Abstract
Wilms tumor gene WT1 is expressed at high levels in hematopoietic malignancies, such as leukemias and myelodysplastic syndromes (MDS), and in various kinds of solid tumors, including lung cancer, and it exerts an oncogenic function in these malignancies. IgM and IgG WT1 antibodies were measured by means of dot blot assay in 73 patients with hematopoietic malignancies (16 acute myeloid leukemia [AML], 11 acute lymphoid leukemia [ALL], 13 chronic myeloid leukemia [CML], and 33 MDS) and 43 healthy volunteers. Immunoglobulin IgM, IgG, and IgM+IgG WT1 antibodies were detected in 40 (54.8%), 40 (54.8%), and 24 (32.8%), respectively, of the 73 patients with hematopoietic malignancies, whereas 7 (16.2%), 2 (4.7%), and none of the 43 healthy volunteers had IgM, IgG, or IgM+IgG WT1 antibodies, respectively. Furthermore, immunoglobulin isotype class switching of WT1 antibodies from IgM to IgG occurred in conjunction with disease progression from refractory anemia (RA) to RA with excess of blasts (RAEB), and further to RAEB in transformation (RAEB-t) in MDS patients. These results showed that humoral immune responses against the WT1 protein could be elicited in patients with WT1-expressing hematopoietic malignancies, and they suggested that the helper T-cell responses needed to induce humoral immune responses and immunoglobulin isotype class switching from IgM to IgG were also generated in these patients. Our findings may provide new insight into the rationale for elicitation of cytotoxic T-cell responses against the WT1 protein in cancer immunotherapy using the WT1 vaccine.
Introduction
Wilms tumor gene, WT1, is responsible for the tumorigenesis of a childhood renal neoplasm, Wilms tumor, which is thought to arise as a result of the inactivation of both alleles of the WT1 gene.1,2 The WT1 gene has been considered a tumor-suppressor gene on the basis of findings such as intragenic deletions or mutations in Wilms tumor, germline mutations in patients with leukemia predisposition syndromes, and WT1-mediated growth suppression of Wilms tumor cells.3-7 This gene encodes a zinc finger transcription factor involved in tissue development, in cell proliferation and differentiation, and in apoptosis.8 The WT1 gene product represses the transcription of growth factor (platelet-derived growth factor α chain,9 colony-stimulating factor-1,10 and insulinlike growth factor–II [IGF-II]11) and growth factor receptor genes (IGF-IR12 andEGFR13), and the other genes (RAR-α,14 c-myb,15c-myc,16bcl-2,16ornithine decarboxylase,17 and N-myc18), whereas it activates the transcription of some genes (retinoblastoma suppressor-associated protein 46,19Dax-1,20 andbcl-221). Unlike tumor-suppressor genes such as Rb and p53 that are ubiquitously expressed, WT1 gene expression is restricted to a limited set of tissues, including gonads, uterus, kidney, mesothelium, and hematopoietic progenitors.22-24 WT1 knock-out mice have been shown to have defects in the urogenital system and to die at embryonic day 13.5, probably because of heart failure.25
The WT1 gene was originally defined as a tumor-suppressor gene, as mentioned earlier. However, we recently proposed that the wild-type WT1 gene performs an oncogenic rather than a tumor-suppressor function in leukemogenesis and tumorigenesis in various types of solid tumors on the basis of the following findings: (1) high expression of the wild-type WT1 gene in leukemias26-31 and various types of solid tumors, including ovarian tumors, Leydig cell tumors, mesothelioma, gastric cancer, colon cancer, lung cancer, and breast cancer23,32-43; (2) growth inhibition of leukemic44,45 and solid tumor cells41 by treatment with WT1 antisense oligomers; (3) promotion of cell growth, but blocking of cell differentiation, in the myeloid progenitor cell line 32D46 and in normal bone marrow myeloid cells47 as a result of constitutive WT1 gene expression caused by transfection with the wild-type WT1gene; and (4) WT1 expression detected in most 7,12-dimethylbenzanthracene-induced erythroblastic leukemias and a tendency for cells with high levels of WT1 expression to develop into leukemias.48
Stimulation in vitro of HLA-A2.1-positive or -A24.2-positive peripheral blood mononuclear cells with 9-mer WT1 peptides containing major histocompatibility complex (MHC) class 1 binding anchor motifs elicited WT1-specific cytotoxic T lymphocytes (CTLs).49-51 These CTLs specifically killed WT1-expressing tumor cells in an HLA class 1–restricted manner and inhibited colony formation by transformed CD34+ progenitor cells isolated from patients with CML.50 Similarly, immunization in vivo of mice with a 9-mer WT1 peptide containing anchor motifs for binding to MHC class I molecules52,53 or with WT1 plasmid DNA54elicited WT1-specific CTLs. The immunized mice rejected challenges with WT1-expressing tumor cells.52,54 These findings indicated that WT1 protein is an attractive, novel tumor antigen for cancer immunotherapy. Tumor antigens can be classified into 5 groups55 56: (1) cancer-testis antigens that are expressed in a range of different tumor types but not in normal tissues except testis (eg, MAGE and NY-ESO-1), (2) melanocyte differentiation antigens expressed in melanoma and normal melanocytes (eg, gp100 and tyrosinase); (3) antigens encoded by mutated normal gene (eg, p53 and ras); (4) self-antigens overexpressed in malignant tissues (eg, HER-2/neu); and (5) antigens derived from oncogenic viruses (eg, HPV and EBV). Thus, the WT1 protein was identified as a novel, overexpressed tumor antigen, falling into the fourth category. In vitro and in vivo evidence of cellular immune responses against the WT1 protein led to the possibility that humoral immune responses against the WT1 protein could be elicited in patients with WT1-expressing hematopoietic malignancies. Our study aimed to examine this possibility, and we report here that patients with WT1-expressing hematopoietic malignancies elicited humoral immune responses against the WT1 protein.
