Abstract
Thrombocytopenia, often severe, occurs in 1% to 2% of patients given the fibrinogen receptor antagonist abciximab, a chimeric Fab fragment containing murine specificity-determining and human framework sequences. The cause of this complication has not yet been defined. Studies of 9 patients who developed profound thrombocytopenia (platelets <10 × 109/L [10 000/μL]) within a few hours of being given abciximab a second time showed that each had a strong immunoglobulin G (IgG) antibody that recognized platelets sensitized with abciximab. Five patients also had IgM antibodies. IgG antibodies reactive with abciximab-coated platelets were also found in 77 (74%) of 104 healthy subjects. However, the patient antibodies could be distinguished from “normal” ones in 2 ways: (1) only the patient antibodies reacted preferentially with platelets sensitized with the intact monoclonal antibody 7E3 from which the murine sequences in abciximab are derived; and (2) the “normal” antibodies could be inhibited by Fab fragments derived from normal human IgG, whereas the patient antibodies were relatively resistant to this treatment. The findings suggest that antibodies from the patients are specific for murine sequences in abciximab and are capable of causing life-threatening thrombocytopenia upon injection of this drug. The antibodies commonly found in healthy subjects are specific for the papain cleavage site of any Fab fragments and, although they react with abciximab-coated platelets, appear not to cause significant thrombocytopenia. It may be possible to identify patients at risk for developing thrombocytopenia if given abciximab by screening for antibodies that recognize 7E3-coated platelets.
Introduction
Agents specific for platelet fibrinogen receptor (GPIIb/IIIa, αIIb/β3 integrin) that block fibrinogen binding (fibrinogen receptor antagonists) offer a promising new approach to antithrombotic therapy.1-3 Abciximab, a chimeric Fab fragment containing specificity-determining sequences from a murine monoclonal antibody (7E3) specific for GPIIb/IIIa,3-5 has been shown to reduce significantly the incidence of urgent repeat percutaneous coronary intervention and coronary artery bypass surgery in patients undergoing percutaneous transluminal coronary angioplasty (PTCA)2,6-8 and was the first fibrinogen receptor antagonist to be approved for clinical use. In each trial of abciximab and in subsequent clinical experience, about 0.5% to 1.0% of patients experienced severe (platelets < 50 × 109/L [50 000/μL]) or profound (platelets < 20 × 109/L [20 000/μL]) thrombocytopenia within a few hours of receiving the drug, usually given in the form of a bolus infusion followed by a 12-hour intravenous drip.9-11 In patients given abciximab a second time, thrombocytopenia occurred about 4 times as often as after first exposure12,13 and more often when the interval between exposures was only 2 to 3 weeks.12 Severe thrombocytopenia can have serious consequences when the function of platelets remaining in the circulation is impaired by a fibrinogen receptor antagonist.
The pathogenesis of abciximab-associated thrombocytopenia is not understood. Its acute onset and its higher incidence in patients exposed to the drug a second time suggests that antibodies may be responsible, but there is no published evidence to support this possibility, and alternative, nonimmune mechanisms have been proposed to explain this complication.14 15 We studied 9 patients who developed severe or profound thrombocytopenia after being given abciximab a second time and obtained evidence that antibodies, presumably induced by first exposure to this drug, were the cause of platelet destruction in these individuals.
