Abstract
In this randomized multicenter study of 136 patients, 6 courses of CHOP (cyclo-phosphamide/doxorubicin/vincristine/prednisone) followed by rituximab (CHOP-R) were compared with rituximab-supplemented high-dose sequential chemotherapy with autografting (R-HDS) to assess the value of intensified chemo-therapy as a first-line treatment for high-risk follicular lymphoma (FL) after the introduction of monoclonal antibodies. The analysis was intention to treat with event-free survival (EFS) as the primary endpoint. Complete remission (CR) was 62% with CHOP-R and 85% with R-HDS (P < .001). At a median follow-up (MFU) of 51 months, the 4-year EFS was 28% and 61%, respectively (P < .001), with no difference in overall survival (OS). Molecular remission (MR) was achieved in 44% of CHOP-R and 80% of R-HDS patients (P < .001), and was the strongest independent outcome predictor. Patients relapsing after CHOP-R underwent salvage R-HDS in 71% of cases. Salvage R-HDS had an 85% CR rate and a 68% 3-year EFS (MFU, 30 months). We conclude that (1) achieving MR is critical for effective disease control, regardless of which treatment is used; (2) R-HDS ensures superior disease control and molecular outcome than CHOP-R, but no OS improvement; and (3) CHOP-R failures have a good outcome after salvage R-HDS, suggesting that relapsed/refractory FL could be the most appropriate setting for R-HDS–like treatments. This trial was registered at www.clinicaltrials.gov as no. NCT00435955.
Introduction
In the last 15 years, our approach to treatment of follicular lymphoma (FL) has evolved considerably, chiefly due to 3 major achievements. First, new agents, particularly rituximab, have improved overall outcome in patients with FL.1,2 Second, a subset of patients with a rapid and progressive course has been recognized.3-5 The International Prognostic Index (IPI), the age-adjusted IPI (aaIPI), and more recent FL-specific scores such as the Intergruppo Italiano Linfomi (IIL) score and Follicular Lymphoma International Prognostic Index (FLIPI) now allow simple and effective identification of these high-risk patients, whose management is currently far from satisfactory.4,5 Finally, many phase 2 studies have demonstrated that the achievement of molecular remission (MR) as determined by polymerase chain reaction (PCR) is associated with a better outcome in the context of a wide array of different treatments.6-11
In this rapidly evolving field, the place for intensified regimens with autologous stem cell transplantation (ASCT) is poorly defined. Most data arise from pre-rituximab studies.12-16 ASCT improves overall survival (OS) in relapsed patients,7,12 while data at diagnosis are less clear. The 3 phase 3 studies published so far have been based on total body irradiation (TBI)–containing regimens, did not select patients according to validated prognostic scores, and did not include molecular analysis.13-15 Two of these trials showed that intensive therapy ensures better progression-free survival (PFS) than does conventional therapy.13,14 However, in the Groupe Ouest-Est Leucémies et Maladies du Sang (GOELAMS) trial, significant extramortality from secondary tumors was recorded in the intensified arm.14 Moreover, the recently published Groupe d'Etude des Lymphomes de l'Adulte (GELA) trial found no advantage for patients undergoing intensive treatment.15 These results led to the belief that ASCT is not superior to conventional chemotherapy in unselected patients with FL.
Our previous Gruppo Italiano Trapianto di Midollo Osseo (GITMO) experience using high-dose sequential chemotherapy with a final TBI-free ASCT (high-dose sequential chemotherapy [HDS]) provided further evidence for consideration.9,17 In particular, we observed that patients with an elevated aaIPI seem to have a more favorable outcome than expected, suggesting that HDS is particularly suitable for this specific subset. In addition, pre-rituximab data suggest that HDS regimens might be associated with fewer second tumors compared with alternative autografting programs potentially because there is no TBI and large stem cell grafts are infused.16,17
The present multicenter, open-label, randomized phase 3 trial took advantage of these observations. We compared a rituximab-supplemented version of HDS (R-HDS) with 6 courses of CHOP (cyclophosphamide/doxorubicin/vincristine/prednisone) supplemented by an identical number of rituximab courses (CHOP-R) in high-risk patients with FL. High risk was defined according to the aaIPI score (≥ 2) or the IIL score (≥ 3). The primary endpoint of the study was event-free survival (EFS). Secondary clinical endpoints were response rate, OS, PFS, and disease-free survival (DFS). Moreover, centralized molecular analysis was planned to prospectively explore the value of MR as an outcome predictor and to determine whether the 2 treatments showed any difference in their MR rates.
Methods
Patient inclusion criteria
Patients aged 18 to 60 years were eligible if they had Ann Arbor stage III or IV FL according to the Revised European-American Lymphoma/World Health Organization (REAL/WHO) lymphoma classification (grades I, II, and III; patients with grade IIIb were not excluded).18 Eligible patients had no history of cancer and were chemotherapy- or extended-field radiotherapy–free. High-risk disease was defined by an aaIPI score of 2 or greater or an IIL score of 3 or greater (the IIL score includes the following parameters: age, sex, number of extranodal sites, B symptoms, serum LDH level, and erythrocyte sedimentation rate).19 Absence of concurrent heart, kidney, lung, or liver disease was required, plus HIV and hepatitis C virus (HCV) negativity. Hepatitis B virus (HBV)–positive patients without active viral replication were eligible under lamivudine prophylaxis. Informed consent was obtained from all patients, and the institutional review boards of all the participating centers approved the study (for a list of the participating centers, see Document S1, available on the Blood website; see the Supplemental Materials link at the top of the online article).
