Congenital factor XIII (FXIII) deficiency is a rare, autosomal-recessive disorder, with most patients having an A-subunit (FXIII-A) deficiency. Patients experience life-threatening bleeds, impaired wound healing, and spontaneous abortions. In many countries, only plasma or cryoprecipitate treatments are available, but these carry a risk for allergic reactions and infection with blood-borne pathogens. The present study was a multinational, open-label, single-arm, phase 3 prophylaxis trial evaluating the efficacy and safety of a novel recombinant FXIII (rFXIII) in congenital FXIII-A subunit deficiency. Forty-one patients ≥ 6 years of age (mean, 26.4; range, 7-60) with congenital FXIII-A subunit deficiency were enrolled. Throughout the rFXIII prophylaxis, only 5 bleeding episodes (all trauma induced) in 4 patients were treated with FXIII-containing products. The crude mean bleeding rate was significantly lower than the historic bleeding rate (0.138 vs 2.91 bleeds/patient/year, respectively) for on-demand treatment. Transient, non-neutralizing, low-titer anti-rFXIII Abs developed in 4 patients, none of whom experienced allergic reactions, any bleeds requiring treatment, or changes in FXIII pharmacokinetics during the trial or follow-up. These non-neutralizing Abs declined below detection limits in all 4 patients despite further exposure to rFXIII or other FXIII-containing products. We conclude that rFXIII is safe and effective in preventing bleeding episodes in patients with congenital FXIII-A subunit deficiency. This study is registered at http://www..clinicaltrials.gov as number NCT00713648.
Introduction
Factor XIII (FXIII) is a protransglutaminase that, after activation by thrombin and the presence of calcium, becomes transglutaminase, which cross-links γ-glutamyl-ϵ-lysine residues of fibrinogen chains, leading to increased stability of the fibrin clot. Plasma FXIII is a heterotetramer composed of 2 catalytic A-subunits and 2 carrier B-subunits linked by noncovalent bonds. The average plasma concentration of the A2B2 heterotetramer is approximately 22 μg/mL and its half-life is 9-14 days.1
Congenital FXIII deficiency is a severe bleeding disorder transmitted in an autosomal-recessive manner. Typical bleeding manifestations include umbilical stump bleeding during the first few days of life, postoperative bleeding, and intracranial hemorrhage, which is observed more frequently in FXIII deficiency than in other inherited bleeding disorders. In addition, FXIII deficiency is associated with recurrent pregnancy losses and delayed wound healing.2 Most congenital FXIII deficiency is caused by FXIII-A subunit deficiency, which occurs at a frequency of approximately 1 in 2 million.3 Fifty percent of the molecular defects responsible for A-subunit deficiency are missense mutations.2 Congenital deficiency of the FXIII-B subunit is a rare cause of clinically significant FXIII deficiency.4
The severity of bleeding symptoms in congenital FXIII deficiency is the main reason for regular replacement therapy. Prophylaxis is highly efficient and successful because of the long half-life of FXIII. To date, only plasma-derived sources of FXIII have been available,5,6 including fresh frozen plasma, cryoprecipitate, and a plasma-derived, virally inactivated FXIII concentrate.
A new recombinant FXIII (rFXIII), originally developed by ZymoGenetics and later transferred to Novo Nordisk (Novo Nordisk A/S, Copenhagen, Denmark), has been manufactured in Saccharomyces cerevisiae (yeast) and contains no human/mammalian products.7 The rFXIII associates in plasma with the endogenous FXIII-B subunit to form the stable FXIII heterotetramer. In a phase 1 clinical trial, rFXIII had a half-life similar to that of native FXIII. This new product was found to have a good safety profile and to be appropriate for development for monthly prophylactic administration in patients with FXIII-A subunit deficiency.7 Therefore, this multinational, open-label, single-arm, multiple-dosing, phase 3 prophylaxis trial was undertaken to evaluate the efficacy and safety of rFXIII for the prevention of bleeding in congenital FXIII-A subunit deficiency.
Methods
Study design
The study was approved by the ethical committees at each participating hospital. Informed consent was obtained from each patient in accordance with the Declaration of Helsinki.
In total, 41 patients were enrolled from 23 centers in 11 countries (Austria, Canada, Finland, France, Germany, Israel, Italy, Spain, Switzerland, the United Kingdom, and the United States). After a screening visit, eligible patients entered a 4-week run-in period, followed by a 52-week treatment period (visits 2-15) of monthly (28 ± 2 days) IV doses of 35 IU/kg of rFXIII. Patients receiving prophylaxis with a FXIII-containing product before the trial received their last prophylactic dose just before screening. Only patients with a confirmed FXIII-A subunit deficiency were given rFXIII at visit 2 (week 4). At each visit, the dose was adjusted according to the patient's body weight.
Nonemergency use of FXIII-containing products other than rFXIII was not allowed during the trial. In cases of acute bleeds, the investigator judged whether to treat with an additional FXIII-containing product in accordance with local standard practice. Additional rFXIII doses could not be used to treat any breakthrough bleeds.
