Introduction: Adolescent and young adult (AYA) patients (>16 years of age) with high-risk B acute lymphoblastic leukemia (HR B-ALL) have inferior outcomes compared to HR B-ALL patients 1-15 years of age, primarily due to relapse and toxicity. In a prior Children's Oncology Group (COG) HR B-ALL study 1961 (1996 - 2002), 12.7% of patients were AYA (ages 16 - 21 years) with 5-year event-free survival (EFS) and overall survival (OS) of 71.5% and 77.5% respectively. Here we report the outcomes of the most recently completed HR B-ALL COG study AALL0232, comparing AYA and younger patients.
Methods: COG study AALL0232 was a Phase 3 randomized trial for patients 1-30 years of age with newly diagnosed HR B-ALL utilizing a 2 x 2 factorial design with an augmented intensityBerlin-Frankfurt-Münster (BFM) backbone. Patients were randomized to two weeks of dexamethasone versus four weeks of prednisone during Induction therapy and high dose methotrexate (HD-MTX) versus escalating Capizzi methotrexate plus pegaspargase (C-MTX) during Interim Maintenance I. Between 2004 and 2011, 3,154 patients enrolled, with 3,081 eligible and evaluable for induction. AYA patients comprised 20% (16-21 years, n= 558; 22-30 years, n=47).
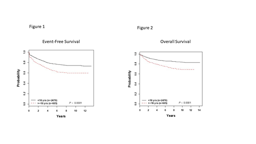
Results: The study was amended in 2008 due to an excess incidence of osteonecrosis observed in patients older than 10 years of age who were randomized to dexamethasone. Thereafter, they were nonrandomly assigned to prednisone during induction. The dexamethasone delivered during delayed intensification was also rescheduled from continuous (days 1-14) to discontinuous (days 1-8 and 15-22) delivery. 5-year EFS and OS were 65.1% and 76.9% for AYA patients compared to 77.9% and 87.1% for younger patients (p<0.0001) (Figures 1 and 2). 5-year cumulative incidence of relapse was 18.4% for AYA patients and 13.4% for younger patients (p=0.005), largely due to marrow relapse (13.8% versus 9.0%; p<0.0001). Additionally, fewer AYA patients achieved remission (<5% blasts) at end of Induction, (95.7% versus 97.2%; p=0.078). Day 29 bone marrow minimal residual disease (MRD) <0.01% was achieved in 55.9% of AYA patients compared to 73.9% of younger patients and MRD >1.0% to <10% was reported in 14.8% of AYA compared to 7.3% of non-AYA (p<0.001). Although there was no significant difference in induction mortality (2.5% versus 1.7%; p=0.20), post-induction remission deaths due to toxicity were significantly higher in AYA (5.8% versus 2.6%; p=0.0002). Compared to younger patients, AYAs were more likely to have Ph-like features (17.5% versus 12.1%, p=0.032) and less likely to have ETV6-RUNX1 fusions (3.9% versus 16.3%, p<0.0001).
Conclusions: The COG trial AALL0232, which enrolled the largest number of AYA patients to date on a pediatric B-ALL study, demonstrated significantly inferior survival and greater rates of treatment related toxicity compared to younger patients. Although treatment intensification strategies have improved outcomes in younger patients, these have not translated into the same survival benefit in those older. The higher incidence of Ph-like genomic lesions in this group of patients potentially offers a therapeutic opportunity to incorporate targeted therapies for AYA. Thus, future trials must identify novel strategies to not only improve outcomes but further reduce toxicity in the AYA cohort.
Burke:Amgen, Inc.: Consultancy, Speakers Bureau. Raetz:Pfizer: Research Funding. Gastier Foster:Bristol Myers Squibb (BMS): Other: Commercial Research; Incyte Corporation: Other: Commercial Research. Borowitz:Beckman Coulter: Honoraria. Hunger:Novartis: Consultancy; Jazz: Honoraria; Bristol Myers Squibb: Consultancy; Amgen: Consultancy, Equity Ownership. Loh:Medisix Therapeutics, Inc.: Membership on an entity's Board of Directors or advisory committees.
Author notes
Asterisk with author names denotes non-ASH members.

This feature is available to Subscribers Only
Sign In or Create an Account Close Modal