Patients, materials, and methods
Patients
Patients were collected at random, and sera and peripheral blood mononuclear cells (PBMCs) were collected with informed consent at the time of diagnosis from 73 patients with hematologic malignancies (16 acute myeloid leukemia [AML], 11 acute lymphoid leukemia [ALL], 13 chronic myeloid leukemia [CML] [7 in chronic phase, 5 in accelerated phase, and one in blast crisis], and 33 MDS). The 33 MDS patients included 12 with refractory anemia (RA), 11 with RA with excess of blasts (RAEB), and 10 with RAEB in transformation (RAEB-t). Normal control sera were obtained with informed consent from 43 healthy volunteers. Characteristics of the healthy volunteers and patients are summarized in Table 1. Sera were stored at −20°C until use.
Antibodies
WT180 is an affinity-purified rabbit polyclonal antibody raised against the protein containing 180 amino acids, mapping near the amino terminus of the human Wilms tumor protein (Santa Cruz Biotechnology, Santa Cruz, CA). Mouse anti-human WT1 protein monoclonal antibody 1B6 was raised against the exon 5 of human WT1 (PharMingen, San Diego, CA). Anti-His (C-term) monoclonal antibody was purchased from Invitrogen (Carlsbad, CA).
Reverse transcription–polymerase chain reaction for quantitation of WT1 expression levels
PBMCs were collected at the time of diagnosis, and RNA was prepared from PBMCs and converted into cDNA. Polymerase chain reaction (PCR) was performed for optimized cycles with a DNA thermal cycler as described previously.57 Expression level of theWT1 gene in K562 leukemic cells was defined as 1.0, and the WT1 expression level in the samples was shown relative to that in K562 cells.
Preparation of WT1 antigens for measurement of WT1 antibodies
DNA sequences corresponding to the truncated WT1 protein containing 1 to 294 (HWT3), 1 to 181 (HWT2), and 182 to 294 (HWT4) amino acid sequences were PCR amplified from plasmid vector DNA, pBluescriptII-WT1+/+, containing nonspliced, full-length WT1 cDNA, by using the following primers: 5′ primers, TTGAATTCAATGGGCTCCGACGTGCGG for HWT2 and HWT3, TTGAATTCAGATCCAATGGGCCAGCAG for HWT4; 3′ primers, TTGTCGACGAAGACACCGTGCGTGTG for HWT3 and HWT4, TTGTCGACCATGGGATCCTCATGCTT for HWT2. Resultant DNA fragments were cleaved at the 5′ and 3′ ends by EcoRI and SalI, respectively, and were cloned into the same restriction sites of plasmid vector pET-21b(+), which contains the C-terminal His-Tag sequences (Novagen, Madison, WI). Resultant plasmids were transfected into Escherichia coli XL1-blue, and the positive transformants were checked for an appropriate insert by means of restriction mapping and DNA sequencing. Plasmid DNA was then transfected into E coli BL21 (DE3) (Stratagene, La Jolla, CA) to produce the truncated recombinant WT1 protein.