For safety-monitoring purposes, an additional interim visit (visit 3) was conducted 2 weeks after the first dose of trial product. The follow-up period of 4 weeks after the last administration of trial product ensured that the majority of rFXIII would have cleared when patients ended their participation in the trial.
Patients ≥ 6 years of age weighing ≥ 20 kg with diagnosed congenital FXIII-A subunit deficiency (confirmed by genotype analysis) were enrolled. Patients who had received regular replacement therapy before entering the trial had to have initiated this treatment ≥ 6 months before screening and either a documented history of ≥ 1 treatment-requiring bleed before starting regular replacement therapy or a documented family history of congenital FXIII deficiency. Patients who had only received on-demand treatment before entering the trial had to have a documented history of ≥ 2 treatment-requiring bleeds within 12 months before screening.
The rarity of congenital FXIII deficiency and the low bleeding frequency of patients currently on regular replacement therapy did not allow for a sample size large enough for sufficient statistical power to compare clinical outcome between rFXIII and any other type of regular replacement. Furthermore, a placebo-controlled trial in congenital FXIII deficiency would have been unethical because of the risk of serious bleeding complications. The current trial was designed as a superiority trial: the primary efficacy parameter was the annualized frequency of bleeding events requiring treatment with FXIII-containing products during the rFXIII prophylaxis treatment period versus the historical bleeding rate in patients with congenital FXIII deficiency treated on demand.
To define the historical control, Novo Nordisk conducted a comprehensive global survey of physicians asking how many bleeds per year patients had experienced based on 92 patients with congenital deficiency. Of these, 23 patients were only treated on-demand to manage acute bleeds. Bleeding-frequency data were not available for 4 patients receiving on-demand treatment and, in 3 patients, the diagnosis was made less than 1 year before the survey. As a result, the statistical analysis was based on the remaining 16 patients, including 13 male and 3 female patients. Four of the 16 patients (25%) had no bleeds requiring on-demand treatment, and 12 patients (75%) experienced bleeds requiring treatment. The number of bleeds requiring on-demand treatment ranged from 0-12 per year (mean, 2.91). Based on a normal distribution approximation to the bleeding rate, a 95% confidence interval (95% CI) for the bleeding rate was calculated to be 0.95-4.86.
Of the 92 patients in the survey, 69 had a history of regular FXIII-replacement therapy. For 5 patients on prophylaxis, complete information regarding breakthrough bleeds was not available, so data from these patients were not included in the calculations. Seventeen of the 64 patients (26.6%) were reported to have experienced breakthrough bleeds while receiving regular replacement therapy. There were 20 breakthrough bleeds in total, ranging from 0-7 per year (data from 13 patients). The number of bleeds per year was not available for 4 patients. The annual bleeding rate estimated from 60 patients receiving prophylaxis was 0.33 bleeds per year (95% CI, 0.08-0.59). Basic demographic data for patients receiving on-demand and prophylaxis treatment are summarized in Table 1. The mean age in the 2 populations was 31.7 and 28.6 years, respectively, which is comparable to the mean age of the current trial population.
Demographic data at the time of data collection
| . | On-demand . | Prophylaxis . |
|---|---|---|
| n | 16 | 60 |
| Age, y | ||
| Mean (SD) | 31.7 (17.6) | 28.6 (16.1) |
| Median | 32.0 | 28.0 |
| Minimum/maximum | 5.0/63.0 | 2.8/71.0 |
| Sex, n (%) | ||
| Female | 3 (19) | 36 (60) |
| Male | 13 (81) | 24 (40) |
| Race, n (%) | ||
| White | 11 (69) | 55 (92) |
| Asian | 0 (0) | 1 (2) |
| Black or African American | 3 (19) | 2 (5) |
| Other | 2 (12) | 5 (3) |
| . | On-demand . | Prophylaxis . |
|---|---|---|
| n | 16 | 60 |
| Age, y | ||
| Mean (SD) | 31.7 (17.6) | 28.6 (16.1) |
| Median | 32.0 | 28.0 |
| Minimum/maximum | 5.0/63.0 | 2.8/71.0 |
| Sex, n (%) | ||
| Female | 3 (19) | 36 (60) |
| Male | 13 (81) | 24 (40) |
| Race, n (%) | ||
| White | 11 (69) | 55 (92) |
| Asian | 0 (0) | 1 (2) |
| Black or African American | 3 (19) | 2 (5) |
| Other | 2 (12) | 5 (3) |
Patient genotype
FXIII-A subunit deficiency was confirmed for all patients by genotyping. One patient also had a heterozygous missense mutation in the F13B gene, the effect of which is unknown. However, ELISA results for FXIII-B subunits showed that this patient had quantitatively normal B-subunits that were functionally capable of binding to A-subunits (as reflected by reduced levels of B-subunits and increased FXIII-A2B2 levels after rFXIII injection).
Patient assessments
At each participating center, the local investigator collected a medical history and performed a physical examination of each patient at baseline and at each subsequent study visit. Adverse events were recorded at every visit. Basic laboratory hematology, biochemistry, urinalysis, and coagulation-related parameters (prothrombin time reported as international normalized ratio, activated partial thromboplastin time, thrombin time, and fibrinogen) were assessed at baseline and at every subsequent visit. In addition, the following tests were performed at baseline and at every study visit at a central laboratory.