Study design and procedures
A centralized computer generated a simple randomization sequence. Following verification of eligibility criteria, patients were randomly assigned either to the intensified or conventional arm. The randomization sequence was concealed during the entire eligibility verification procedure. The conventional arm (CHOP-R) has already been described by Rambaldi et al8 and consisted of 6 CHOP courses followed by infusions of 4 375 mg/m2 rituximab. The R-HDS schedule was an adaptation of previously described rituximab-free regimens,9,17,20-22 and consisted of 3 phases: (1) intensive debulking; (2) high-dose (HD) chemotherapy with stem cell collection of in vivo purged peripheral blood stem cells (PBSCs); and (3) autografting. Phase 1 included 2 complete, full-dose APO (doxorubicin, vincristine, prednisone) courses, totaling four 75 mg/m2 doxorubicin administrations. Patients not achieving CR following these courses received 2 additional DHAP (Ara-C, cisplatin, dexamethasone) courses. The HD phase consisted of 2 g/m2 etoposide (VP16) followed by a chemotherapy-free interval of 40 days for optimal PBSC mobilization. During this phase, patients received 2 rituximab courses (375 mg/m2). Then, 7 g/m2 cyclophosphamide (Cy) was delivered. In vivo purging was performed by delivering 2 rituximab doses (375 mg/m2) on the day after Cy, and on the first day the patient had a white blood cell count greater than 1000/μL. HD courses were supported with granulocyte colony-stimulating factor (G-CSF; 5 μg/kg/day). A minimum of 5 × 106 CD34+ cells/kg was required for autologous transplantation with PBSCs only (plus at least 3 × 106 CD34+ cells/kg or a bone marrow harvest as backup). Patients failing to meet this minimum did not undergo autografting. The autografting conditioning regimen has been described in detail elsewhere,9,17,20-22 and consisted of mitoxantrone (60 mg/m2) on day −5 and melphalan (180 mg/m2) on day −2. In both treatment arms, patients in partial response (PR) or who remained PCR+ received 2 final rituximab courses at the end of the program. Radiotherapy (30-36 Gy) was planned in both treatment arms on bulky sites or on residual masses approximately 2 months after the end of treatment. The 2 treatment arms are shown schematically in Figure 1.
Treatment schemes for the 2 arms of the GITMO/IIL trial. Plain solid lines indicate drugs delivered to all patients with FL. Dotted lines show drugs delivered only in specific cases: DHAP in patients where there was a lack of CR after APO, and 2 additional rituximab in patients with PR or PCR positivity at the end of treatment. A single APO course consisted of doxorubicin (75 mg/m2) on days 1 and 22, vincristine (1.2 mg/m2) on days 1 and 15, and prednisone (50 mg/m2) on days 1 to 22. The DHAP course consisted of cisplatin (100 mg/m2) on day 1, Ara-C (4 g/m2) on day 2, and dexamethasone (40 mg) on days 1 to 4. hd-VP16 indicates high-dose etoposide; hd-Cy, high-dose cyclophosphamide; PBSC, peripheral blood stem cell collection; and MITO/L-PAM, mitoxantrone plus melphalan.
Treatment schemes for the 2 arms of the GITMO/IIL trial. Plain solid lines indicate drugs delivered to all patients with FL. Dotted lines show drugs delivered only in specific cases: DHAP in patients where there was a lack of CR after APO, and 2 additional rituximab in patients with PR or PCR positivity at the end of treatment. A single APO course consisted of doxorubicin (75 mg/m2) on days 1 and 22, vincristine (1.2 mg/m2) on days 1 and 15, and prednisone (50 mg/m2) on days 1 to 22. The DHAP course consisted of cisplatin (100 mg/m2) on day 1, Ara-C (4 g/m2) on day 2, and dexamethasone (40 mg) on days 1 to 4. hd-VP16 indicates high-dose etoposide; hd-Cy, high-dose cyclophosphamide; PBSC, peripheral blood stem cell collection; and MITO/L-PAM, mitoxantrone plus melphalan.
This study also included detailed records of salvage treatment for patients with a first relapse or progression. In case of R-HDS failure, the salvage treatment was free. In case of CHOP-R failure, most centers (90%) agreed to treat patients with R-HDS (crossover). Only patients with the following characteristics were not considered eligible for crossover: (1) localized, limited relapse; (2) relapses requiring a specific treatment such as central nervous system or testis; (3) the presence of severe comorbidities; (4) age older than 60 years at the time of starting R-HDS; and (5) patient refusal. Patients with histologic shifts at relapse were not excluded from crossover and were included in the analysis. When delivered at relapse, the R-HDS schedule was identical with the exception that no APO courses were delivered in order to avoid excessive cardiac toxicity in patients already treated with CHOP. Thus, these patients started their R-HDS schedule from the 2 DHAP courses.
Study endpoints and statistical considerations
The primary endpoint was EFS. EFS was defined according to the Cheson criteria,23 which include relapse, progression, or death for any cause, but not treatment interruption for toxicity or poor mobilization. Secondary endpoints were response rate, OS, PFS, DFS (all defined according to the Cheson criteria),23 incidence of secondary myelodysplasia or acute myeloid leukemias (sMDS/AML) and solid malignancy, MR rate, and impact of MR on PFS. Molecular analysis was performed in a central highly experienced translational laboratory.9,17,24
A sample size of 246 patients (123 per arm) over 5 years was required to detect a 20% absolute increase (from 35%-55%) in 3-year EFS with an α error of .05 and a β error of .20, with a median follow-up of 3 years. A single interim analysis was planned, including the 120 patients who completed the treatment before March 24, 2005. R-HDS showed a significant EFS improvement (29% absolute increase, from 35%-64%), compared with CHOP-R (P < .001); this result led the steering committee to stop enrollment on May 30, 2005. For the present analysis, times of observation were censored on June 1, 2007, providing a median EFS and OS follow-up time of 51 months. Analyses were done on an intention-to-treat basis.
