Abstract
Background: Functional imaging with positron emission tomography using 2-[18F]fluoro-2-deoxy-D-glucose (FDG-PET) is an important tool in the staging of Hodgkin lymphoma (HL). FDG-PET enables quantitative information about the tumour metabolism, most commonly measured as the semiquantitative standardised uptake value (SUV). The aim of this study was to investigate if the level of FDG uptake varies between the different subtypes of HL.
Methods: Sixty consecutive patients with newly diagnosed HL were prospectively included in the protocol. At least one lymph node biopsy was obtained from each patient and all patients underwent an FDG-PET/CT scan along with other staging procedures. The highest SUV in each patient (SUVmax/total) and in each affected region or organ (SUVmax) was recorded. Differences in SUVmax between histopathological subgroups were analysed with independent-samples student’s t-test and one-way analysis of variance (ANOVA).
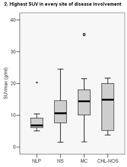
Results: 38 patients had nodular sclerosis (NS), 11 patients had mixed cellularity (MC), seven patients had nodular lymphocyte predominance (NLP) and four patients had classical HL, not otherwise specified (CHL-NOS). Mean SUVmax/total was 9.3 g/ml in NLP patients, 16.3 g/ml in NS patients, 20.8 g/ml in MC patients, and 19.5 g/ml in CHL-NOS patients (Figure 1). The difference between the histopathological subgroups was highly significant (ANOVA, p = 0.011). Out of 780 potential sites of disease (600 lymph node regions plus 180 organs), 208 sites were affected with HL. Mean SUVmax was 8.3 g/ml in the 12 sites affected with NLP, 11.2 g/ml in the 147 sites affected with NS, 14.6 g/ml in the 36 sites affected with MC, and 13.1 g/ml in the 13 sites affected with CHL-NOS (ANOVA, p = 0.011, Figure 2). Mean SUVmax in sites with NS was significantly higher than in sites with NLP (t-test, p = 0.042) and significantly lower than in sites with MC (t-test, p = 0.011).
Conclusion: There is a significant difference in FDG/glucose uptake between the different histopathological subtypes of HL. The SUVs in NLP, NS and MC lymphomas are significantly different, while the uptake in CHL-NOS lymphomas resembles the uptake in MC lymphomas. SUV analysis is frequently used in situations where the qualitative evalutation of a site on FDG-PET is uncertain. In those situations, it is helpful to know that the level of uptake varies from subtype to subtype. Since the subtypes have different FDG metabolism, they should ideally be regarded separately in future studies of FDG-PET and FDG-PET/CT in HL.
1. Highest SUV anywhere in the body of each patient
1. Highest SUV anywhere in the body of each patient
Author notes
Corresponding author


This feature is available to Subscribers Only
Sign In or Create an Account Close Modal