Abstract
The optimal conditioning regimen for patients older than age 55 years with myeloid leukemia receiving allogeneic HSCT remains to be determined. Acute myelogenous leukemia (AML) and myelodysplastic syndrome (MDS) are of intermediate sensitivity to the graft-versus leukemia effect, and preparative regimen dose intensity is an important part of the treatment. Commonly, however, age 50–55 years has been used as the upper limit for the use of myeloablative doses of chemotherapy due to perceived high rates of morbidity and mortality. Herein, we report our results using the myeloablative preparative regimen of intravenous (IV) BuFlu in patients older than age 54 years with the diagnosis of AML or MDS.
Methods: Seventy-four patients ages 55 years and older with AML (n=60; 8 had secondary AML) or MDS (n=14) were transplanted from 9/2001 to 6/2008. Eligibility for transplant included adequate hepatic, renal, cardiac and pulmonary functions, and a diagnosis of MDS with a high IPSS or AML with high or intermediate risk cytogenetics in first complete remission (CR1), or with disease beyond CR1. The preparative regimen consisted of IV Flu 40 mg/m2 and IV Bu 130 mg/m2 given once daily over 3 hours on pre-transplant days −6 to −3. Tacrolimus and methotrexate was used for graft-versus-host disease (GVHD) prophylaxis, with pentostatin in 13 cases (18%). Thymoglobulin (ATG) (4 mg/kg) was administered to those who received unrelated donor grafts.
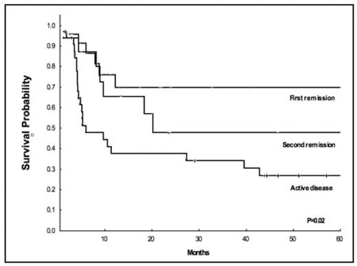
Results: Median age was 58 years (range 55–66); 18 patients (24%) were older than 59 years, and 64% were male. Disease status at HSCT was complete remission (CR) in 54% of the cases; 32% were in first CR (CR1) and 22% were in second CR (CR2), while 46% of the patients had active disease at transplant. Sixty eight percent and 28% of patients had intermediate and poor risk cytogenetics, respectively. Donors were HLA compatible related (50%) and unrelated (50%). Source of stem cells was bone marrow in 36 patients (49%) and peripheral blood in 38 patients (51%). All patients engrafted. Grade II–IV and III–IV acute GVHD was diagnosed in 41% and 7% of the patients, respectively. Chronic GVHD rate was 42%. Median follow-up is 22 months (range 1–82 months). Actuarial 2-year overall survival (OS) is 70%, 48%, and 35% for patients in CR1, CR2, and with active disease at time of transplant, respectively. Actuarial 2-year event free survival (EFS) is 65%, 45%, and 30% for patients in CR1, CR2, and with active disease at time of HSCT, respectively. Actuarial 2-year OS for unrelated and related transplants is similar at 50% and 45% respectively (p=0.7). Survival was not influenced by stem cell source. Thirty-two percent of the patients have relapsed (n=24). Causes of death were disease progression (n=22), GVHD (n=8), infection (n=3), and organ failure (n=3). TRM and survival are shown in Table and Figure.
Conclusion: In this cohort of patients with high-risk AML and MDS in the 6th and 7th decades of life receiving BuFlu, TRM rates were low. In addition, long-term follow up indicates that responses with this regimen are stable in a significant proportion of patients. Our results would suggest that age in itself should not be used as the primary reason to exclude patients from receiving myeloablative transplants.
Table. Cumulative Incidence of Transplant-Related Mortality by Pre-Transplant Disease Status
| TRM . | 30 days . | 100 days . | 1-year . |
|---|---|---|---|
| All patients | None | 4% | 21% |
| All CR (n=40) | None | 5% | 18% |
| CR1 (n=24) | None | 4% | 15% |
| Persistent Disease (n=34) | None | 3% | 27% |
| TRM . | 30 days . | 100 days . | 1-year . |
|---|---|---|---|
| All patients | None | 4% | 21% |
| All CR (n=40) | None | 5% | 18% |
| CR1 (n=24) | None | 4% | 15% |
| Persistent Disease (n=34) | None | 3% | 27% |
Survival Probability by Pre-Transplant Disease Status (median follow-up is 22 months).
Survival Probability by Pre-Transplant Disease Status (median follow-up is 22 months).
Disclosures: No relevant conflicts of interest to declare.
Author notes
Corresponding author

This feature is available to Subscribers Only
Sign In or Create an Account Close Modal