Patient characteristics were compared between the 2 arms using the Pearson χ2 test or the Fisher exact test for discrete variables and the Mann-Whitney test for continuous variables. All reported P values are 2-sided at the conventional 5% significance level. EFS, OS, DFS, and PFS were analyzed using the Kaplan-Meier method, comparing the 2 arms by the log-rank test and calculating 95% confidence intervals (CIs).25,26 The Cox proportional hazards model was used to assess the effect of different prognostic factors on OS, EFS, PFS, and DFS.27 Covariates were sex; age; histologic grade; Ann Arbor stage; aaIPI score; FLIPI score (retrospectively assigned); “B” symptoms; Eastern Cooperative Oncology Group (ECOG) performance status; LDH; bulky disease (> 5 cm diameter); spleen, bone marrow, and extranodal involvement; treatment arm; MR; and achievement of CR/CR unconfirmed (CRu) only for OS. As far as the incidence of sMDS/AML and solid tumors are concerned, the Gray test was used to compare the cumulative incidence curves of any risk factor, among different groups in the presence of a competing risk (always defined as death from any other causes other than sMDS/AML or solid tumors).28 All reported P values are 2-sided at the conventional 5% significance level. Data were analyzed as of August 2007 using SPSS 13.0.1 (SPSS, Chicago, IL).
MRD assessment by nested PCR
All patients with an available diagnostic tumor specimen were screened for the Bcl-2/IgH translocation. Nested PCR was carried out on bone marrow (BM) samples as described by Gribben et al.6 Given the extremely effective clearance of FL cells from circulation ensured by rituximab and the less-established predictive value, peripheral blood was not used for minimal residual disease (MRD) analysis. When the Bcl-2/IgH translocation could not be amplified, an alternative tumor marker was sought by amplifying and sequencing the immunoglobulin heavy-chain (IgH) gene rearrangement.29 MRD was detected as described elsewhere.6,29
The minimal schedule for PCR monitoring was as follows: BM at diagnosis, one BM sample at the end of treatment, and one at months 6 to 12 from the end. Additional samples were analyzed yearly if the patient and the treating physician wished to continue the molecular follow-up. A single follow-up sample was considered informative only in cases of CR/CRu lasting less than 6 months. Patients were considered evaluable for molecular analysis if they reached CR/CRu and had a valid molecular marker and 2 posttreatment follow-up samples spaced at least 6 months apart. Patients were considered in MR if 2 or more consecutive samples were PCR negative.
Results
Patient characteristics
Between March 2000 and May 2005, 136 patients were treated at 30 Italian hematologic centers. Patients characteristics are shown in Table 1. All participating centers were enabled by GITMO to perform ASCT (median yearly number of ASCTs, 36; range, 14-100) and enrolled a median number of 4 patients each (range, 1-19 patients). Two CHOP-R patients were inappropriately enrolled and not included in the analysis (one withdrew consent before treatment start and one patient lacked a documented aaIPI score of 2 or greater). All other patients were included in the analysis. Only 2 patients (both CHOP-R) were censored as “lost to follow-up” at the closing date for the analysis after a follow-up of 23 and 6 months, respectively.
Main patient characteristics
| . | CHOP-R . | R-HDS . | Total . | P . |
|---|---|---|---|---|
| Patients, no. | 66 | 68 | 134 | — |
| M/F, no. patients (ratio) | 40/26 (1.5) | 38/30 (1.3) | 78/56 (1.4) | .57 |
| Median age, y (range) | 51 (22-59) | 51 (25-59) | 51 (22-59) | .71 |
| Histologic grades I-II, no. (%) | 50 (76) | 48 (71) | 98 (73) | .5 |
| aaIPI 2 or more, no. (%) | 61 (92) | 59 (87) | 120 (90) | .41 |
| FLIPI 3 or more, no. (%) | 34 (51) | 44 (65) | 78 (58) | .12 |
| IIL 3 or more, no. (%) | 46 (70) | 43 (63) | 89 (66) | .47 |
| Ann Arbor stage IV, no. (%) | 56 (85) | 62 (91) | 118 (88) | .25 |
| B symptoms, no. (%) | 33 (50) | 30 (44) | 63 (47) | .49 |
| ECOG performance status 2 or more, no. (%) | 42 (66) | 38 (56) | 80 (60) | .36 |
| Bulky disease, no. (%) | 37 (56) | 38 (56) | 75 (56) | .86 |
| Spleen involvment, no. (%) | 25 (38) | 25 (37) | 50 (37) | .94 |
| Bone marrow involvment, no. (%) | 53 (80) | 60 (88) | 113 (84) | .2 |
| Extranodal involvment, no. (%) | 21 (32) | 21 (31) | 42 (31) | .9 |
| Abnormal LDH, no. (%) | 32 (59) | 33 (59) | 65 (59) | .84 |
| . | CHOP-R . | R-HDS . | Total . | P . |
|---|---|---|---|---|
| Patients, no. | 66 | 68 | 134 | — |
| M/F, no. patients (ratio) | 40/26 (1.5) | 38/30 (1.3) | 78/56 (1.4) | .57 |
| Median age, y (range) | 51 (22-59) | 51 (25-59) | 51 (22-59) | .71 |
| Histologic grades I-II, no. (%) | 50 (76) | 48 (71) | 98 (73) | .5 |
| aaIPI 2 or more, no. (%) | 61 (92) | 59 (87) | 120 (90) | .41 |
| FLIPI 3 or more, no. (%) | 34 (51) | 44 (65) | 78 (58) | .12 |
| IIL 3 or more, no. (%) | 46 (70) | 43 (63) | 89 (66) | .47 |
| Ann Arbor stage IV, no. (%) | 56 (85) | 62 (91) | 118 (88) | .25 |
| B symptoms, no. (%) | 33 (50) | 30 (44) | 63 (47) | .49 |
| ECOG performance status 2 or more, no. (%) | 42 (66) | 38 (56) | 80 (60) | .36 |
| Bulky disease, no. (%) | 37 (56) | 38 (56) | 75 (56) | .86 |
| Spleen involvment, no. (%) | 25 (38) | 25 (37) | 50 (37) | .94 |
| Bone marrow involvment, no. (%) | 53 (80) | 60 (88) | 113 (84) | .2 |
| Extranodal involvment, no. (%) | 21 (32) | 21 (31) | 42 (31) | .9 |
| Abnormal LDH, no. (%) | 32 (59) | 33 (59) | 65 (59) | .84 |
— indicates not applicable.