E coli BL21 (DE3), carrying constructs of the truncated forms of the WT1 gene, were grown at 37°C to an A600 of 0.6 and then were incubated for 4 hours in the presence of 0.1 μM isopropyl-β-D-thiogalactoside to induce the truncated WT1 protein. Bacteria were harvested by centrifugation for 10 minutes at 6000g, resuspended in 4 mL (for 200 mL culture) buffer A (100 mM NaH2PO4; 10 mM Tris-HCl, pH 8.0) and stored at −80°C. After thawing the bacteria on ice, they were sonicated 3 times for 2 minutes and centrifuged for 10 minutes at 6000g. The pellet containing inclusion bodies was resuspended in buffer B (100 mM NaH2PO4, 10 mM Tris-HCl, pH 8.0, 300 mM NaCl, 6 M urea, 15 mM imidazole, 20 mM β-mercaptoethanol [ME]) and was incubated on ice for 1 hour with gentle swirling to denature the protein. The resultant solution was loaded onto a column containing nickel nitrilotriacetic agarose (Qiagen, Hilden, Germany), and the protein was allowed to bind. After washing with buffer C (buffer B containing 1% Tween 20 but without β-ME, pH 8.0), the truncated WT1 protein was eluted with 4 mL buffer D (buffer B containing 150 mM imidazole but without β-ME, pH 8.0). To allow the recombinant protein to be refolded, the eluate was placed in a Slide-a-Lyzer cassette (Pierce Chemical, Rockford, IL) and dialyzed overnight at 4°C against an excess of 20 mM Tris-HCl (pH 8.0) buffer. The recombinant protein was then concentrated with a Centricon-30 device (Millipore, Bedford, MA), and the protein concentration was measured with the Bradford method using a protein assay kit (Bio-Rad, Hercules, CA). Purity and specificity of the protein were checked by sodium dodecyl sulfate–polyacrylamide gel electrophoresis (SDS-PAGE) and Western blot analysis, and the protein was stored in 30% (vol/vol) glycerol at −80°C until use.
Dot blot assay of WT1 antibodies
Truncated WT1 protein was bound on nitrocellulose membrane Optitran (Schleicher & Schuell, Dassel, Germany) at a density of 2.5 μg/cm2 by incubation for 1 hour at room temperature. The membrane was then washed with phosphate-buffered saline (PBS), blocked for 2 hours in PBS containing 1% bovine serum albumin (BSA), and loaded onto a dot-blot apparatus (Schleicher & Schuell) according to the manufacturer's recommendations. Twenty microliters sera diluted 1:500 for IgM and 1:2500 for IgG with PBS containing 1% BSA and 0.1% Tween 20 were applied to wells and incubated for 1 hour at room temperature. After it was washed with PBS, the membrane was reacted with horseradish peroxidase (HRP)-conjugated goat anti-human IgM antibody (ICN Pharmaceuticals, Cleveland, OH) for the detection of IgM isotype of the WT1 antibodies or with HRP-conjugated rabbit anti-human IgG antibody (ICN Pharmaceuticals) for the detection of IgG isotype of the WT1 antibodies, in PBS containing 1% BSA for 1 hour at room temperature. After intensive washing with PBS, the membrane was incubated with the substrate solution Renaissance (NEN Life Science Products, Boston, MA) for 1 minute and exposed to Hyperfilm MP (Amersham Pharmacia Biotech, Buckinghamshire, England). Densities of dot blots were measured as densitometric units with a computerized scanning analyzer system (Molecular Dynamics, Sunnyvale, CA), and the densitometric unit was considered equivalent to an antibody titer. Each value shown represents an average of at least 2 experiments.
Statistics
Cut-off values of WT1 antibody were determined at 600 and 500 densitometric units for IgM and IgG WT1 antibodies, respectively, on the basis of receiver-operating characteristic plots.58Fisher exact test was used for the calculation of differences in detection rates of WT1 antibodies between the 2 groups. The Student t test and Welch analysis of variance were used for the calculation of differences in WT1 antibody densitometric units between 2 equal variances and between 2 unequal variances, respectively. Linear regression coefficient (r) was used for evaluation of the correlation between WT1 antibody densitometric units and either WT1 expression levels or patient ages. Fisher exact test was used for evaluation of the correlation between the presence of WT1 antibodies and the sex, clinical performance, and outcome of each patient. Statistical analysis was performed by JMP software (SAS Institute, Cary, NC).
Results
Establishment of dot blot assay for measurement of WT1 antibodies
Truncated recombinant WT1 proteins purified by metal chelate affinity chromatography were analyzed by SDS-PAGE. As shown in Figure1B, the truncated recombinant WT1 proteins HWT3, HWT2, and HWT4 were electrophoresed to each molecular weight expected from the amino acid sequences, confirming an appropriate size of each WT1 protein.
Structures and antigenicities of truncated recombinant WT1 protein.