Materials and methods
Platelet isolation
Platelets were isolated from blood anticoagulated with acid citrate dextrose anticoagulant and were suspended in isotonic, phosphate-buffered NaCl, pH 6.6, containing 0.2% bovine serum albumin (phosphate-buffered saline [PBS]) as described previously.16
Reactions of antibodies with abciximab-coated platelets
Abciximab was added to washed platelets suspended in PBS at a ratio of 0.7 μg abciximab per 1.6 × 107 platelets and was incubated for 20 minutes at room temperature. By measuring bound abciximab with a fluorescein isothiocyanate (FITC)–labeled goat antihuman immunoglobulin G (IgG) (H+L) chain reagent (Jackson Immunoresearch Laboratories, West Grove, PA) it was found that available GPIIb/IIIa receptors are saturated with abciximab under these conditions. The sensitized platelets were washed once in PBS and were suspended in PBS at a concentration of 1.6 × 109/L (1.6 × 106/μL). Ten-microliter aliquots of the sensitized platelets were added to wells of a 96-well polypropylene V-bottom microtiter plate (Nalge Nunc International, Naperville, IL) Forty microliters of patient serum was added to each well, and the mixture was incubated for 30 minutes at room temperature. A total of 150 μL PBS, pH 7.2, was then added to each well, and the trays were centrifuged at 2200 rpm in a swinging bucket rotor. The supernatants were removed by inverting the plates and tapping gently on absorbent paper. The platelet buttons were then washed twice with 200 μL PBS. To each button was added 100 μL of a 1:100 dilution of FITC-labeled goat F(ab′)2 antibody specific for human IgG or IgM Fc domains (Jackson Immunoresearch Laboratories). The platelet buttons were resuspended in this reagent and incubated for 20 minutes at room temperature in the dark. A total of 100 μL PBS was then added, and the mixture was centrifuged for 3 minutes at 2200 rpm. The supernatants were decanted, and the buttons were resuspended in 150 μL PBS and transferred to tubes containing 0.5 mL PBS for flow cytometric analysis. Platelet fluorescence intensity was recorded in a FACSCalibur analyzer (Becton Dickinson, Mountain View, CA) as previously described.16 17 A positive reaction was defined as a mean platelet fluorescence intensity (MFI) at least twice that of platelets processed identically except for the absence of abciximab. This value always exceeded the mean obtained with PBS or negative control serum by at least 3.0 SD. In preliminary studies, it was found that the FITC-labeled secondary probes (antihuman IgG or IgM Fc) do not recognize platelets sensitized with abciximab alone.
Reactions of patient antibodies with platelets sensitized with GPIIb/IIIa-specific murine monoclonal antibodies
IgG1 murine monoclonal antibodies AP3 specific for GPIIIa (from P. J. Newman, Blood Research Institute) and AP2 specific for the GPIIb/IIIa complex (from T. J. Kunicki, Scripps Institute, La Jolla, CA) were produced by the Monoclonal Antibody Core Laboratory of the Blood Research Institute. The IgG1 monoclonal 7E3 specific for the GPIIb/IIIa complex and the source of variable region sequences used to create abciximab4 was a gift from Centocor. Washed platelets in PBS at a concentration of 1.6 × 109/L (1.6 × 106/μL) were incubated with AP3 (30 μg/mL), AP2 (30 μg/μL), or 7E3 (20 μg/mL) for 20 minutes at room temperature. In preliminary studies using FITC-labeled goat antimouse IgG (Jackson Immunoresearch Laboratories), it was found that these quantities of the monoclonals were sufficient to saturate available GPIIb/IIIa sites. The platelets were washed once in PBS and were resuspended in PBS at a concentration of 1.6 × 109/L (1.6 × 106/μL). Patient and normal serum samples were incubated with 25% (final concentration) normal mouse serum (Sigma St. Louis, MO) for 20 minutes at room temperature to neutralize naturally occurring antibodies reactive with mouse IgG18-20 that were present in some samples. Binding of human antibodies to platelets coated with 7E3, AP2, or AP3 was determined by the same protocol used with abciximab-coated platelets.
Results
Clinical observations
Blood samples from 9 patients (6 men and 3 women aged 41 to 75 years, median 60 years) who developed acute, profound thrombocytopenia after being given abciximab a second time were studied (Table1). Each patient had undergone a second PTCA procedure with or without stent implantation for recurrence of coronary symptoms 2 to 15 weeks (median 3 weeks) after the first procedure. Patient 5 was known to have had a 30% decrease in platelets after first exposure to abciximab; the other patients did not experience a significant drop in platelet level after first exposure to the drug. All patients were given heparin before and for various times after each procedure. The platelet count was normal or near normal in all cases before treatment.
Thrombocytopenia was detected within 12 hours of the time abciximab infusion was begun (median 4 hours) and was profound, the platelet count nadir being 6 × 109/L (6000/μL) or less in all cases (Table 1). Two patients (nos. 1 and 9) exhibited symptoms of hypersensitivity soon after abciximab infusion was begun. Patient no. 1 experienced nausea, vomiting, and a drop in blood pressure after about 15 minutes, at which time the infusion was discontinued. For the next 3 days, she had gastrointestinal bleeding and required red cell transfusions. Patient no. 9 had a frank anaphylactic reaction after about 30 minutes of infusion that was treated successfully with supportive measures. However, mechanical ventilation was required for several days because of pulmonary dysfunction resulting from intrapulmonary hemorrhage. The other 7 patients had less severe bleeding symptoms, ranging from extensive petechial hemorrhages to oozing from venipuncture sites (Table 1).