Feasibility, early toxicity, and response rate
A total of 71% of patients concluded CHOP-R. Failures were mostly due to progression (26%). Toxicity failures were 3%. Despite its complexity, 79% of patients completed R-HDS. The causes for discontinuation were progression (7%) and toxicity (7%). In addition, 3 patients did not undergo ASCT because of poor stem-cell mobilization, and one discontinued R-HDS before ASCT, citing family problems. In the R-HDS arm, the planned delivery of 2 extra-DHAP courses for patients not in CR was performed in 42 (61%) patients. The planned delivery of 2 more rituximab courses in case of PR or PCR positivity was performed in 13 CHOP-R patients (5 due to PR and 8 due to PCR positivity) and 7 R-HDS patients (3 due to PR and 4 due to PCR-positivity). Consolidation radiotherapy was delivered to 31 (46%) and 28 (41%) patients, respectively (P = .15).
A total of 5 early toxic deaths (within day 100 from ASCT) occurred in the whole population. One CHOP-R patient had a sudden death following the first infusion and another died of Gram-negative sepsis following the third course. One R-HDS patient had an interstitial pneumonia during the second debulking course, one had a Gram-positive sepsis 65 days after ASCT, and one had a graft failure.
A total of 7 nonfatal grades III to IV early extrahematologic (within day 100 from ASCT) toxicities occurred in the CHOP-R arm. Of these, 4 were of infectious nature. A total of 26 nonfatal grades III to IV extrahematologic early toxicities occurred in the R-HDS arm (excluding ASCT-related oral or gastrointestinal mucositis), leading to a significant (P < .001) toxicity surplus. Infectious toxicity accounted for 9 episodes.
Response rates were as follows: CR/CRu were 62% following CHOP-R and 85% following R-HDS (P < .001), and PR were 8% and 5%, respectively. Progressive or stable disease occurred in 30% of CHOP-R patients and 10% of R-HDS patients.
Late toxicity and clinical outcome
Median follow-up for EFS and OS was 51 months. Late toxicities in the CHOP-R arm were as follows: one fatal sMDS/AML in a patient with relapsed disease who received 6 fludarabine-mitoxantrone, dexamethasone regimens as salvage treatment: one head-and-neck cancer, one bladder cancer, and one suspected lung cancer. The 3 solid cancers occurred in patients that were still in remission following CHOP-R. In the R-HDS arm, we recorded 5 cases of sMDS/AML (3 fatal) and one fatal gastric cancer. All sMDS/AML occurred in patients that were still in remission from their FL. The cumulative incidence of sMDS/AML at 4 years was 6.6% for R-HDS and 1.7% for CHOP-R (P = .111; Figure 2A). For solid tumor, the cumulative incidence at 4 years was 1.5% for both arms (Figure 2B). No late nonneoplastic toxicities have been reported including cardiotoxicity. There were 9 lymphoma-related deaths in the CHOP-R arm and 7 in the R-HDS arm. At the closing date, 105 (78%) patients were alive. Sixty-three (47%) were alive in continuous CR, 21 (32%) following CHOP-R, and 42 (62%) following R-HDS (P < .001). The 4-year OS and EFS for the whole population are 80% and 44%, respectively (data not shown). Patient outcome according to treatment arm is shown in Figure 3. The 4-year OS was similar in the 2 arms, with 80% of patients surviving after CHOP-R and 81% after R-HDS (Figure 3A; P = .96). The 4-year projected values for CHOP-R and R-HDS were 28% and 61% for EFS (P < .001; Figure 3B), 31% and 68% for PFS (P < .001; Figure 3C), and 45% and 76% for DFS (P < .001; Figure 3D). Of note, advantage of R-HDS for PFS and EFS was observed both in grades I, II, and III histologies (data not shown).
Late neoplastic events. (A) Cumulative incidence of sMDS/AML following R-HDS and CHOP-R in the presence of a competing risk, defined as death caused by anything other than sMDS/AML. (B) Cumulative incidence of second solid tumors following R-HDS and CHOP-R, in the presence of a competing risk defined as death caused by anything other than second solid tumor.
Late neoplastic events. (A) Cumulative incidence of sMDS/AML following R-HDS and CHOP-R in the presence of a competing risk, defined as death caused by anything other than sMDS/AML. (B) Cumulative incidence of second solid tumors following R-HDS and CHOP-R, in the presence of a competing risk defined as death caused by anything other than second solid tumor.
Clinical results of the GITMO/IIL trial. The probability of (A) OS, (B) EFS, (C) PFS, and (D) DFS was assessed for patients in the 2 treatment arms.
Clinical results of the GITMO/IIL trial. The probability of (A) OS, (B) EFS, (C) PFS, and (D) DFS was assessed for patients in the 2 treatment arms.
Molecular outcome
Tumor samples were available at diagnosis for 104 patients (78%; Figure 4A). A molecular marker was obtained for 73 patients (70%; bcl-2/IgH in 65 patients and IgH rearrangement in 8 patients). Of these 73 patients, 13 did not achieve CR/CRu, leaving 60 patients for molecular evaluation (25 CHOP-R patients and 35 R-HDS patients). Overall, 165 bone marrow follow-up determinations were performed (median number of follow-up determinations per patient, 2; range, 1-5). Overall, 65% of evaluable patients achieved MR (Figure 4B). The MR rate was 44% in patients treated with CHOP-R and 80% in patients treated with R-HDS (P < .002; Figure 4B). Patients in MR had a better PFS compared with those without MR (Figure 4C; P < .001). Interestingly, the outcome of patients achieving MR was similar regardless of treatment received as was the outcome of patients not achieving MR (Figure 4D,E). This result suggests that the superior disease control of R-HDS is associated with the increased number of MRs observed with this regimen.