(A) Structures of the whole WT1 protein and of the His-tagged truncated recombinant WT1 protein HWT3 that was used as a WT1 antigen to detect WT1 antibodies. (B) SDS-PAGE analysis of truncated recombinant WT1 proteins. Lanes 1, 3, and 5: lysate of induced bacteria containing HWT2, HWT3, and HWT4, respectively. Lanes 2, 4, and 6: affinity-purified HWT2, HWT3, and HWT4, respectively. (C) Truncated recombinant WT1 proteins HWT3, HWT2, and HWT4 were reacted on a nitrocellulose membrane with anti-WT1 polyclonal antibody, WT180 (1), anti-WT1 monoclonal antibody against exon 5, 1B6 (2), or anti-His-tag antibodies (3), and dot spots were visualized as described in “Patients, materials, and methods.”
Structures and antigenicities of truncated recombinant WT1 protein.
(A) Structures of the whole WT1 protein and of the His-tagged truncated recombinant WT1 protein HWT3 that was used as a WT1 antigen to detect WT1 antibodies. (B) SDS-PAGE analysis of truncated recombinant WT1 proteins. Lanes 1, 3, and 5: lysate of induced bacteria containing HWT2, HWT3, and HWT4, respectively. Lanes 2, 4, and 6: affinity-purified HWT2, HWT3, and HWT4, respectively. (C) Truncated recombinant WT1 proteins HWT3, HWT2, and HWT4 were reacted on a nitrocellulose membrane with anti-WT1 polyclonal antibody, WT180 (1), anti-WT1 monoclonal antibody against exon 5, 1B6 (2), or anti-His-tag antibodies (3), and dot spots were visualized as described in “Patients, materials, and methods.”
The truncated WT1 protein HWT3, consisting of 294 amino acids of the N-terminus of the WT1 protein, was reacted with an anti-WT1 polyclonal antibody, WT180, raised against the WT1 peptide containing sequences corresponding to 180 amino acids in length and mapping near the N-terminus of the WT1 protein, or it was reacted with anti-WT1 monoclonal antibody 1B6 raised against exon 5 of the WT1 protein. As shown in Figure 1C, HWT3 reacted with the anti-WT1 antibodies, whereas HWT2 reacted with only WT180 and HWT4 reacted with only 1B6. These results confirmed the antigenicity of the truncated WT1 proteins HWT3, HWT2, and HWT4. To detect a broader range of WT1 antibodies in patient sera, the truncated WT1 protein HWT3 was used as a WT1 antigen to detect WT1 antibodies.
To confirm the specificity of the dot blot assay used to measure WT1 antibodies, the inhibition assay was performed in the presence of the truncated WT1 protein, HWT3, used as an antigen for the detection of WT1 antibodies. As shown in Figure 2, reactivity to the WT1 antigen—of patient serum containing a high titer of IgG WT1 antibodies and of anti-WT1 polyclonal antibody WT180—was inhibited in a dose-dependent manner by the addition of HWT3, but not by that of human serum albumin or human transferrin. On the other hand, the reactivity of patient serum not containing WT1 antibodies was not influenced by the addition of HWT3. Reactivity to the WT1 antigen of patient serum containing a high titer of IgM WT1 antibodies was also inhibited, in a dose-dependent manner, by the addition of HWT3 (data not shown). These results confirmed that the dot blot assay used here could specifically measure antibodies against the WT1 protein.
Specific inhibition of dot blot assay by the addition of the truncated WT1 protein HWT3.
Dot blot assay was performed for a positive (black filled squares, empty squares, or gray filled squares) or negative (black filled diamonds, empty diamonds, or gray filled diamonds ) serum for IgG WT1 antibodies in the presence of increasing amounts of the truncated WT1 protein, HWT3 (closed symbols), human serum albumin (open symbols), or human transferrin (shaded symbols). Anti-WT1 polyclonal antibody, WT180 (black filled triangles, empty triangles, and gray filled triangles), was used as a positive control.
Specific inhibition of dot blot assay by the addition of the truncated WT1 protein HWT3.
Dot blot assay was performed for a positive (black filled squares, empty squares, or gray filled squares) or negative (black filled diamonds, empty diamonds, or gray filled diamonds ) serum for IgG WT1 antibodies in the presence of increasing amounts of the truncated WT1 protein, HWT3 (closed symbols), human serum albumin (open symbols), or human transferrin (shaded symbols). Anti-WT1 polyclonal antibody, WT180 (black filled triangles, empty triangles, and gray filled triangles), was used as a positive control.
