Abstract
Background: Naturally occurring IgM autoantibodies (NAb) recognize oxidation-specific epitopes which are altered self structures on apoptotic cells, oxidized LDL, or vessel wall proteins. Oxidation-specific epitopes are proinflammatory antigens and potential markers for chronic inflammatory conditions. The risk of venous thromboembolism (VTE) is associated with (pro)inflammatory states such as dyslipoproteinemia, obesity or cancer. We hypothesize that natural antibodies may target epitopes which are also involved in the pathogenesis of VTE. In pursuing a “proof of concept”, we studied Nab in patients with a high venous thrombotic risk and evaluated their association with the risk of recurrent VTE.
Methods: We determined Nab levels in 663 patients with a first unprovoked deep vein thrombosis and/or pulmonary embolism who were prospectively followed after discontinuation of anticoagulation in the Austrian Study on Recurrent Venous Thromboembolism, a multicentre cohort study. We excluded those with coagulation inhibitor deficiencies, lupus anticoagulant, cancer, pregnancy, long-term antithrombotic therapy, or homozygosity/double heterozygosity for factor V Leiden and/or the prothrombin mutation. Study end point was recurrent VTE.
Nab target different oxidation-specific epitopes including phosphorylcholine-containing oxidized phospholipids which were generated by oxidation of low density lipoproteins (LDL) with CuSO4. Levels of IgM against oxidized (Ox) LDL were determined in venous blood drawn three weeks after discontinuation of anticoagulants by chemiluminescent enzyme linked immunoabsorbent assay and expressed as relative light units (RLU)/100ms.
To determine the effect of anti-OxLDL IgM on the recurrence risk, models for time-to-event-data were used. Their direct effect on the recurrence risk was estimated by a cause-specific Cox proportional-hazards model, followed by a Fine-Gray model to account for competing events (death, restart of antithrombotics) and expressed by subdistribution hazard ratios (SHR). Anti-OxLDL IgM levels are given as median (25th, 75th percentiles).
Results: Levels of anti-OxLDL IgM in patients with a first unprovoked VTE were 20.17 RLU/100ms (12.26, 34.72). Levels did not correlate with either age (rs=-0.16) or BMI (rs=-0.16). Levels correlated with sex [higher in women; 24.24 (14.6, 40.0) vs. 16.76 (10.46, 27.9) RLU/100ms, p<0.001]. 151 (22.8%) of 663 patients (mean age 48 years, 54% women) had recurrence during a median of 67 months. Anti-OxLDL IgM levels were higher in patients without recurrence [20.84 (12.32, 36.85) vs. 17.60 (11.97, 26.93) RLU/100ms, p=0.02]. For each doubling of anti-OxLDL IgM levels, the SHR of recurrence was 0.85 (95% CI 0.74-0.98; p = 0.02) and was 0.95 (0.82-1.1; p=0.5) after adjustment for sex.
Patients with anti-OxLDL IgM levels within the second tercile (14.6 - <28.64 RLU/100ms) had a similar recurrence risk as patients with levels within the first tercile (<14.60 RLU/100ms) (SHR 0.93, 95% CI 0.65–1.33, p=0.7). The recurrence risk was significantly lower in patients with anti-OxLDL IgM levels within the third tercile (>28.64 RLU/100ms) (SHR 0.58, 95% CI 0.38–0.87, p<0.01). After adjustment for sex, the recurrence risk was still lower among patients with high anti-OxLDL IgM (SHR 0.75, 95% CI 0.49–1.14, p=0.2) but without statistical significance.
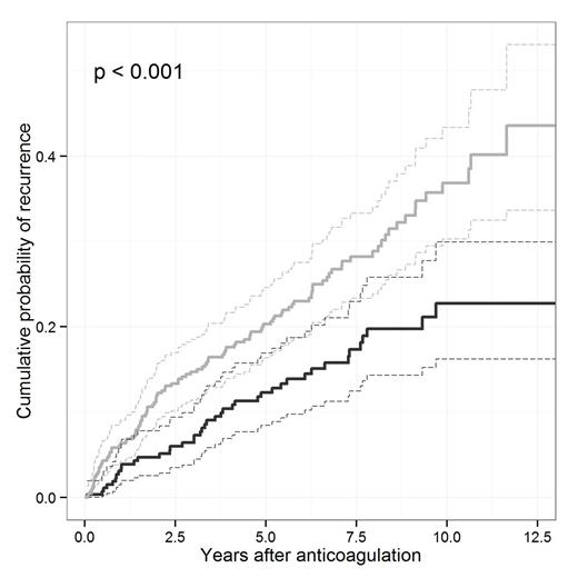
We stratified patients according to an anti-OxLDL IgM level corresponding to the 60th percentile (14.6 RLU/100ms). The cumulative probability of recurrence after 5 years in patients with anti-OxLDL IGM > 60th percentile was 12.3% (8.5-16.9%) and was 20.3% (16.4-24.6%) among those with lower levels (p<0.001) (Figure). The corresponding SHR was 0.55 (0.38-0.78; p <0.001) for higher anti-OxLDL IgM and was 0.67 (95% CI 0.47-0.96; p=0.03) after adjustment for sex.
Conclusions: An association exists between anti-OxLDL IgM and VTE recurrence which is consistent with a protective function of NAb via their ability to bind proinflammatory oxidation-specific epitopes.
Cumulative recurrence rate in patients with VTE according to anti-OxLDL IgM levels below (blue line) or above (red line) the 60th percentile. Dotted lines are 95% CI.
Cumulative recurrence rate in patients with VTE according to anti-OxLDL IgM levels below (blue line) or above (red line) the 60th percentile. Dotted lines are 95% CI.
No relevant conflicts of interest to declare.
Author notes
Asterisk with author names denotes non-ASH members.

This feature is available to Subscribers Only
Sign In or Create an Account Close Modal