All patients were given platelet transfusions, and 3 (nos. 1, 5, and 9) also received intravenous γ-globulin. Three patients (nos. 5, 6, and 7) achieved satisfactory increases in platelet levels after platelets were given. Two (nos. 3 and 4) responded only transiently and became profoundly thrombocytopenic again within 24 hours. No significant posttransfusion platelet increments were achieved in patient nos. 1 and 9 on repeated occasions. Seven patients achieved a platelet level of at least 100 × 109/L (100 000/μL) within 4 to 7 days. In patient nos. 1 and 9, recovery occurred after 1 week.
Because all patients were treated with unfractionated heparin during and for various periods of time after PTCA, heparin-induced thrombocytopenia was suspected in some cases. However, only serum from patient no. 6 gave positive results in a solid-phase enzyme-linked immunosorbent assay test in which complexes of heparin and platelet factor 4 are used as targets for antibody detection.21Although this assay is not absolutely specific for heparin-induced thrombocytopenia, it is extremely sensitive and a negative test argues strongly against that diagnosis.21-23
Each patient had an antibody that reacted with platelets sensitized with abciximab
When tested by flow cytometry, each patient's serum was found to contain IgG antibodies reactive with abciximab-coated platelets (Table2). Representative histograms are shown in Figure 1. Patient nos. 1 and 4 also had strong IgM antibodies, and patient nos. 3, 8, and 9 had weaker ones. Very weak IgM antibodies were detected in patient nos. 5, 6, and 7. Pretreatment samples were available from patient nos. 2, 3, and 9. In each case, an antibody was detected that was even stronger than the one found in the posttreatment sample. The drop in antibody strength after starting abciximab was especially pronounced in patient no. 9 (Table 2). IgG antibody titers in the posttreatment samples (obtained within 24 hours of the onset of thrombocytopenia) ranged from 1:16 (patient no. 2) to 1:640 (patient no. 4).
Reactions of patient sera against platelets sensitized with abciximab.
The strong IgG antibody from patient no. 1 (A) and the weaker one from patient no. 2 (B) reacted with abciximab-coated platelets but not with uncoated platelets.
Reactions of patient sera against platelets sensitized with abciximab.
The strong IgG antibody from patient no. 1 (A) and the weaker one from patient no. 2 (B) reacted with abciximab-coated platelets but not with uncoated platelets.
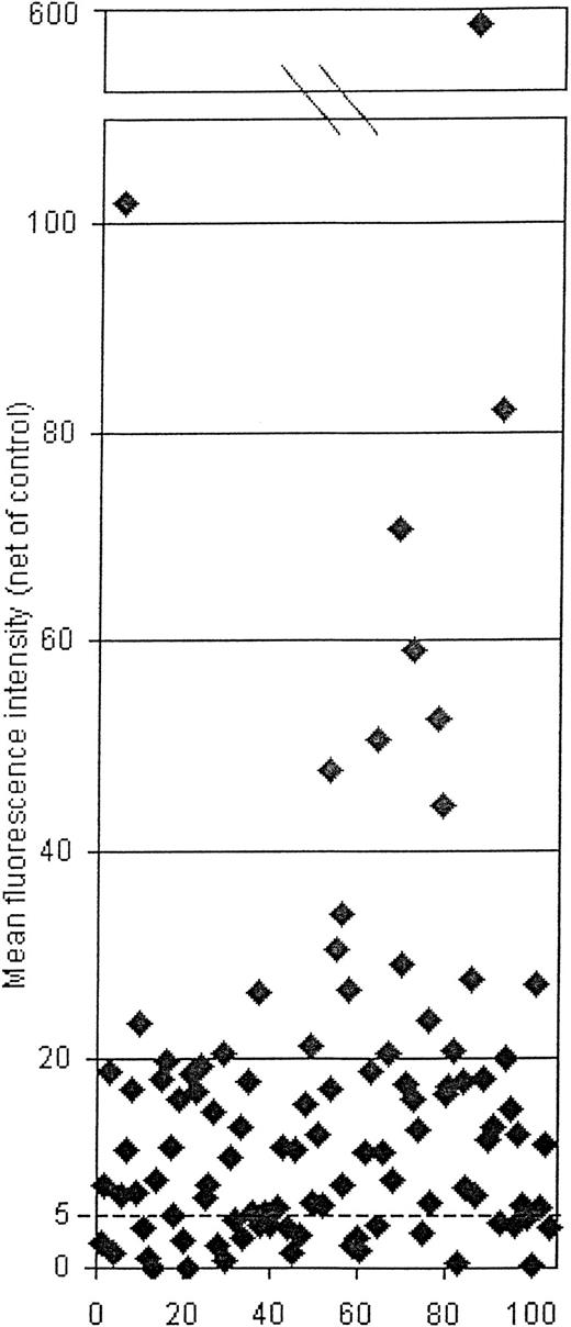
Antibodies reactive with abciximab-coated platelets were also found in serum from healthy individuals
IgG antibodies reactive at least weakly with abciximab-coated platelets were also found in 77 (74%) of 104 of serum samples from 104 randomly selected healthy subjects (Figure2). Two of the 77 also had weak IgM antibodies. In general, antibody activity found in normal serum was weaker than that found in patients. However, a few of the “normal” antibodies were as strong or stronger than those from the patients with abciximab-associated thrombocytopenia (Figure3).