Results of MRD analysis in the GITMO/IIL trial. (A) Results of screening for molecular markers and assignment of evaluable patients to treatment arm. (B) MR in the whole patient population and in CHOP-R and R-HDS patients. (C) PFS according to the presence of MR (PCR−) or lack of MR (PCR+). (D) PFS according to treatment arm in patients achieving MR. (E) PFS according to treatment arm in patients not achieving MR.
Results of MRD analysis in the GITMO/IIL trial. (A) Results of screening for molecular markers and assignment of evaluable patients to treatment arm. (B) MR in the whole patient population and in CHOP-R and R-HDS patients. (C) PFS according to the presence of MR (PCR−) or lack of MR (PCR+). (D) PFS according to treatment arm in patients achieving MR. (E) PFS according to treatment arm in patients not achieving MR.
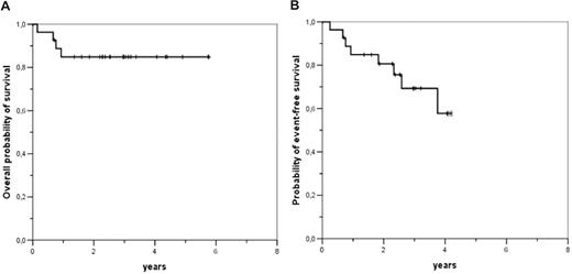
Outcome of patients undergoing salvage R-HDS after CHOP-R failure. (A) OS for salvage R-HDS patients. (B) EFS for salvage R-HDS patients.
Outcome of patients undergoing salvage R-HDS after CHOP-R failure. (A) OS for salvage R-HDS patients. (B) EFS for salvage R-HDS patients.
Risk factor analysis
The impact of different variables on survival was assesed using univariate and multivariate analysis (Tables 2,3). Cox regression analysis shows that OS is affected by ECOG performance status and by lack of CR/CRu. The most important adverse prognostic factor for EFS, PFS, and DFS was lack of MR (Table 3). However, when the analysis was performed without considering PCR results, in order to take into account the whole patient population, R-HDS was the strongest protective factor for EFS, PFS, and DFS.
Univariate Kaplan-Meier survival analysis
| . | No. patients . | 4-year OS projection, % . | P . | 4-year EFS projection, % . | P . | 4-year PFS projection, % . | P . | 4-year DFS projection, % . | P . |
|---|---|---|---|---|---|---|---|---|---|
| Sex | |||||||||
| M | 78 | 76 | — | 41 | — | 45 | — | 62 | — |
| F | 56 | 87 | .051 | 49 | .118 | 54 | .164 | 64 | .787 |
| Age | |||||||||
| Less than or equal to 50 y | 59 | 84 | — | 45 | — | 48 | — | 63 | — |
| Over 50 y | 75 | 77 | .661 | 44 | .813 | 49 | .942 | 63 | .967 |
| WHO grade | |||||||||
| I-II | 98 | 82 | — | 42 | — | 47 | — | 59 | — |
| III | 36 | 76 | .416 | 51 | .3 | 53 | .379 | 75 | .098 |
| Ann Arbor stage | |||||||||
| II-III | 16 | 78 | — | 57 | — | 57 | — | 79 | — |
| IV | 118 | 81 | .559 | 43 | .244 | 48 | .423 | 61 | .195 |
| aaIPI | |||||||||
| Less than 3 | 108 | 85 | — | 48 | — | 51 | — | 62 | — |
| 3 | 26 | 59 | .007 | 29 | .09 | 38 | .238 | 68 | .521 |
| FLIPI | |||||||||
| Less than 3 | 56 | 87 | — | 44 | — | 47 | — | 61 | — |
| 3 or more | 78 | 75 | .58 | 45 | .81 | 50 | .791 | 65 | .658 |
| B symptoms | |||||||||
| No | 71 | 87 | — | 52 | — | 56 | — | 66 | — |
| Yes | 63 | 73 | .032 | 36 | .024 | 41 | .025 | 58 | .459 |
| ECOG performance status | |||||||||
| Less than 2 | 54 | 91 | — | 60 | — | 61 | — | 70 | — |
| 2 or more | 80 | 74 | .012 | 35 | .003 | 40 | .018 | 57 | .174 |
| Elevated LDH | |||||||||
| No | 45 | 84 | — | 45 | — | 49 | — | 63 | — |
| Yes | 65 | 76 | .675 | 44 | .721 | 49 | .803 | 63 | .856 |
| Bulky disease | |||||||||
| No | 57 | 81 | — | 44 | — | 49 | — | 61 | — |
| Yes | 75 | 80 | .999 | 45 | .861 | 48 | .778 | 63 | .575 |
| Spleen involvement | |||||||||
| No | 81 | 80 | — | 47 | — | 51 | — | 64 | — |
| Yes | 50 | 83 | .96 | 40 | .355 | 45 | .46 | 58 | .575 |
| BM involvement | |||||||||
| No | 21 | 83 | — | 62 | — | 62 | — | 79 | — |
| Yes | 113 | 80 | .877 | 41 | .153 | 46 | .305 | 59 | .317 |
| Other extranodal involvement | |||||||||
| No | 90 | 79 | — | 44 | — | 49 | — | 62 | — |
| Yes | 42 | 83 | .824 | 42 | .312 | 46 | .377 | 63 | .817 |
| Arm | |||||||||
| CHOP-R | 66 | 80 | — | 28 | — | 31 | — | 45 | — |
| R-HDS | 68 | 81 | .672 | 61 | < .001 | 68 | < .001 | 76 | .006 |
| CR/CRu | |||||||||
| No | 34 | 48 | — | — | — | — | — | — | — |
| Yes | 98 | 93 | < .001 | NA | NA | NA | NA | NA | NA |
| Molecular remission | |||||||||
| No | 21 | 77 | — | 21 | — | 21 | — | 28 | — |
