable EBV and anatomical site information, by anatomical site. The box plots show the distribution of quantified EBV as log10 copies per milliliter in 287 participants with BL, where each dot represents 1 participant with BL. The boxes cover the interquartile range (IQR), and the horizontal line in the box represents the medians, the whiskers are 1.5 times the IQR, and the dots beyond the whiskers are outliers. The analysis of variance test P value was .003; post hoc testing (Tukey honestly significant difference) P values between groups were .003 (head only vs head/abdomen and abdomen-only), .142 (head-only vs disseminated/other), and .820 (head/abdomen-only vs disseminated and other).
Dot plot of log10 EBV copies per milliliter for 287 cases of BL with detectable EBV and anatomical site information, by anatomical site. The box plots show the distribution of quantified EBV as log10 copies per milliliter in 287 participants with BL, where each dot represents 1 participant with BL. The boxes cover the interquartile range (IQR), and the horizontal line in the box represents the medians, the whiskers are 1.5 times the IQR, and the dots beyond the whiskers are outliers. The analysis of variance test P value was .003; post hoc testing (Tukey honestly significant difference) P values between groups were .003 (head only vs head/abdomen and abdomen-only), .142 (head-only vs disseminated/other), and .820 (head/abdomen-only vs disseminated and other).
Mean log10 RPP30 levels were similar in cases and controls (3.84 log10 copies per mL in cases, and 3.28 log10 copies per mL in the controls). Mean RPP30 level was significantly lower in EBV-positive than EBV-negative cases (3.77 vs 4.33, P = .0001), but levels in the positive vs negative controls were comparable (3.34 vs 3.27, P = .206; supplemental Figure 2). RPP30 levels in samples from the 3 countries were also similar (supplemental Figure 3). EBV levels did not correlate with RPP30 copies per mL (supplemental Figure 4), were not different in those who were RPP30 positive vs RPP30 negative (5.38 vs 5.36), or with white blood cell counts (supplemental Figure 5).
The lower prevalence of recent and current P falciparum infection observed in cases of BL compared with controls has consistently been observed in our previous studies.28,42 Among the controls, EBV levels were weakly correlated with log10P falciparum parasitemia (ρ = 0.1908, P = .034), but showed no correlation in the cases (supplemental Figure 6). EBV loads did not differ by the P falciparum infection status (Table 3). Many of the cases of BL with EBV levels below the lower quartile observed in the controls were P falciparum negative (46/53 cases; supplemental Table 3).
Discussion
Improving cure rates of pediatric cancers to >60% in SSA is an important goal of the Global Initiative for Childhood Cancer.43 However, limited access to reliable pathology diagnosis44,45 is an obstacle toward achieving that goal for BL. Delayed diagnosis of BL, a tumor characterized by high tumor cell kinetics,2 contributes to presentation when BL is advanced, with patients often in extremis and therefore unable to tolerate chemotherapy related to other factors. For example, 162 of 562 patients with BL identified could not be treated in the Third Groupe Franco-Africain d’Oncologie Pediatrique Lymphomes Malins B study in West Africa because they presented with advanced stage disease or poor nutrition/performance status or died shortly after presentation.46 Moreover, less than one-tenth of these cases were diagnosed by pathology, underscoring the need for other diagnostic approaches to facilitate recognition of BL in SSA.