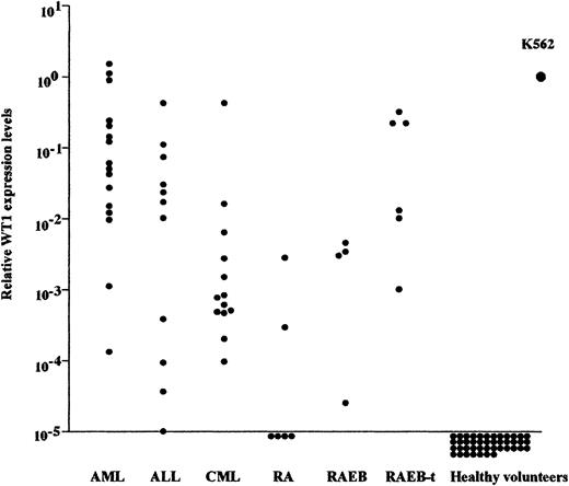
WT1 expression in patients with hematopoietic malignancies
WT1 expression levels in PBMCs were quantified by means of quantitative reverse transcription (RT)-PCR (Figure3). In 52 (92.9%) of 56 patients with hematopoietic malignancies (16 AML, 11 ALL, 13 CML, and 16 MDS), WT1 expression was detected, though the range of WT1 expression levels was broad. On the other hand, WT1 expression was not detected in any of 43 healthy volunteers. In MDS, WT1 expression levels increased in parallel with disease progression from RA to RAEB and further to RAEB-t. These results confirmed our previous reports.28,31 57
WT1 expression levels in PBMCs from patients with hematopoietic malignancies.
WT1 expression level in K562 leukemic cells was defined as 1.0 and the WT1 expression level in the sample was relatively shown compared to that in K562 cells. WT1 expression levels were measured in 56 of 73 patients.
WT1 expression levels in PBMCs from patients with hematopoietic malignancies.
WT1 expression level in K562 leukemic cells was defined as 1.0 and the WT1 expression level in the sample was relatively shown compared to that in K562 cells. WT1 expression levels were measured in 56 of 73 patients.
Detection of WT1 antibodies in sera from patients with hematopoietic malignancies
IgM or IgG WT1 antibodies were examined by means of dot blot assay for the 73 patients with hematopoietic malignancies (16 AML, 11 ALL, 13 CML, and 33 MDS) and 43 healthy volunteers (Table2, Figures4 and5). In 40 (54.8%) of 73 patients with hematopoietic malignancies, IgM WT1 antibodies were detected, whereas IgM WT1 antibodies were detected in 7 (16.2%) of the 43 healthy volunteers (Table 2, Figure 4A). Detection rates of the IgM WT1 antibodies (P = .0001) and densitometric units of IgM WT1 antibodies (P < .0001) were significantly higher in patients with hematopoietic malignancies than in healthy volunteers. When IgM WT1 antibody densitometric units in 4 types of hematopoietic malignancies were individually compared with those in healthy volunteers, the densitometric units in patients with hematopoietic malignancies, except for ALL, were significantly higher than those in healthy volunteers.
Detection of WT1 antibodies in patients with hematopoietic malignancies.
(A) Detection of IgM isotype of WT1 antibodies. Closed and open circles represent patients with IgM WT1 antibodies alone and with IgM+IgG WT1 antibodies, respectively. The longitudinal axis represents densitometric units of the IgM isotype of WT1 antibodies. (B) Detection of IgG isotype of WT1 antibodies. Closed and open circles represent patients with IgG WT1 antibodies alone and with IgG+IgM WT1 antibodies, respectively. The longitudinal axis represents densitometric units of the IgG isotype of WT1 antibodies.
Detection of WT1 antibodies in patients with hematopoietic malignancies.
(A) Detection of IgM isotype of WT1 antibodies. Closed and open circles represent patients with IgM WT1 antibodies alone and with IgM+IgG WT1 antibodies, respectively. The longitudinal axis represents densitometric units of the IgM isotype of WT1 antibodies. (B) Detection of IgG isotype of WT1 antibodies. Closed and open circles represent patients with IgG WT1 antibodies alone and with IgG+IgM WT1 antibodies, respectively. The longitudinal axis represents densitometric units of the IgG isotype of WT1 antibodies.
Immunoglobulin isotype class switching of WT1 antibodies IgM to IgG in conjunction with disease progression of MDS from RA to RAEB-t.
(A) IgM and IgG WT1 antibody levels were shown by open and closed bars, respectively. Bars under the horizontal line represent that WT1 antibody was below cut-off levels. (B) WT1 antibody levels in 12 RA, 11 RAEB, and 10 RAEB-t patients were statistically analyzed.
Immunoglobulin isotype class switching of WT1 antibodies IgM to IgG in conjunction with disease progression of MDS from RA to RAEB-t.
(A) IgM and IgG WT1 antibody levels were shown by open and closed bars, respectively. Bars under the horizontal line represent that WT1 antibody was below cut-off levels. (B) WT1 antibody levels in 12 RA, 11 RAEB, and 10 RAEB-t patients were statistically analyzed.
