Abstract
Background: EVI1 gene overexpression is found in approximately 10% of acute myeloid leukemia (AML) patients, with a higher frequency seen in AML carrying chromosome 3q26 abnormality or MLL gene rearrangement, and associated with a dismal prognosis. Deregulation of EVI1 expression has also been reported in ALL, but its prognostic impact is unclear. Here, we retrospectively analyzed EVI1 expression in a large cohort of adult ALL patients, its correlation with ALL subsets, and its impact on patient outcome.
Patients and Methods: EVI1 gene expression was measured by RQ-PCR detecting all splicing variants, with PBGD as control gene. We used dilutions of EVI1+ SKOV3 (kindly provided by Peter Valk, Rotterdam, The Netherlands) and EVI1-neg HL-60 cell line cDNA to build EVI1 and PBGD standard curves. Results were expressed as EVI1/PBGD ratio x 100. Blast samples from 354 patients treated in the GRAALL-2003/2005 and GRAAPH-2005 trials (191 B-cell precursor [BCP]-ALL, including 138 Ph-neg and 53 Ph+; 163 T-ALL) and 62 controls were analyzed. Immunophenotype results were centrally reviewed. In controls, median EVI1 expression level was 0.33% (Q1-Q3, 0.20-0.69). For prognostic analysis, we used the 1st and 99th percentiles of the controls (0.05% and 1.65%) to define patients with low and high EVI1 expression, respectively. Clinical endpoints were cumulative incidence of failure (CIF, failure meaning primary refractoriness or relapse) and event-free survival (EFS).
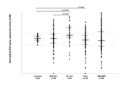
Results: As illustrated in Figure 1, we observed that, as in one AML series, EVI1 expression may be up or down regulated in adult ALL. When compared to controls, the proportions of low and high EVI1 patients were 21 and 23% in Ph-neg BCP-ALL, 9 and 42% in Ph+ ALL, and 21 and 18% in T-ALL, respectively. In BCP-ALL patients, median EVI1 expression was similar to controls (0.53%; Q1-Q3, 0.11-1.88; p=0.15), but higher in the Ph+ as compared to the Ph-neg subgroup (0.93% versus 0.36%; p<0.001). In T-ALL patients, median expression tended to be lower than in controls (0.22%; Q1-Q3, 0.06-0.85; p=0.058). In these three ALL subgroups, EVI1 expression did not correlate with age or WBC. Among Ph-neg BCP-ALL patients, a lower expression was found in MLL-AF4+ t(4;11) cases (median, 0.04%; p<0.001), while no differences were observed for cases with t(1;19), an14q32, low hypodiploidy/near triploidy, complex karyotype, or IKZF1 deletion. Among T-ALL patients, a lower expression was found in cases with complex karyotype (median, 0.05%; p=0.03), while no differences were observed for cases with TLX1 overexpression, NOTCH1/FBXW7 mutation, N/K-RAS mutation or PTEN alteration. Only one patient had 3q26 abnormality (T-ALL with high EVI1 expression). Low or high EVI1 expression had no prognostic impact in Ph-neg as well as Ph+ BCP-ALL patients. In T-ALL, the proportion of patients with low EVI1 expression was more frequent in early and mature than in cortical T-ALL (33% and 33% vs 11%; p=0.002 and 0.028, respectively) and associated with a higher CIF (HR, 2.03; p=0.017) and shorter EFS (HR, 1.59; p=0.072). Low EVI1 expression was also significantly associated with an early T-cell precursor (ETP) phenotype (37.5% vs 18%; p=0.028). After adjustment on cortical and ETP phenotypes, as well as on 4-gene (NOTCH1/FBXW7/RAS/PTEN) genetic profiles, low EVI1 expression and high-risk genetic profiles remained independently associated with higher CIF (p=0.015 and <0.001, respectively) and shorter EFS (p=0.045 and 0.002, respectively).
Conclusion: Overall, these results confirm that EVI1 gene expression is frequently deregulated in adult ALL. In BCP-ALL, down-regulation is observed in t(4;11) and up-regulation in BCR-ABL cases. Further studies are needed to confirm that, in T-ALL, a lower expression is associated with the early, mature and ETP phenotypes and independently predictive of a worse patient outcome.
No relevant conflicts of interest to declare.
Author notes
Asterisk with author names denotes non-ASH members.

This feature is available to Subscribers Only
Sign In or Create an Account Close Modal