Our results demonstrate that plasma EBV DNA has good to excellent discrimination of cases of BL from controls in a large sample from SSA. Previous studies of plasma EBV DNA in pediatric cases of BL in SSA23-27 reported high EBV DNA detection (60%-100%) in cases of BL, and variable detection (5.3%-84%) in children without BL. However, each study used a different EBV gene target and methods with variable analytic sensitivities. A study in Malawi also supported the utility of plasma EBV DNA for BL diagnosis in pediatric patients.24 Findings from that study showed that plasma EBV DNA declined during treatment of pediatric patients with BL, and levels spiked in the cases that relapsed,24 suggesting that plasma EBV DNA also may be a useful treatment monitoring test. Measuring plasma EBV DNA is minimally invasive, and could decrease diagnostic delays, and increase the confidence in treating pediatric patients with BL in settings where pathology cannot be obtained in a timely manner. While high instrument and reagents costs preclude introducing ddPCR EBV testing at peripheral centers in SSA now, the results pave the way for innovation to move away from the multi-instrument nonself-contained ddPCR technology to a sealed/self-contained, multiplex-capable single instrument technology, with a plus/minus or semi-quantitative result read out. Further research to standardize sample collection and processing, and using controls with symptoms resembling BL (jaw or abdominal swellings)1 who attend the same facility as the patients with BL, would help to validate our results and further demonstrate the clinical utility of EBV testing as a tool in conjunction with other tools (ie, assessment of clinical features) for earlier detection of BL in SSA. Because plasma EBV in cases of BL is likely to consist of tumor-derived virus, other research directions may include evaluating methylation status of EBV DNA as biomarker for tumor-derived EBV DNA.20 Insofar as EBV-associated tumor DNA is known to be CpG methylated while EBV virion DNA is never methylated, methods to exclude measurement of unmethylated viral DNA might enhance the specificity of EBV DNA measurements in plasma with regard to tumor diagnosis.31
In our controls, we found a weak correlation between asymptomatic P falciparum parasitemia and plasma EBV load. This is consistent with evidence that P falciparum proteins reactivate EBV in people with asymptomatic infection47 and those with acute malaria.26,48 However, in 1 study,26 plasma EBV DNA levels became undetectable in 85% of those children after malaria treatment, suggesting that EBV kinetics related to malaria are transient, and malaria can be ruled out by repeat testing of suspected patients presenting with concurrent acute malaria. Because current National Malaria Control policy does not recommend treating asymptomatic P falciparum parasitemia,49 investigating the kinetics of EBV viremia in asymptomatic patients with or without treatment is an open question. As none of the controls had EBV levels above the lower 25th percentile of cases of BL, BL should still be considered in asymptomatically infected suspected cases with significantly elevated EBV levels.
Among the cases of BL, EBV DNA copy number was higher in cases of BL where there was also abdominal disease vs head-only disease. This is consistent with the hypothesis that EBV DNA detected may reflect tumor DNA bulk. Previous studies have correlated anatomic site with disease stage,50 that is, head-only disease with limited stage disease, and abdominal involved disease with advanced stage disease.51,52 The higher EBV DNA copy number in females vs males, across countries and age group categories in the cases, may reflect the higher proportion of cases of BL with abdominal involved disease correlated with those characteristics and the correlation of abdominal involved disease with higher plasma EBV DNA copy number. The variation of plasma EBV levels in cases of BL across countries is intriguing and unexplained. Possibly, the differences could be a clue into genotypic differences in EBV circulating in different countries. For example, the prevalence of EBV type 2, which has impaired ability to immortalize B cells and is associated with lower EBV levels than EBV type 1 in some studies,53 is more prevalent in Kenya,54 but big differences have not been reported in Uganda.55
The strengths of our study include having a relatively large sample size enrolled from 3 countries with detailed covariate data, which enabled us to increase the generalizability of our findings. Also, we used previously unthawed samples with detailed sample pre-analytic collection and processing information. Our assay used 250 μL input plasma volume, which is feasible in pediatric patients, and suitable for packaging into point-of-care technology. We note that cell-stabilizing tubes rather than EDTA tubes used in this study may improve the detection of circulating tumor DNA. Further, dual-centrifugation processing of whole blood, which is increasingly used for plasma cell-free DNA analyses,56 may also improve test performance for BL diagnosis. While our use of healthy controls is ideal for assessing a screening assay, our results should be replicated using controls with BL-like symptoms attending the same health facilities where patients with BL seek care. Our finding of significantly lower RPP30 levels in EBV-positive BL cases suggests that there could be interference with EBV DNA reducing detection of RPP30 above certain thresholds. However, this interference apparently does not affect EBV levels, which were comparable in those who were RPP30 positive vs RPP30 negative.