FXIII activity assay
A modified Berichrom FXIII assay kit (Siemens Healthcare Diagnostics) was used to determine FXIII activity. The modifications refer to the use of rFXIII calibrators and the buffer used for sample dilution. Overall assay precision (% coefficient of variation) was 5%-10% and accuracy (as the percent relative error) was 4.3%-10%. Recovery of FXIII activity was determined from the FXIII activity levels 1 hour after dosing and is expressed as the percentage increase from the predosing levels per unit of rFXIII administered per kilogram body weight.
Clot-solubility assay
The clot-solubility assay is a qualitative assay used to assess clot strength. Plasma was allowed to clot after the addition of calcium and then 1% chloroacetic acid was added to the clot. The clot will dissolve within 24 hours if < 1% FXIII is present. A normal result is greater than 24 hours without clot lysis. This assay is traditionally used as a primary screening test for the detection of FXIII deficiency; however, this assay only detects severe deficiencies, is poorly standardized, and varies in its degree of sensitivity.6,8,–10 The usefulness of this assay was also not confirmed in the present study.
FXIII-A2 determination
FXIII-A2 was detected by ELISA using a polyclonal rabbit anti–FXIII-rhuA2 subunit Ab (Novo Nordisk) to capture the FXIII-A2 subunit. After incubation with plasma, bound FXIII-A2 subunit was detected by incubation with biotin-labeled polyclonal rabbit anti–FXIII-rhuA2 subunit Ab and streptavidin labeled with HRP. An ortho-phenylenediamine hydrochloride substrate solution was used for color development, which was directly proportional to the FXIII-A2 subunit concentration. Data were collected using a Versamax plate reader (Molecular Devices) and SoftMax Pro GxP Version 5.0.1 software (Molecular Devices). The assays, performed in duplicate, were within the interassay precision (% coefficient of variation) and accuracy (percent relative error) of < 15%. The FXIII-A2 subunit assay measures the ratio of total A2 to the FXIII-rhuA2 subunit, human endogenous FXIII-A2 subunit, human endogenous A2B2 tetramer, and FXIII-rhuA2 subunit bound to human endogenous B2 subunit (the rhuA2B2 tetramer). rhu-FXIII was used to prepare the assay calibrators.
FXIII-A2B2 determination
FXIII-A2B2 was also detected by ELISA in which a polyclonal rabbit anti–FXIII-B subunit Ab (Novo Nordisk) was used to capture the FXIII-B subunit. After incubation with plasma, bound FXIII-A2B2 was detected by incubation with biotin-labeled polyclonal rabbit anti–FXIII-A subunit Ab (Novo Nordisk) and subsequent incubation with streptavidin-HRP. Color development with an ortho-phenylenediamine hydrochloride substrate solution was directly proportional to the FXIII-A2B2 concentration. Data were collected as for the FXIII-A2 assay. The assay recognized rhuA2 subunit complexed to human B2 subunit (rhuA2B2), as well as endogenous human A2B2. Purified rhuA2B2 was used to prepare assay calibrators.
Free FXIII-B determination
Free FXIII-B subunit was determined by ELISA using a polyclonal donkey anti–mouse IgG Ab (Jackson ImmunoResearch) as a first-capture Ab to optimize binding of a second specific-capture Ab, a monoclonal free B-subunit Ab (Novo Nordisk). After incubation with plasma, free FXIII-B subunit was detected by incubation with a biotinylated polyclonal rabbit anti–FXIII-B subunit Ab (Novo Nordisk) and then incubation with streptavidin-HRP. A tetramethylbenzidine substrate solution was used for color development, which was directly proportional to the free FXIII-B subunit concentration. Purified plasma FXIII-B subunit was used to prepare the calibrators.
Detection of anti-rFXIII Abs
All patients receiving rFXIII were monitored for the development of binding Abs before administration of the trial product at visits 1-16, as well as at any unscheduled visit.
For step 1, a direct ELISA was developed and validated to detect, confirm specificity, and quasi-quantify human Ig against rFXIII. The rFXIII (10 μg/mL) was used as the coating agent and residual binding was blocked by 5% skim milk. Samples (EDTA plasma diluted 1:100) were applied and bound Abs were detected using a secondary reagent (HRP-conjugated polyclonal rabbit anti-human IgA, IgG, IgM, and kappa; DAKO). After the addition of tetramethylbenzidine, substrate detection of Abs was performed by reading the absorbance at 450 nm (reference, 630 nm). An assay-plate-specific cut point was established using plasma from 100 healthy subjects and a normalization factor derived thereof (5% false-positive rate). Samples above the cut point were rescreened and Ab specificity confirmed through preincubation with rFXIII (or an unrelated protein, FVII). Anti-rFXIII monkey plasma (Novo Nordisk) was used to establish assay quality controls. Samples containing Abs against rFXIII were diluted 2-fold and results are reported as the log(10) of the dilution needed to reach the cut point.