| Yes | 39 | 88 | .101 | 75 | < .001 | 75 | < .001 | 76 | .001 |
| . | No. patients . | 4-year OS projection, % . | P . | 4-year EFS projection, % . | P . | 4-year PFS projection, % . | P . | 4-year DFS projection, % . | P . |
|---|---|---|---|---|---|---|---|---|---|
| Sex | |||||||||
| M | 78 | 76 | — | 41 | — | 45 | — | 62 | — |
| F | 56 | 87 | .051 | 49 | .118 | 54 | .164 | 64 | .787 |
| Age | |||||||||
| Less than or equal to 50 y | 59 | 84 | — | 45 | — | 48 | — | 63 | — |
| Over 50 y | 75 | 77 | .661 | 44 | .813 | 49 | .942 | 63 | .967 |
| WHO grade | |||||||||
| I-II | 98 | 82 | — | 42 | — | 47 | — | 59 | — |
| III | 36 | 76 | .416 | 51 | .3 | 53 | .379 | 75 | .098 |
| Ann Arbor stage | |||||||||
| II-III | 16 | 78 | — | 57 | — | 57 | — | 79 | — |
| IV | 118 | 81 | .559 | 43 | .244 | 48 | .423 | 61 | .195 |
| aaIPI | |||||||||
| Less than 3 | 108 | 85 | — | 48 | — | 51 | — | 62 | — |
| 3 | 26 | 59 | .007 | 29 | .09 | 38 | .238 | 68 | .521 |
| FLIPI | |||||||||
| Less than 3 | 56 | 87 | — | 44 | — | 47 | — | 61 | — |
| 3 or more | 78 | 75 | .58 | 45 | .81 | 50 | .791 | 65 | .658 |
| B symptoms | |||||||||
| No | 71 | 87 | — | 52 | — | 56 | — | 66 | — |
| Yes | 63 | 73 | .032 | 36 | .024 | 41 | .025 | 58 | .459 |
| ECOG performance status | |||||||||
| Less than 2 | 54 | 91 | — | 60 | — | 61 | — | 70 | — |
| 2 or more | 80 | 74 | .012 | 35 | .003 | 40 | .018 | 57 | .174 |
| Elevated LDH | |||||||||
| No | 45 | 84 | — | 45 | — | 49 | — | 63 | — |
| Yes | 65 | 76 | .675 | 44 | .721 | 49 | .803 | 63 | .856 |
| Bulky disease | |||||||||
| No | 57 | 81 | — | 44 | — | 49 | — | 61 | — |
| Yes | 75 | 80 | .999 | 45 | .861 | 48 | .778 | 63 | .575 |
| Spleen involvement | |||||||||
| No | 81 | 80 | — | 47 | — | 51 | — | 64 | — |
| Yes | 50 | 83 | .96 | 40 | .355 | 45 | .46 | 58 | .575 |
| BM involvement | |||||||||
| No | 21 | 83 | — | 62 | — | 62 | — | 79 | — |
| Yes | 113 | 80 | .877 | 41 | .153 | 46 | .305 | 59 | .317 |
| Other extranodal involvement | |||||||||
| No | 90 | 79 | — | 44 | — | 49 | — | 62 | — |
| Yes | 42 | 83 | .824 | 42 | .312 | 46 | .377 | 63 | .817 |
| Arm | |||||||||
| CHOP-R | 66 | 80 | — | 28 | — | 31 | — | 45 | — |
| R-HDS | 68 | 81 | .672 | 61 | < .001 | 68 | < .001 | 76 | .006 |
| CR/CRu | |||||||||
| No | 34 | 48 | — | — | — | — | — | — | — |
| Yes | 98 | 93 | < .001 | NA | NA | NA | NA | NA | NA |
| Molecular remission | |||||||||
| No | 21 | 77 | — | 21 | — | 21 | — | 28 | — |
| Yes | 39 | 88 | .101 | 75 | < .001 | 75 | < .001 | 76 | .001 |
NA indicates not applicable; and —, not significant.
Cox regression analysis
| . | OS . | EFS . | PFS . | DFS . | ||||
|---|---|---|---|---|---|---|---|---|
| Parameter | HR (95% CI) | P | HR (95% CI) | P | HR (95% CI) | P | HR (95% CI) | P |
| Including PCR* (n = 60) | ||||||||
| Lack of molecular remission | ND | ND | 4.09 (1.73-9.70) | .001 | 3.06 (1.24-7.55) | .015 | 4.3 (1.61-11.50) | .004 |
| B symptoms | ND | ND | — | — | 2.43 (1.01-5.85) | .047 | — | — |
| Excluding PCR* (n = 134) | ||||||||
| ECOG performance status ≥ 2 | 2.82 (1.06-7.49) | .038 | — | — | — | — | — | — |
| Lack of CR/CRu | 6.32 (2.80-14.23) | < .001 | — | — | — | — | — | — |
| R-HDS arm | — | — | 0.36 (0.22-0.60) | < .001 | 0.30 (0.17-0.53) | < .001 | 0.37 (0.18-0.78) | .009 |
| B symptoms | — | — | 1.67 (1.03-2.70) | .038 | — | — | — | — |
| . | OS . | EFS . | PFS . | DFS . | ||||
|---|---|---|---|---|---|---|---|---|
| Parameter | HR (95% CI) | P | HR (95% CI) | P | HR (95% CI) | P | HR (95% CI) | P |
| Including PCR* (n = 60) | ||||||||
| Lack of molecular remission | ND | ND | 4.09 (1.73-9.70) | .001 | 3.06 (1.24-7.55) | .015 | 4.3 (1.61-11.50) | .004 |
| B symptoms | ND | ND | — | — | 2.43 (1.01-5.85) | .047 | — | — |
| Excluding PCR* (n = 134) | ||||||||
| ECOG performance status ≥ 2 | 2.82 (1.06-7.49) | .038 | — | — | — | — | — | — |
| Lack of CR/CRu | 6.32 (2.80-14.23) | < .001 | — | — | — | — | — | — |
| R-HDS arm | — | — | 0.36 (0.22-0.60) | < .001 | 0.30 (0.17-0.53) | < .001 | 0.37 (0.18-0.78) | .009 |
| B symptoms | — | — | 1.67 (1.03-2.70) | .038 | — | — | — | — |
ND indicates not done due to the low number of events; and —, not significant.
