Abstract
Introduction: Stem cell transplant (SCT) is a curative therapy for several advanced hematologic malignancies. In the peri-transplant period, red blood cell (RBC) and platelet (PLT) transfusions are often necessary until engraftment. Time until transfusion independence (TI) is influenced mainly by time to engraftment. Haplo-cord (HC) transplant combines an umbilical cord blood unit graft with a CD34 selected adult haplo-identical graft for the purpose of establishing long term cord engraftment. No prior studies have compared TI between HLA matched related donors (MRD), unrelated donors (MUD) and HC allotransplant recipients.
Methods: Patient demographics, ASBMT disease risk classification, relapse and mortality data for Acute Myeloid Leukemia (AML) and Myelodysplastic Syndrome (MDS) patients undergoing MRD, MUD, and HC SCT between 1/2012-1/2015 were included. Time until TI for RBC and PLT was defined as the day of the last transfusion with no transfusions in the following 30 days (d). The cohorts were followed for 180d post-transplant. Kaplan-Meier survival method was used to compare time until RBC and PLT transfusion independence between different transplant types and ASBMT risk categories. Data were censored on disease relapse or death. Log-rank test was used to compare the survival probabilities. Statistical analyses were performed using SAS 9.4.0 (SAS Institute, Cary, NC).
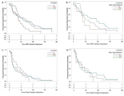
Results: A total of 194 AML/MDS patients received MRD (n=63, 32%), MUD (n=76, 39%), and HC (n=55, 28%) SCT. TI was achieved for RBC transfusion in 84%, 74%, and 67% of patients, and for PLT transfusion in 84%, 91%, and 85% of patients for MRD, MUD, and HC respectively. The time to attain RBC and PLT TI was not statistically different between HC and MUD transplants (log-rank p=0.16 and 0.09 respectively) (Fig. 1: A, C). Within the ASBMT high risk strata, no statistical differences in the time to attain RBC (log-rank p=0.15) and PLT (log-rank p=0.55) TI between any transplant types could be detected (Fig. 1: B, D).
Conclusion: Recipients of SCT often have substantial transfusion requirements. No statistically significant difference in time to TI was seen between HC and MUD recipients. No statistically significant differences in time to TI were seen between HC, MUD and MRD recipients in the ASBMT high risk strata. Time until transfusion independence in haplo-cord transplant is comparable to matched unrelated stem cell transplant.
van Besien:Miltenyi Biotec: Research Funding.
Author notes
Asterisk with author names denotes non-ASH members.

This feature is available to Subscribers Only
Sign In or Create an Account Close Modal