For step 2 of this process, detection of the neutralizing activity of anti-rFXIII Abs was based on the Berichrom activity assay (Dade-Behring), but developed to detect the neutralizing activity of the anti-rFXIII Abs in clinical samples. The residual FXIII activity in a test sample was compared with a reference sample (predose) after preincubation with a known amount of rFXIII activity (0.7 units/mL). The inhibitory effect in a study sample is expressed as 100% activity of study sample divided by the activity of the reference sample. The assay cut point (12% neutralization) was established during assay validation based on 5 FXIII activity–deficient plasma preparations. Quality controls were established using a sheep polyclonal anti–FXIII-A2 subunit Ab (SAF13A-IG; Affinity Biologicals).
D-dimer
D-dimer was measured using the Diagnostica Stago Asserachrom D-Dimer kit according to the manufacturer's instructions.
Statistical methodology
The primary end point of the trial was evaluated by Poisson regression of the number of treatment-requiring bleeds, adjusting for baseline age as a covariate and for overdispersion. The total observation time during the treatment period was also used as an offset in the model, taking into account patients withdrawing before the end of the trial by adjusting for the length of time observed. An age-adjusted annualized bleeding rate was estimated, along with a corresponding 95% CI. Superior efficacy of prophylaxis treatment with rFXIII was claimed if the upper 95% CI limit was lower than the historic rate of 2.91 treatment-requiring bleeds/year in patients receiving on-demand treatment. As a stricter post hoc comparison, the upper 95% CI limit was compared with the lower 95% CI limit (0.95) of the historic rate of treatment-requiring bleeds/year, based on a normal distribution approximation to the individual bleeding rate.
As a secondary end point, the percentage of patients without “treatment-requiring bleeds” with any FXIII-containing products was evaluated by a binomial model including age as a covariate to compare the data with a fixed placebo probability of whether patients experienced any treatment-requiring bleeds. Using historical data for patients receiving on-demand treatment, the probability of not having any treatment-requiring bleeds was estimated by a binomial model to be 0.25 (95% CI, 0.10-0.51). Monthly replacement therapy with rFXIII would be concluded to be superior to on-demand treatment with FXIII-containing products if the lower limit of the 95% CI for the probability of not having any treatment-requiring bleeds for the rFXIII group, P, was ≥ .25.
Additional secondary descriptive end points were: (1) annualized treatment-requiring bleeds stratified according to age, type, and cause of bleeding episodes; (2) the percentage of patients having a normal clot solubility 1 hour and 28 days after rFXIII administration; (3) the number of patients withdrawn from the trial because of lack of efficacy of rFXIII treatment; and (4) the level of FXIII activity 1 hour and 28 days after rFXIII administration.
Results
Patients
Forty-one patients were enrolled and dosed (mean age, 26.4 years; range, 7-60 years; 56% male; 68% white; Table 2), with a mean treatment period of 322 days. With the exception of 2 patients, all received regular replacement therapy with FXIII-containing products before study enrollment. Five patients withdrew from the trial and 3 discontinued rFXIII treatment because of non-neutralizing Abs and returned to the previous local standard of treatment; however, they remained in the trial for follow-up and completed other trial-related activity visits. The remaining 33 patients completed the predefined trial treatment period (Table 2).
Patient disposition and baseline demographics
| Patient disposition, n | |
| Enrolled and dosed | 41 |
| Withdrawals | 5 |
| Inconvenience (parent decision; visit 5) | 1 |
| Adverse events of worsening leukopenia and neutropenia (visit 6) | 1 |
| Pregnancy (visit 8 and 14)* | 2 |
| Personal reasons (visit 9) | 1 |
| Discontinuation of rFXIII treatment due to detection of non-neutralizing Abs | 3† |
| Completed trial | 33 |
| Baseline demographics, n | 41 |
| Age, y | |
| Mean (SD) | 26.4 (15.9) |
| Median | 23.0 |
| Minimum/maximum | 7.0/60.0 |
| Sex, n (%) | |
| Female | 18 (44) |
| Male | 23 (56) |
| Race, n (%) | |
| White | 28 (68) |
| Asian | 5 (12) |
| Black or African American | 2 (5) |
| Other | 5 (12) |
| Unknown‡ | 1 (2) |
| Patient disposition, n | |
| Enrolled and dosed | 41 |
| Withdrawals | 5 |
| Inconvenience (parent decision; visit 5) | 1 |
| Adverse events of worsening leukopenia and neutropenia (visit 6) | 1 |
| Pregnancy (visit 8 and 14)* | 2 |
| Personal reasons (visit 9) | 1 |
| Discontinuation of rFXIII treatment due to detection of non-neutralizing Abs | 3† |
| Completed trial | 33 |
| Baseline demographics, n | 41 |
| Age, y | |
| Mean (SD) | 26.4 (15.9) |
| Median | 23.0 |
| Minimum/maximum | 7.0/60.0 |
| Sex, n (%) | |
| Female | 18 (44) |
| Male | 23 (56) |
| Race, n (%) | |
| White | 28 (68) |
| Asian | 5 (12) |
| Black or African American | 2 (5) |
| Other | 5 (12) |
| Unknown‡ | 1 (2) |
One pregnancy was identified through pregnancy screening and the other was reported by the investigator.