IgG WT1 antibodies were also examined in the same patients who were examined for IgM WT1 antibodies (Table 2, Figure 4B). In 40 (54.8%) of the 73 patients with hematopoietic malignancies, IgG WT1 antibodies were detected, but they were detected in only 2 (4.7%) of the 43 healthy volunteers. Detection rates of the IgG WT1 antibodies (P = .0001) and densitometric units of IgG WT1 antibodies (P < .0001) were significantly higher in patients with hematopoietic malignancies than in healthy volunteers. When the IgG WT1 antibody densitometric units were analyzed according to the disease types of hematopoietic malignancies, the densitometric units were significantly higher in patients with 3 types of hematopoietic malignancies (AML, CML, and MDS, but not ALL) than in healthy volunteers.
Production of WT1 antibodies of IgM and IgG isotypes showed a striking contrast between patients with hematopoietic malignancies and healthy volunteers. Twenty-four (32.8%) of the 73 patients produced WT1 antibodies of IgM and IgG isotypes, whereas none of the 43 healthy volunteers did so simultaneously. Noteworthy is that 4 patients (2 AML, 2 MDS) with the highest densitometric units of IgG WT1 antibodies simultaneously had IgM WT1 antibodies and that 6 (37.5%) of 16 AML patients, 4 (30.7%) of 13 CML patients, and 14 (42.4%) of 33 MDS patients simultaneously produced IgM and IgG WT1 antibodies, whereas none of 11 ALL patients simultaneously produced both isotypes of WT1 antibodies.
No correlation was found between the WT1 antibody densitometric units and either WT1 expression level or patient age or between the presence of WT1 antibodies and patient sex, clinical performance, and outcome (complete remission rate and survival) (data not shown).
Disappearance of WT1 antibodies in continuous complete remission of leukemia
WT1 antibodies were measured at time of diagnosis and in continuous complete remission (CCR) in 4 leukemia patients (Table3). In all these patients, relatively high densitometric units of WT1 antibodies detected at the time of diagnosis became undetectable in CCR. Patients maintained CCR for 3.1 to 5.5 years, had normal levels of serum IgM, IgG, and IgA, and were not treated with immunosuppressive drugs at the time of examination. These findings indicated that the patients had recovered from immunosuppression caused by intensive chemotherapy or allogeneic bone marrow transplantation (allo-BMT). They also suggested the possibility of correlation between leukemic tumor burden and production of WT1 antibodies.
Immunoglobulin isotype class switching of WT1 antibodies from IgM to IgG in conjunction with disease progression of myelodysplastic syndromes
IgM and IgG WT1 antibodies were measured in sera from 33 patients with MDS (12 RA, 11 RAEB, and 10 RAEB-t) (Figure 5). In RA, IgM WT1 antibodies were detected in 9 of 12 patients, and in 4 of the 9 patients with the IgM WT1 antibodies, the densitometric units were comparatively high. In contrast, IgG WT1 antibodies were not detectable in 7 of 12 RA patients. As for RAEB, IgM and IgG WT1 antibodies were detected in 9 and 9, respectively, of the 11 patients. IgM WT1 antibody densitometric units were lower than those in RA patients, but IgG WT1 antibody densitometric units were higher. The picture for RAEB-t was strikingly different from that in RA. Three of 10 patients had low densitometric units of IgM WT1 antibodies, whereas 9 of 10 patients produced high densitometric units of IgG WT1 antibodies. These findings indicated that immunoglobulin isotype class switching of WT1 antibodies from IgM to IgG occurred in conjunction with the disease progression of MDS from RA to RAEB-t by way of RAEB.
Discussion
We reported here humoral immune responses against WT1 protein in patients with leukemia or MDS. WT1 antibodies were detected in 57 (78.1%) of 73 patients with hematopoietic malignancies but in only 9 (20.9%) of 43 healthy volunteers whose titers were significantly lower than those of the patients. Concerning the production of the IgG isotype of WT1 antibodies, 40 (54.8%) of the 73 patients produced IgG WT1 antibodies, but only 2 (4.7%) of the 43 healthy volunteers did. A striking contrast between patients and healthy volunteers was found in the simultaneous production of IgM and IgG WT1 antibodies, which was detected in 24 (32.8%) of the 73 patients but in none of the volunteers. In other words, production of the IgG isotype of WT1 antibodies was frequent in patients with hematopoietic malignancies but rare in healthy volunteers, and the simultaneous production of IgM and IgG WT1 antibodies was limited to the patients. This suggests that strong and persistent stimulation by the WT1 antigen, which usually occurs in patients with a large amount of leukemic cells, is needed to generate immunoglobulin isotype class switching from IgM to IgG WT1 antibodies. Thus, detection of the IgG isotype of WT1 antibodies, especially of the simultaneous presence of the IgM and IgG isotypes, may indicate morbidity and suggests the presence of WT1-expressing leukemia cells. In 4 of 6 RA patients who were examined for WT1 expression, WT1 expression levels in PBMCs were below detection limits, whereas IgM WT1 antibodies were detected in 5 of the 6 RA patients. This suggests that weak but persistent stimulation by a small amount of WT1-expressing leukemia cells, which existed in bone marrow of the RA patients, elicited IgM humoral immune responses. A recent study found that WT1 antibodies were directed against the N-terminus portion of the WT1 protein in 3 of 18 patients with AML, whereas no WT1 antibodies were detected in the 2 normal control sera tested.53 These results and our data presented here showed that the WT1 protein could give rise to humoral immune responses.