Only significant variables were included.
Outcome after failure of first-line treatment
The type and outcome of rescue treatment are available for the entire population, except for one patient who was lost to follow-up. Thus far, 40 failures due to relapsed or refractory disease occurred following CHOP-R. A total of 12 patients who failed with CHOP-R did not undergo crossover treatment because of minimal relapse (4 patients), refusal (3 patients), comorbidity (2 patients), unusual relapse site (2 patienst), and age older than 60 years (1 patient). A total of 28 patients who failed CHOP-R received R-HDS. The overall feasibility of salvage R-HDS was 78%. A total of 4 (14%) patients progressed under salvage R-HDS. A total of 2 patients undergoing salvage R-HDS were unable to mobilize PBSCs. No early toxic deaths were recorded. So far, no sMDS/AML or solid tumors were recorded: this may be due to the relatively short follow-up. The overall CR/CRu rate of CHOP-R failures was 76%, while the CR/Cru rate for those receiving salvage R-HDS was 85%. At a median follow-up of 30 months, the 3-year EFS and OS projection for the whole population of CHOP-R failures are 64% and 73% (data not shown), while for those rescued with R-HDS are 68% and 81% (Figure 5).
A total of 18 relapses or disease progressions occurred in the R-HDS arm. There was no specific indication for salvage treatment. Of note, 7 patients had limited/localized relapses and were treated with chemotherapy-free regimens such as rituximab or radiotherapy; 4 of these patients achieved a second CR/CRu.
Discussion
This study describes the results of the GITMO/IIL multicenter randomized trial comparing CHOP-R and R-HDS in high-risk patients with FL. To our knowledge, this is the first study evaluating conventional versus intensified therapy in FL both supplemented with rituximab and the first randomized study specifically focusing on high-risk patients with FL. In addition, it is the first phase 3 trial in which a large proportion of patients underwent centralized, prospective molecular evaluation. Intention-to-treat analysis indicates the following: (1) MR is the strongest protective factor for EFS, PFS, and DFS, with a clear positive impact regardless of treatment arm; (2) R-HDS allows better disease control, as shown by its superior CR and MR rates, PFS, and EFS; (3) despite its superior EFS and MR rate, R-HDS does not improve OS; nevertheless, in both arms, OS appears improved compared with historic pre-rituximab findings4 ; and (4) patients with relapsed or refractory disease following CHOP-R can be rescued with R-HDS with a 3-year EFS of 70%. These results, together with the nonnegligible incidence of secondary sMDS/AML in the intensified arm, indicate that the most appropriate positioning for R-HDS–like regimens might not be at diagnosis, but as second-line treatment for patients with refractory or relapsed disease.
The superior disease control obtained with intensified versus conventional treatment was a matter of debate in the pre-rituximab and pre–risk stratification era. A recent paper from the Dana Farber Cancer Institute provides a very mature analysis of 96 patients and suggests that approximately 40% of patients with FL undergoing ASCT as first-line treatment became long-term disease-free survivors.11 Current data from randomized trials are less mature, and their results are somehow discrepant. The GOELAMS and the German Low-Grade Lymphoma Study Group showed that autografting-based regimens have a better PFS compared with conventional therapy.13,14 In contrast, the GELA trial showed no differences between treatments.15 The inclusion of rituximab in the treatment of FL at diagnosis has clearly improved the outcome of conventional chemotherapy as shown by several randomized trials.30,31 However, it is unknown if rituximab is equally beneficial when combined with intensified ASCT-containing programs. Indeed, on the one hand, one might expect to see the advantages of ASCT in terms of PFS diminish after the inclusion of rituximab. On the other hand, one could expect rituximab to provide “added value” also in the context of ASCT-containing programs (eg, by enhancing the collection of PCR− grafts through its well-described in vivo purging effect).32 Our results clearly indicate that rituximab positively affects both the conventional and the intensified treatment schedule, leading to a PFS advantage similar to that observed in the most positive study performed in the pre-rituximab age, namely the report from the German Low-Grade Lymphoma Study Group.13 In this trial, rituximab was delivered sequentially and not concurrently. Although not formally proven, most clinicians believe that concurrent delivery might be more effective. However it is difficult to hypothesize that concurrent rituximab delivery could allow for the improvement of PFS in the conventional arm up to the level observed with R-HDS.
Despite a major PFS and EFS advantage for R-HDS, no OS difference was recorded between the 2 arms, even if the trial included exclusively high-risk patients. In addition, it should be noted that, despite a large number of early relapses, approximately 30% of CHOP-R patients enjoyed a prolonged disease-free period associated with few, if any, late disease–related events. This finding, together with the observation that a similar proportion of patients achieved MR exclusively with CHOP-R, indicates that front-line R-HDS would probably be an overtreatment for a nonnegligible subgroup of patients.