Of the 3 patients who discontinued rFXIII treatment due to the detection of non-neutralizing Abs, the decision was made by the Novo Nordisk Safety Committee for 2 patients (following recommendations from contracted external experts who reviewed data from these patients) and by the patient's parents for 1 patient. All 3 patients remained in the trial for follow-up and completed all trial-related activity visits.
Not permitted by local authority.
Bleeding episodes
During the rFXIII treatment period, 5 bleeding episodes treated with an FXIII-containing product were observed in 4 patients, resulting in a mean annualized bleed rate of 0.138 bleeds per patient/year. All 5 events were traumatic bleeds (Table 3). No intracranial hemorrhage or severe bleeds into internal organs occurred during rFXIII treatment. Bleeds occurred on days 5, 14, 15, 22, and 27 after treatment with rFXIII. There is no statistical evidence to conclude that treatment-requiring bleeds occurred more frequently in the late postdose phase, when plasma levels of rFXIII are expected to be lower.
Details of bleeding episodes requiring treatment
| Sex . | Age, y . | Days since last dose . | Bleeding location . |
|---|---|---|---|
| F | 8 | 15 | Lip |
| M | 10 | 22 | Soft tissue around elbow |
| M | 10 | 14 | Soft tissue around elbow |
| M | 16 | 5 | Nose |
| F | 19 | 27 | Bruises to nose and face |
| Sex . | Age, y . | Days since last dose . | Bleeding location . |
|---|---|---|---|
| F | 8 | 15 | Lip |
| M | 10 | 22 | Soft tissue around elbow |
| M | 10 | 14 | Soft tissue around elbow |
| M | 16 | 5 | Nose |
| F | 19 | 27 | Bruises to nose and face |
F indicates female; and M, male.
In the primary end point analysis, the age-adjusted rate (number/patient-year) of treatment-requiring bleeds during the rFXIII treatment period was 0.048/year (95% CI, 0.0094-0.2501; a model-based estimate corresponding to the mean age of the trial population, 26.4 years). The influence of age was statistically significant at P = .022.
Compared with retrospectively collected data from patients with congenital FXIII deficiency, the bleeding frequency in the present trial was numerically lower than for patients on regular replacement therapy (on average, approximately 0.33 treatment-requiring bleeds/year). It was also significantly lower than the rate of treatment-requiring bleeds/year in patients receiving on-demand treatment both compared with the historic rate (2.91 bleeds/year) and based on the lower 95% CI limit (0.95 bleeds/year).
Thirty-seven of the 41 patients did not experience any bleeds requiring treatment during the trial. Age-adjusted statistical analysis via a binomial model determined the probability of not having any treatment-requiring bleeds during the trial period to be 0.9581/year (95% CI, 0.7242-0.9950). No patients withdrew because of lack of efficacy of rFXIII treatment. During the rFXIII treatment period, 48 nontreatment-requiring bleeds were observed. The frequency of minor (nontreatment-requiring) bleeds had a similar distribution within all age groups with the exception of an 8-year-old patient who experienced 18 minor bleeds (mostly trauma induced).
FXIII laboratory parameters
FXIII subunits and tetramer analyses.
The shape of the mean profiles for FXIII-A2B2 tetramer and total FXIII-A2 subunit corresponded to the FXIII activity profile. FXIII-A2 subunit and FXIII-A2B2 tetramer concentrations increased 4.5- and 7.6-fold, respectively, after rFXIII administration (Figure 1), then gradually declined during the subsequent month. The mean profile for uncomplexed B-subunit concentration was reversed (Figure 1) and decreased 4-fold after rFXIII injection. This was expected, because the FXIII-B subunit functions as a carrier protein for the FXIII-A2 subunit and, therefore, in the absence of FXIII-A2 subunit, there would be an excess of free FXIII-B subunit. Conversely, administration of rFXIII-A2 subunit results in rapid binding to free FXIII-B subunits and therefore decreases the concentration of free FXIII-B subunits.
Subunit concentrations. Mean ± SD concentration of the FXIII-A2 subunit (A) A2B2 tetramer (B), and B-subunit (C) are shown. FXIII-A2 subunit and FXIII-A2B2 tetramer concentrations increased after rFXIII administration. Because the FXIII-B subunit functions as a carrier protein for the FXIII-A2 subunit, administration of rFXIII resulted in decreased FXIII-B subunit because of the rapid binding of rFXIII to free FXIII-B subunit.
Subunit concentrations. Mean ± SD concentration of the FXIII-A2 subunit (A) A2B2 tetramer (B), and B-subunit (C) are shown. FXIII-A2 subunit and FXIII-A2B2 tetramer concentrations increased after rFXIII administration. Because the FXIII-B subunit functions as a carrier protein for the FXIII-A2 subunit, administration of rFXIII resulted in decreased FXIII-B subunit because of the rapid binding of rFXIII to free FXIII-B subunit.
FXIII activity.