We previously reported that in vivo immunization of C57BL/6 mice (MHC class 1, H-2Db) with the 9-mer WT1 peptide Db126, which has anchor motifs needed for binding to H-2Db molecules and in fact has relatively high levels of binding affinity to the molecules, elicited CTLs against the WT1 protein, resulting in the rejection of challenges from WT1-expressing tumor cells.52 We also reported that an intramuscular injection of the plasmid DNA containing full-sized WT1 cDNA into C57BL/6 mice generated CTLs against the WT1 protein and that the immunized mice rejected WT1-expressing tumor cell challenges.54 Recently, Gaiger et al53reported that immunization of C57BL/6 mice with the WT1 peptides containing motifs for binding to either MHC class I or class II elicited WT1-specific CTLs or WT1-specific helper T cell and WT1 antibody responses, respectively. Furthermore, we49 and others50,51 reported that in vitro stimulation with 9-mer WT1 peptides of human PBMCs from HLA–A2.1-positive49,50or HLA–A24.2-positive donors51 generated CTLs against the WT1 peptides and that these CTLs lysed WT1-expressing tumor cells in an HLA-restricted manner and inhibited colony formation by transformed CD34+ progenitor cells from patients with CML.50 Thus, the previous results and our data presented here demonstrated that the WT1 protein has great potential for eliciting humoral and cellular immune responses.
Of patients with hematopoietic malignancies, 54.8% had IgG WT1 antibodies. Because immunoglobulin isotype class switching from IgM to IgG generally requires T-cell help, T-cell immune responses against WT1 protein should have occurred in the patients with IgG WT1 antibodies. In MDS, disease generally progresses from RA to RAEB and further to RAEB-t toward overt leukemia. Our study clearly demonstrates that immunoglobulin isotype class switching of WT1 antibodies from IgM to IgG occurs in conjunction with the disease progression of MDS. A previous study of ours57 and the results presented here showed a significant increase in WT1 expression levels in parallel with the disease progression from RA to RAEB and further to RAEB-t. Therefore, it is likely that the persistent or strong antigenic stimulation by the WT1 protein in patients with RAEB-t, compared to that in patients with RA, promoted immunoglobulin isotype class switching of WT1 antibodies from IgM to IgG. Our current findings strongly indicate that T-cell immune responses against the WT1 protein to help immunoglobulin isotype class switching of WT1 antibodies occur in patients with leukemia and MDS. This also suggests that T-cell immune responses such as CTL induction may occur in these patients as well, thus providing a new rationale for immunotherapy for leukemia and MDS patients by vaccination with the WT1 protein or peptides.
NY-ESO-1, a member of the cancer-testis family of antigens, is expressed in a subset of a broad range of different human tumor types.59 Humoral and cellular immune responses against NY-ESO-1 protein were simultaneously assayed in patients with NY-ESO-1–expressing tumors.60 CD8+ T-cell responses to HLA-A2–restricted NY-ESO-1 peptides were detected in 10 of 11 patients with the NY-ESO-1 antibody, but not in patients lacking the antibody or with NY-ESO-1–negative tumors. These findings indicate a clear correlation between humoral and cellular immune responses. Therefore, it seems to be a reasonable assumption that WT1 antibody–positive patients with hematopoietic malignancies simultaneously elicit CD8+ T-cell immune responses against the WT1 protein. Measurement of WT1 antibodies thus may be useful for the evaluation of patients with hematopoietic malignancies who are candidates for CD8+ T cell–mediated immunotherapy targeting the WT1 protein.