Our research fits in the aspiration goals for cancer research in low- and middle-income countries to leverage technology to improve cancer control.57 The plasma EBV assay used here leveraged ddPCR technology to use small volume samples to detect EBV. The BamHI-W region is advantageous because it is present as multiple copies in the EBV genome,31 potentially increasing the analytic sensitivity of the assay compared with targets present as a single copy per EBV genome.58 However, variability in the number of BamHI-W copies (2-9 per genome) in circulating isolates may introduce variability in real-world results. Our results enable new translational research questions about optimal sample types, the methods to collect, prepare, and process specimens, standardization of assays (gene target, volume, and technology), and assay utility, including screening or prognostic applications in SSA. Other research may focus on methylation status of EBV to characterize the origin, tumor, or nontumor,20 or BL-associated EBV sequence variants.59
In conclusion, we showed that circulating plasma EBV DNA discriminates cases of BL from controls with high specificity in a large study conducted in 3 African countries. Our work opens new research directions to replicate results, and to address methodological and translational questions that will guide the application of circulating plasma EBV assays in SSA.
Acknowledgments
The authors acknowledge the research contributions of the Cancer Genomics Research Laboratory, National Cancer Institute (NCI), for DNA extraction, quantification, aliquoting, and shipping under NCI contract number 75N910D00024. The authors also acknowledge Information Management Systems (Silver Spring, MD), Westat, Inc (Rockville, MD), and the African Field Epidemiology Network (Kampala, Uganda) for coordinating EMBLEM fieldwork in Uganda.
The EMBLEM study was funded by the NCI, National Institutes of Health (NIH), under contract numbers HHSN261200800001E, HHSN261201100063C, and HHSN261201100007I (Division of Cancer Epidemiology and Genetics), and in part (S.J.R.) by the Division of Intramural Research, National Institute of Allergy and Infectious Diseases, NIH. The Epstein-Barr virus work was supported by the Office of Clinical Research Bench to Bedside Program Funds award 883923, NIH, and grants R21CA232891, R01 CA250069, U01 CA271252, and P30CA06973 to Johns Hopkins University.
The content of this publication does not necessarily reflect the views or policies of the Department of Health and Human Services, nor does mention of trade names, commercial products, or organizations imply endorsement by the US government.
Authorship
Contribution: R.R.X., S.M.M., K.B., and R.F.A. conceived the idea and designed the study; K.V.-A. performed the statistical analysis; H.G.H. advised on statistical methods; S.M.M., M.D.O., S.J.R., P.K., C.N.T., W.N.W., N.M., and E.K. supervised the fieldwork; K.V.-A. and S.M.M. wrote the first draft of the manuscript; I.O., P.A.W., T.K., H.N., H.D., L.W.A., K.B., S.J.R., and J.J.G. conducted and monitored fieldwork; T.B.Y., R.N.B., S.D.M., H.E.L., H.G.H., J.S., and L.W. performed laboratory testing of samples; K.M.P. coordinated laboratory work; and all authors contributed to manuscript revision, and read and approved the submitted version.
Conflict-of-interest disclosure: The authors declare no competing financial interests.
Correspondence: Sam M. Mbulaiteye, Division of Cancer Epidemiology and Genetics, National Cancer Institute, NIH, HHS, 9609 Medical Center Dr, Room 6E118 MSC 3330, Bethesda, MD 20892; email: mbulaits@mail.nih.gov.
References
Author notes
K.V.-A. and R.R.X. are joint first authors.
R.F.A. and S.M.M. are joint senior authors.
Original data are available on request from the corresponding author, Sam M. Mbulaiteye (mbulaits@mail.nih.gov). Study details on the EMBLEM study design and implementation manuals, including data collection forms, can be downloaded from the EMBLEM website (https://emblem.cancer.gov/).
The full-text version of this article contains a data supplement.