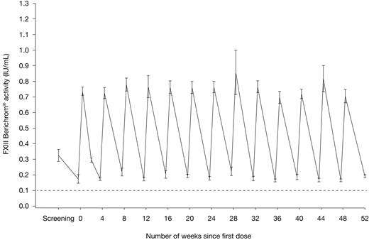
Mean predose trough levels of FXIII activity (corresponding to 4 weeks after the preceding dose of rFXIII) were 0.19 ± 0.05 IU/mL (Figure 2). As expected, rFXIII elevated the mean FXIII Berichrom activity significantly at 1 hour after treatment to 0.77 ± 0.20 IU/mL (both trough and 1-hour postdose statistics are as calculated over the mean activity level per patient). The overall recovery of FXIII activity at 1 hour after dose was similarly estimated to be 1.68 ± 0.51 (IU/mL)/(IU/kg). As a posthoc analysis, the half-life of FXIII activity was estimated by a single exponential model for mean FXIII activity levels—calculated over all records—at 3 time points (1 hour, 0.78 IU/mL; 14 days, 0.30 IU/mL; and 28 days, 0.19 IU/mL) to be approximately 11.8 days. This is consistent with the calculated half-life from the phase 1 trial.7
FXIII Berichrom activity. The mean profile of FXIII Berichrom activity (IU/mL) shown with SEM per visit. Dosing with rFXIII resulted in the maintenance of average FXIII activity trough levels above 0.10 IU/mL throughout the rFXIII prophylaxis period.
FXIII Berichrom activity. The mean profile of FXIII Berichrom activity (IU/mL) shown with SEM per visit. Dosing with rFXIII resulted in the maintenance of average FXIII activity trough levels above 0.10 IU/mL throughout the rFXIII prophylaxis period.
Clot-solubility test.
The occurrence of a positive clot-lysis assay did not appear to be associated with the onset of treatment-requiring bleeds or temporal trends in the before or after dose FXIII activity for the individual patient. However, positive clot lysis seemed to occur sporadically throughout the trial period and did not show a consistent trend in any of the investigated patients. Therefore, these data are not presented.
Safety assessment
In total, 231 adverse events occurring after initiation of rFXIII administration were reported in 32 patients. The most commonly reported events were headache (21 events in 12 patients), incorrect dosing (14 events in 7 patients), nasopharyngitis (11 events in 8 patients), and pyrexia (7 events in 7 patients). The majority of events were otherwise of mild to moderate severity. Eight serious adverse events were observed in 6 patients (Table 4), all of whom recovered completely. The remaining 170 events were not serious and had a frequency of less than 3%.
Serious adverse events
| Patient age, y . | Preferred term . | Days from dosing to onset . | Relationship to trial drug* . | Outcome . |
|---|---|---|---|---|
| 7 | Ab test positive | 15 | Probable | Recovered |
| 14 | Small intestinal obstruction | 4 | Unlikely | Recovered |
| Ab test positive | 17 | Possible | Recovered | |
| 16 | Ab test positive | 17 | Possible | Recovered |
| 19 | Road traffic accident | 28 | Unlikely | Recovered |
| 55 | Noncardiac chest pain | 23 | Unlikely | Recovered |
| Headache | 24 | Unlikely | Recovered | |
| 57 | Diverticulitis | 3 | Unlikely | Recovered |
| Patient age, y . | Preferred term . | Days from dosing to onset . | Relationship to trial drug* . | Outcome . |
|---|---|---|---|---|
| 7 | Ab test positive | 15 | Probable | Recovered |
| 14 | Small intestinal obstruction | 4 | Unlikely | Recovered |
| Ab test positive | 17 | Possible | Recovered | |
| 16 | Ab test positive | 17 | Possible | Recovered |
| 19 | Road traffic accident | 28 | Unlikely | Recovered |
| 55 | Noncardiac chest pain | 23 | Unlikely | Recovered |
| Headache | 24 | Unlikely | Recovered | |
| 57 | Diverticulitis | 3 | Unlikely | Recovered |
Relationship to trial drug assessment definitions: probable, good reasons and sufficient documentation to assume a causal relationship; possible, a causal relationship is conceivable and cannot be dismissed; and unlikely, the event is most likely related to an etiology other than the trial product.
One patient was withdrawn from the trial by the investigator because of worsening of previously existing leukopenia and neutropenia. The patient had mild neutropenia (neutrophil count, 1200/μL; normal range, 2500-7500/μL) before the initial trial drug administration. The neutrophil count decreased to 940/μL at week 12, at which point the patient was withdrawn from the trial. The neutrophil count at the end-of-trial visit (week 16) was low at 1350/μL, but returned to pretreatment value.
Overall, no significant changes were observed over time in hematology and biochemistry parameters or fibrinogen, prothrombin time, activated partial thromboplastin time, D-dimer, and thrombin time. No thromboembolic events or deaths were reported.