It should be noted that the extremely high early relapse rate following conventional chemotherapy is balanced by the good outcome of patients undergoing R-HDS as salvage treatment, leading to a similar rate of lymphoma-related deaths in the 2 arms. In our experience, the use of R-HDS at relapse was not hampered by eligibility issues (few patients were excluded due to comorbidities) and showed a feasibility identical to that observed at diagnosis, including the critical issue of adequate collection of PBSCs. Moreover, the 68% 3-year EFS data indicate that the antitumor effect of R-HDS was not hampered by previous delivery of a single line of conventional chemotherapy and rituximab. Longer follow-up is required to be sure that the rate of long-term survivors following salvage R-HDS is similar to that observed at diagnosis. Indeed, the very mature data from Rohatiner et al show a good long-term outcomes for patients receiving ASCT as second-line treatment, suggesting that intensified procedures retain high efficacy at least when used as first salvage treatment.33
Toxicity issues support delayed use of R-HDS. In our experience, similar numbers of early toxic deaths were recorded in the 2 arms. However, the rate of secondary MDS is higher in the intensified arm, with a 4-year cumulative incidence of 6.6% versus 1.7% (P = .111), and additional cases might potentially occur in the future with a longer follow-up. A recent review of the rate of sMDS/AML and solid tumors in 1266 patients treated with HDS or R-HDS indicates that the rate of these complications is lower compared with TBI-containing programs.34 Nevertheless, currently effective approaches are available to treat even late-phase FL, while sMDS/AML remains a rapidly fatal disease. Thus, we believe that the current risk of sMDS/AML, while if lower compared with that observed with TBI-containing regimens,16 still argues against a front-line use of ASCT given the possibility of a very effective delivery of this treatment at first relapse. One feature of this study is the use of restrictive inclusion criteria, defined according to validated prognostic scores.5 This arose from the observation that rituximab-free HDS was particularly suitable for high-risk patients.9 Moreover, the 3 previously mentioned randomized studies uniformly showed better performance of intensified treatment in retrospectively assigned high-risk subgroups.12-14 When this study was launched, 2 prognostic scores were available: the aaIPI and the IIL scores. Currently, the FLIPI is considered the most suitable score for patients with FL. As expected by the different parameters included in these scores, a proportion of our patients were not “high risk” according to retrospective FLIPI assigment. Moreover, FLIPI was not predictive for outcome in our series. This finding should not be overemphasized and needs cautious consideration: first, FLIPI retrospective assignation could have introduced a bias; second, patients who did not score as “high risk” according to FLIPI are not an unselected “standard risk” population, as they were selected according to previous scores and thus clearly belonged to a severely ill population (5-year OS, 43.6% for aaIPI score of 2 or greater and 38% for ILI score greater than 34 as opposed to 52.5% for a FLIPI score of 3 or greater).5 However, independent of the score considered, the 80% 4-year OS globally observed in our trial suggests that the outcome of high-risk patients with FL has improved compared with historic pre-rituximab data.4
A total of 16 years have passed since the first observations that PCR negativity plays a role in the outcome of patients with FL.35 It is true that bcl-2/IgH PCR still requires some standardization, including quality assurance, fixed analysis time-points, and standard tissue source (all the most predictive studies were based on BM). However, during this 16-year period, a number of reports have confirmed the critical value of MR achievement in disparate settings, including single- and multicenter trials, conventional and intensified treatments, rituximab-free and rituximab-based treatments. In addition, MR has a high predictive value also in series with a very prolonged follow-up.10,11 This suggests that in patients with persistent PCR negativity, residual tumor cells (if they exist) are clearly under stable and possibly lifelong control. The present study is the first randomized trial to include prospective MR monitoring. It is important to note that only 22% of the patients were excluded from molecular analysis because of a lack of adequate sampling. Our study indicates that MR is the most important outcome predictor in multivariate analysis for EFS, PFS, and DFS, and is definitely superior to any other indicator available at diagnosis. In addition, this study establishes a direct link between molecular and clinical outcomes: patients who remain PCR+ have a bad outcome regardless of the treatment arm, in contrast to those who achieve MR. Thus, achievement of MR should be considered to be key in developing novel treatment strategies for FL. Finally, these results clearly indicate that the time has come to evaluate the benefit of using bcl-2/IgH PCR as a decision-making tool in FL.
The online version of this article contains a data supplement.
The publication costs of this article were defrayed in part by page charge payment. Therefore, and solely to indicate this fact, this article is hereby marked “advertisement” in accordance with 18 USC section 1734.
Acknowledgments
We are grateful to Dr Enrica Gamba from Roche Italy for her unwavering and valuable scientific support.
This work was supported in part by Roche (Milan, Italy), which provided free rituximab for all the patients; Compagnia di San Paolo (Torino, Italy), Ministero Italiano Universitá e Ricerca (MIUR), Rome, Italy; and Regione Piemonte (Torino, Italy).
Authorship
Contribution: M.L., A. Pileri, A.M.G., P.C., and C.T. conceived this study. A. Pileri, A.M.G., and C.T. were the principal investigators. M.L., F.B., U.V., and I.M. were members of the steering committee. M.L., F.B., U.V.,C.P., A.R., A. Pulsoni, M.M., A.M.L., A.O., A.G., E.P., D.R.S., V.C., F.D.R., V.P., A.T., S.C., A.L., I.M., A.M.G., P.C., and C.T. were involved in patient enrollment and care. F.D.M. perfomed the analysis, M.L. was responsible for molecular analysis, and R.P. performed the statistical analyses. M.L. and C.T. supervised the analyses and wrote the manuscript. F.D.M., F.B., U.V., C.P., A.R., A. Pulsoni, M.M., A.M.L., A.O., A.G., E.P., D.R.S., V.C., F.D.R., V.P., A.T., S.C., A.L., I.M., and R.P. contributed to manuscript preparation. M.B. and C.T. provided critical organizational support. A. Pileri retired in 2002.
A list of the authors and institutions that contributed to this study is found on the Blood website; see the Supplemental Materials link at the top of the on-line article.
Conflict-of-interest disclosure: Roche Italy provided free rituximab for this study. M.L., C.T., A.M.G., and U.V. received research funds from Roche Italy and are in the speakers bureau from this company. M.L. received research funds from Amgen. All other authors declare no competing financial interests.
Correspondence: Marco Ladetto, Cattedra di Ematologia, Via Genova 3, 10126 Torino, Italy; e-mail: marco.ladetto@unito.it.