Tolerance to self-peptides has been well documented. It can be induced by the deletion of self-reactive T cells in the thymus61and by the deletion or exhaustion of such cells in the periphery.62 Self-reactive T cells that have escaped the deletion are functionally anergized or silenced by the down-regulation of coreceptor molecules.63,64 In classical immunology, therefore, a self-protein, WT1, is thought to become tolerant. Increasing evidence, however, prompted us to accept that a large quantity of antigenic determinants of the self-proteins did not induce self-tolerance and thus that a substantial number of self-reactive clones existed in healthy persons and have the potential to elicit immune responses directed against tumors. Anatomic seclusion of potentially self-reactive T-cell clones65 or simple ignorance of target cells by the T-cell clones66-68 can induce tolerance to self-proteins. If the self-proteins are not expressed at sufficient levels at the time and place of tolerance induction, they probably can break tolerance when they are expressed at relatively high levels. Because the WT1 protein is highly expressed in leukemias and MDS, the WT1 self-protein may be able to break immune tolerance to it.
In 4 patients with acute leukemia whose IgM and IgG antibody densitometric units were measured at the time of diagnosis and in CCR, the WT1 antibody densitometric units were reduced below the cutoff values in CCR. These findings suggest a relationship between the tumor burden of WT1-expressing leukemia cells and the production of WT1 antibodies. It is likely that a large amount of WT1-expressing leukemic cells at the time of diagnosis promoted the production of WT1 antibodies, but stimulation to produce WT1 antibodies was reduced or discontinued by the reduction in or disappearance of leukemic cells after CCR had been achieved. Therefore, measurement of WT1 antibodies may be useful to determine whether patients have residual leukemic cells that will stimulate the production of the WT1 antibodies. In this context, it should be noted that p53 antibodies are detectable at high frequencies in patients with various types of cancer, including lung cancer,69 and that in a lung cancer patient with high levels of p53 antibodies, a drop in these was observed during treatment.70 This drop was associated with the patient's clinical and radiologic response to treatment. This observation shows the same clinical significance as our finding of a relationship between WT1 antibodies and leukemic tumor burden. This may indicate the possibility of extending the clinical application of our findings to the early diagnosis of leukemia relapse.
A proportion of patients with MDS eventually progresses to overt leukemia, so that early prediction of leukemic transformation is one of the most important aspects of effective treatments of this disease. However, until recently, it remained difficult to predict leukemic transformation at molecular levels. We recently demonstrated that leukemic transformation of MDS could be predicted by means of quantitation of WT1 expression levels in PBMCs.57 This represented the first success in prediction of leukemic transformation of MDS at molecular levels. In the study reported here, we showed immunoglobulin isotype class switching from IgM to IgG of WT1 antibodies in conjunction with disease progression to leukemic transformation in MDS. Therefore, monitoring of IgM and IgG WT1 antibody titers may be useful for the early prediction of leukemic transformation in MDS.
A correlation has been established between the tumor burden of leukemic cells and the production of WT1 antibodies. This suggests the possibility that the onset of leukemia can be diagnosed earlier by measuring WT1 antibodies, especially of the IgG isotype. Similarly, it is suggested that p53 and Her-2/neu antibodies may be useful for the early detection of cancer,71 72 given that p53 antibodies are produced as a result of the accumulation of the p53 protein caused by point mutations and given that Her-2/neu antibodies resulted from the overexpression of Her-2/neu protein in cancer cells. Further studies to address this issue should be of interest and importance.
No correlation between the existence of WT1 antibodies at the times of diagnosis and prognosis could be established in this study because the patients were differently treated with chemotherapy alone or allo-BMT, though most were treated with allo-BMT, and because the observation period was still short. As for the association between p53 antibodies and prognosis in breast cancer, 2 studies found an association between p53 antibodies and short survival time, one study did not find any association, and another study found an association with good survival.69 Thus, the relationship between the existence of antibodies against WT1 or p53 protein and prognosis remains a matter of conjecture.
It is unknown why antibodies against the WT1 protein were detected in healthy volunteers, but possible explanations may be that the volunteers were in an autoimmune state or had humoral immune responses against latent WT1-expressing cancers, including hematopoietic malignancies. Follow-up of healthy volunteers with WT1 antibodies should be interesting and important.
We thank Tsuyomi Yajima, Aya Ofukata, and Mariko Yamamoto for preparation of the manuscript and Machiko Mishima for skillful technical assistance.
The publication costs of this article were defrayed in part by page charge payment. Therefore, and solely to indicate this fact, this article is hereby marked “advertisement” in accordance with 18 U.S.C. section 1734.
References
Author notes
Haruo Sugiyama, Department of Clinical Laboratory Science, Osaka University Medical School,1-7, Yamada-Oka, Suita City, Osaka 565-0871, Japan; e-mail: sugiyama@sahs.med.osaka-u.ac.jp.