Four patients (8, 8, 14, and 16 years of age and including 2 siblings) developed transient, low-titer (2.3-2.6; lowest quantification level was 2.0 in logarithmic scale), non-neutralizing anti-rFXIII Abs after starting rFXIII treatment. No neutralizing activity was identified by functional (inhibitory) assay at any time point. Two siblings (a 14-year-old male and a 16-year-old female patient) developed Abs after the first exposure to rFXIII. Treatment with trial product was discontinued because non-neutralizing Abs had not been described previously and the risk of inhibitor development or changes in the pharmacokinetics were unknown. These patients resumed their local standard treatment, but continued to be monitored throughout the trial. The Ab titer declined below the detection limit at 4 and 8 months after initial rFXIII treatment for the 14-year-old and 16-year-old patient, respectively. The third patient, an 8-year-old male patient, also developed Abs after the first exposure to rFXIII. Despite the non-neutralizing Abs decreasing below the level of detection at the time of the second dose, the patient's parents withdrew informed consent and rFXIII was discontinued. The fourth patient was an 8-year-old male patient who developed non-neutralizing Abs after the second exposure to rFXIII. He continued receiving monthly treatment with rFXIII, and the Ab titer declined below the detection limit 4 months later.
No allergic reactions, treatment-requiring bleeds, or changes in pharmacokinetics were observed in any of these patients at any time while the non-neutralizing Abs were present or during follow-up. Furthermore, the Abs declined below the detection limit in all patients despite repeated exposure to any FXIII-containing products, in 2 of the patients while receiving rFXIII and in the remaining 2 patients while receiving other FXIII-containing products
Discussion
Congenital FXIII deficiency is a severe bleeding disorder often manifesting at an early age with intracranial bleeding. Safe, reliable, and effective therapy for this condition is badly needed. In the past, only plasma-derived sources of FXIII existed, and these have an associated low risk of blood-borne infections and allergic reactions. Use of advanced recombinant DNA technology can benefit FXIII production by generating a uniform and highly purified rFXIII product containing only the FXIII-A subunit (identical to endogenous human FXIII). This product is manufactured without using animal or human proteins, thus eliminating the risk of viral transmission. In addition, rFXIII production is independent of donor plasma availability and enables a more convenient administration with a smaller volume.
The present multicenter, multinational, open-label trial was undertaken to evaluate the efficacy and safety of this novel rFXIII in patients with congenital FXIII deficiency. The results confirm that prophylaxis with rFXIII is safe and effective for preventing bleeds in patients with congenital FXIII-A subunit deficiency.
After injection of rFXIII, a substantial increase in FXIII-A2 subunit, FXIII-A2B2, and FXIII activity was observed. The estimated half-lives of FXIII-A2subunit, FXIII-A2B2, and FXIII activity were similar to those reported for plasma-derived FXIII-containing products,11 and for rFXIII in the previous phase 1 study.7
The rFXIII was well tolerated. During the rFXIII treatment period, treatment-requiring bleeds were observed in only 4 of 41 participating patients. In all cases, these bleeds were associated with trauma and included nose and lip bleeds, soft tissue bleeds around the elbows, and facial bruising. Although the study protocol requested the assessment of FXIII activity before treatment of bleeds with any FXIII-containing product, blood samples were not collected before any of these events because of the need for urgent medical attention for these patients. The ages of patients who suffered bleeds requiring treatment were 8, 10, 16, and 19 years. Considering that the mean age of the trial population was 26 years, there was a tendency for treatment-requiring bleeds to occur primarily in younger patients, which is consistent with the effect of age being statistically significant in the primary analysis (P = .022). However, all treatment-requiring bleeds were due to trauma and the underlying reason for the apparent age affect is not known. We suspect that it might be because children and adolescents suffer trauma more frequently because of their level of physical activity.
No spontaneous treatment-requiring bleeds or intracranial hemorrhaging occurred during the rFXIII treatment period. Compared with retrospectively collected data from patients with congenital FXIII deficiency, the bleeding frequency in the present trial was significantly lower than the rate of 2.91 treatment-requiring bleeds per year in patients receiving on-demand treatment. Surveyed patients receiving on-demand treatment are likely to have a less severe disease state and perhaps bleed less often compared with prophylaxis patients before starting regular prophylaxis. However, the outcome of our survey was similar to other data sources; for example, in a small study of 7 patients, the mean annual number of spontaneous bleeds was 2.5 events per year before and 0.2 events per year during Fibrogammin P prophylaxis.12 Yoshida et al reported that bleeds markedly decreased from 4.2 ± 1.5/year to 0.2 ± 0.2/year with no life-threatening hemorrhaging, including intracerebral hemorrhaging, in 4 patients given regular replacement therapy with Fibrogammin P every 4 weeks for 10-19 years.13 Finally, a recent prospective study showed that, under prophylaxis with Fibrogammin P, the majority of patients with FXIII deficiency had no hemorrhaging, supporting the effectiveness of prophylactic treatment.14
The most feared complication when introducing new factor concentrates is inhibitor development. In contrast to hemophilia A, in which the cumulative incidence of inhibitor development ranges from 15%-30%,15,16 the incidence of inhibitory Abs in patients with congenital FXIII deficiency is very rare and has been reported in only 5 patients treated with plasma-based products.6,17,–19 The development of an inhibitor in hemophilia or congenital FXIII deficiency complicates continued management of the patient substantially; therefore, the present trial closely evaluated and monitored for Ab development to FXIII by testing patients monthly for anti-rFXIII Abs. No inhibitory Abs were found in this trial.
