Abstract
Introduction:
For relapsed or refractory (R/R) CLL patients (pts), combination of bendamustine and rituximab appears safe and effective (Fischer 2011). Ofatumumab monotherapy gives 58% ORR in heavily pre-treated (median 4 prior lines) R/R CLL pts (Wierda JCO 2010). High doses (HD) steroids are also active in poor prognosis pts with bulky nodal involvement or p53 impairment (Castro 2008, Xu 2010). We report a planned interim analysis of the ICLL01-BOMP phase II trial evaluating the association of Bendamustine, Ofatumumab and high-dose MethylPrednisolone for fit R/R CLL pts after 1-3 previous lines (NCT01612988).
Patients and Methods:
Primary endpoint was CR rate after 6 cycles (cy) of the BOMP regimen [i.e. bendamustine (70 mg/m2 d1, d2), ofatumumab (1000 mg d1;15 on cy#1-2 and d1 on cy#3-6) and HD methylprednisolone (1 g/m2 d1-3)]. The c#1 was preceded by an ofatumumab (300 mg) prephase. Response evaluation (IWCLL 2008) was done 3 months (m) after the last cy along with blood and bone marrow 10-color flow MRD analysis.
Results:
Among the 55 pts of this analysis, median age was 64 years (44-76). CIRS-G comorbidity score was 2-6 in 61% and pts had received 2-3 lines in 37% of the cases. Prior FCR-like regimens (50 (91%) patients) had been followed by relapse within 2y in 22/55 and 5/55 pts were fludarabine-refractory (FR). IGVH was unmutated (UM) in (47/52) 90.4%. Karyotypes were complex in 18/46 (39%) cases. Distribution according to FISH hierarchical model was: del(17p) in 15 (27%), del(11q) in 14 (26%), trisomy 12 in 4 (7%), del(13q) in 17 (31%) and normal in 5 (9%). Mutations on the TP53, SF3B1 and NOTCH1 genes occurred in 17 (31%), 14 (26%) and 5 (9%) pts, respectively.
According to published risk stratification (Zenz, 2012), 34/55 pts (62%) belonged to the “highest-risk” group with either TP53 disruption (deletion and/or mutation) (n=19) and/or early relapse within 2 years post-FCR (n=22). The remaining patients belonged to either the “high-risk” group (UM-IGVH and/or Highb2mic and/or del11q) accounting for 17 pts (31%) or to the “low-risk” group (or non evaluable) accounting for 4 (7%) pts.
Overall, 292 BOMP cy (mean 5.3 cy/pts) were delivered. Safety analysis recorded 158 grade 3-4 adverse events (G3-4/AE) with according to cy: neutropenia: 20.8%, thrombocytopenia: 11.3%, anemia: 2.4%, infection: 5,8%, hyperglycemia: 7,5%, liver enzyme elevation: 1,4%, cutaneous reaction: 1,4%, ofatumumab infusion related reaction: 0,3% and other AE: 3,4%. Overall 43 out of 55 pts (78.2%) had at least one G3-4/AE. Twenty-eight severe adverse events were reported in 20 pts. Treatment interruption before planned 6 cy occurred for pts' decision (n=3), excessive toxicity (n=5) or early progressive disease (PD) (n = 4).
Response in the ITT population was 76.4% ORR with 20% CR (n=11), 56.4% PR (n=31 including 5 nPR and 1 CRi), 9.1% stable disease (n=5), 10.9% PD (n=6) and 3.6% (n=3) non evaluable. Blood MRD obtained in 45 pts was negative (<10-4) in 13 (28.8%) cases. Following evaluation, 5 responding pts (9%) had RIC allogeneic (RIC-Allo) transplantation with a persistent remission.
With median follow-up of 16.2 (5.1-23.6) months (m) we observed 9 deaths, related to PD (n=5), EBV-induced lymphoproliferation (n=1), PML encephalitis (n=1), sepsis/pancytopenia (n=1) or unknown origin (n=1). We recorded 22 relapses (including 4 Richter Syndromes) resulting in treatment in 17 cases, with a BTK inhibitor in 8 cases.
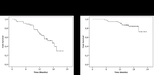
The median OS has not been reached (estimation 84% at 18 m) (Fig 1B). The median PFS was 18.4 m (95%CI, 14.6-22.2) and the median time to next treatment 17.6 m (95%CI, 12.9-22.4). With 5 cases censored at time of RIC-Allo, the PFS (censored analysis) was 17.5 m (95%CI, 13.2-21.8). (Fig 1A) After univariate analysis, ORR was lower in the “highest-risk” (64,6%, p=0.01), del(17p) (40%, p=0.003), TP53 mutation (47.1%, p=0.01) and complex karyotype (61.2%, p=0.024) groups. PFS was shorter in the “highest-risk” (14 m, p=0.046), FR (4.96 m, p<0.001), del(17p) (9.5 m, p=0.017) and TP53 mutation (9.5 m, p=0.007) groups.
Conclusion:
Relapse treatment of CLL is a challenge especially after prior FCR-like treatments, accounting for >90% of this trial population. These results in terms of response and survival appear noteworthy considering that >60% are “highest-risk” pts. This study provides important information for forthcoming comparison with next emerging CLL therapies.
de Guibert:Roche: Honoraria. Feugier:Roche: Honoraria. Schuh:Roche, Gilead, GSK, NAPP, Celgene: Honoraria. Leblond:Roche: Honoraria, Speakers Bureau. Tournilhac:mundipharma: Honoraria, Other, Research Funding; GSK: Honoraria, Other, Research Funding; Roche: Honoraria, Other, Research Funding.
Author notes
Asterisk with author names denotes non-ASH members.

This feature is available to Subscribers Only
Sign In or Create an Account Close Modal