Abstract
Abstract 895
HIV-infected patients are at increased risk to develop Hodgkin Lymphoma (HL). We examined the incidence and risk factors for HL, and the prognosis of patients with HIV-related HL in the era of highly active antiretroviral therapy (HAART) in the Collaboration of Observational HIV Epidemiological Research Europe (COHERE).
40,168 adult HIV-1 infected patients who started HAART in one of 16 prospective cohort studies in Europe were included in the present analysis. Incidence rates per 100,000 person-years, Kaplan-Meier estimates of cumulative incidence and survival, and adjusted hazard ratios (HRs) from Weibull random-effects models, with 95% confidence intervals (CIs), were calculated.
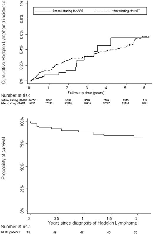
During 159,133 person-years of follow-up, 78 patients were diagnosed with HL. The crude incidence rate of HL was 50.4 per 100,000 person-years for patients who developed HL before starting HAART (17 cases) and 48.7 per 100,000 person-years in patients who were already on HAART (61 cases). Age, gender, CDC clinical stage, CD4 cell counts and HIV-1 RNA viral load at baseline (start of observation) were not significantly associated with the risk of HL. At HL diagnosis median age was 38.9 years (inter quartile range (IQR) 35.3 - 45.9 years) and the median CD4 cell count was 158 cells/μL (IQR 54 – 281 cells/μL). During a median follow-up of 18 months (IQR 4.8 - 34.8 months) 12 of 78 patients with HL died (15%), six of them during the first 6 months after diagnosis. Survival was 88% (95% CI 77% - 94%) at one year and 81% (95% CI 68% - 89%) at two years. Restricting the analysis to patients aged 16-44 years, one year survival in our population (86%, 95% CI 73% - 93%) was less compared to a European population of male Hodgkin patients of similar age (97.7%) [1]. The figure shows Kaplan-Meier plots of cumulative incidence (upper panel) and survival (lower panel).
HL incidence rates were similar in HAART treated and untreated patients. In contrast to HIV-related Non-Hodgkin's Lymphoma no clear association with baseline CD4 cell count was observed.
No relevant conflicts of interest to declare.
Reference:
Author notes
Asterisk with author names denotes non-ASH members.

This feature is available to Subscribers Only
Sign In or Create an Account Close Modal