Four of 41 patients developed transient, low-titer, non-neutralizing anti-rFXIII Abs. These Abs did not inhibit FXIII activity and patients continued to be treated with either rFXIII or plasma-derived FXIII. The anti-rFXIII Abs were of the IgM isotype in 3 of the 4 patients, with no increase in Ab levels or isotype switching. Analysis of Ab isotype in the fourth patient was inconclusive due to Ab levels being too low to allow characterization. The presence of these non-neutralizing Abs was not associated with any treatment-requiring bleeds, changes in FXIII pharmacokinetics, or allergic reactions. Furthermore, the Abs declined below the detection limit in all patients despite repeated exposure to rFXIII or other FXIII-containing products. These data indicate that the observed low-titer, specific, non-neutralizing Abs were not clinically significant. The 4 patients who developed these non-inhibitory Abs were all young adolescents (ages 8-16 years) who had received prophylaxis with FXIII concentrates for many years before this trial. It is possible that patients with FXIII deficiency, when exposed to plasma-derived sources of FXIII, might also develop transient non-neutralizing Abs, but this has not been evaluated in previous studies. The development of non-neutralizing Abs is known to occur in patients with hemophilia and in healthy individuals with no underlying bleeding disorders.20,21 In the present study, although the 4 events of non-neutralizing, low-titer Abs all occurred in patients below the age of 18 years, it is not known why Abs have been detected more frequently after the initiation of treatment in children and adolescents. The present study did not suggest a relationship between genetic mutations and a predisposition for Ab development in these patients or any indication of inhibitor development; however, long-term follow-up studies are highly warranted to understand the immunogenic reaction in this rare bleeding disorder.
The small numbers included in this trial may be a limiting factor of this study. However, congenital FXIII deficiency is a rare disease and the trial included 41 patients, accounting for approximately 7% of the diagnosed congenital FXIII deficiency population worldwide. To date, this is the largest completed prospective clinical trial in patients with congenital FXIII deficiency. Apart from the issue of Ab development, there were no other safety issues and rFXIII was well tolerated. No thromboembolic or fatal adverse events were reported. The results of the present study demonstrate that rFXIII as a monthly replacement therapy is efficacious and safe for prophylactic treatment in patients with congenital FXIII-A subunit deficiency.
There is an Inside Blood commentary on this article in this issue.
The publication costs of this article were defrayed in part by page charge payment. Therefore, and solely to indicate this fact, this article is hereby marked “advertisement” in accordance with 18 USC section 1734.
Acknowledgments
The authors thank all of the patients who participated in the trial and the physicians who enrolled them, including Drs Carmen Altisent, Brigitte Brand, Giancarlo Castaman, Marie Dreyfus, Wolfgan Eberl, Susan Halimeh, John Hanley, Neil Josephson, Christine Kempton, Gili Kenet, Bryce Kerlin, Riitta Lassila, Ri Liesner, Ellis Neufeld, Roland Riess, Kris Ann Schultz, Charles Sexauer, Cameron Tebbi, and Henry Watson; and Dr Yuen-Sum Man (Novo Nordisk) for critical review of the manuscript. Editorial assistance to the authors during the preparation of this manuscript was provided by Sharon Eastwood (medical writer, PAREXEL) and was financially supported by Novo Nordisk A/S in compliance with international guidelines for good publication practice.
This trial was supported by Novo Nordisk A/S.
Authorship
Contribution: A.I. conducted the trial, reviewed the data, and wrote the manuscript; J.O. conceived the study, performed the research, collected and analyzed the data, and reviewed the manuscript; M.C. performed the research, collected and analyzed the data, and wrote the manuscript; A.R. analyzed the data and wrote and reviewed the manuscript; R.T. designed the study, performed the research, collected and analyzed the data, and wrote the manuscript; and D.N. designed the study, performed the research, analyzed the data, and wrote the manuscript.
Conflict-of-interest disclosure: J.O. has received reimbursement for attending symposia/congresses and/or honoraria for speaking and/or honoraria for consulting and/or funds for research from Baxter, Bayer, Biogen Idec, Biotest, CSL Behring, Grifols, Inspiration, Novo Nordisk, Octapharma, Pfizer, and Swedish Orphan Biovitrum. M.C. has received grant support from Bayer, Baxter, CSL, Novo Nordisk, and Pfizer and honoraria for speaking at events sponsored by Bayer, Baxter, CSL Behring, Grifols, Novo Nordisk, and Pfizer. A.R. and R.T. are Novo Nordisk employees and hold Novo Nordisk stock options. D.N. received honoraria for speaking at events sponsored by CSL Behring, and Novo Nordisk. A.I. declares no competing financial interests.
Correspondence: Diane Nugent, Department of Hematology, Children's Hospital of Orange County/UC Irvine Medical School, 455 S Maine St, Orange, CA 92868; e-mail: dnugent@choc.org.


This feature is available to Subscribers Only
Sign In or Create an Account Close Modal