Reactions of serum from 104 unselected healthy subjects against abciximab-coated platelets.
Values shown are MFI values obtained with abciximab-coated platelets minus the MFI obtained with uncoated platelets. A difference of 5.0 MFI units or more, indicating that the signal against abciximab-coated platelets was at least twice that obtained with uncoated platelets, was considered indicative of significant binding of IgG to the sensitized platelets. By this criterion, antibodies were present in 77 subjects (74%).
Reactions of serum from 104 unselected healthy subjects against abciximab-coated platelets.
Values shown are MFI values obtained with abciximab-coated platelets minus the MFI obtained with uncoated platelets. A difference of 5.0 MFI units or more, indicating that the signal against abciximab-coated platelets was at least twice that obtained with uncoated platelets, was considered indicative of significant binding of IgG to the sensitized platelets. By this criterion, antibodies were present in 77 subjects (74%).
Reactions of patient antibodies (left) and antibodies in 104 healthy subjects (right) against abciximab-coated platelets.
Values shown are MFI obtained with abciximab-coated platelets minus that obtained with uncoated platelets. Brackets depict mean ± 1 SD.
Reactions of patient antibodies (left) and antibodies in 104 healthy subjects (right) against abciximab-coated platelets.
Values shown are MFI obtained with abciximab-coated platelets minus that obtained with uncoated platelets. Brackets depict mean ± 1 SD.
The patient antibodies could be distinguished from those found in healthy subjects in 2 ways
Many healthy individuals have “naturally occurring” antibodies that recognize the C-terminus (papain cleavage site) of Fab fragments prepared from normal human IgG by digestion with papain.24-26 Because abciximab is produced by papain cleavage of a hybrid IgG molecule containing human IgG1 constant domains and murine (7E3) variable sequences,26 it seemed possible that either the patient or normal antibodies were specific for the papain cleavage site of abciximab. We therefore determined whether the antibodies identified in patients and healthy subjects could be inhibited by Fab fragments prepared from normal IgG. For these studies, antibody-containing sera, diluted to a point at which they produced a mean signal of about 25 arbitrary fluorescence units when tested against abciximab-coated platelets, were incubated with pooled normal human Fab fragments at a concentration of 500 μg/mL for 60 minutes before testing. As shown in Figure4, antibodies from 13 healthy subjects were inhibited by 70% to 98% (average 84.7%) by this treatment. In contrast, antibodies from the 9 patients were inhibited by 0% to 83% (average 36.3%). Two of the diluted patient antibodies (patients no. 4 and 7) behaved like antibodies from the healthy subjects, being inhibited by more than 80%, but the other 7 were only minimally affected. These findings suggested that the major antibody activity in patients no. 4 and 7 and in each of the 13 healthy subjects tested were mainly specific for IgG Fab fragments, whereas those present in the other 7 patients recognized a different target on abciximab or on GPIIb/IIIa.
Inhibition of patient antibodies (left) and antibodies from 13 healthy subjects (right) by soluble Fab fragments derived from pooled normal human IgG.
Seven of the 9 patient antibodies were inhibited by less than 50%, and 2 (from patient nos. 4 and 7) were inhibited by more than 80%. Antibodies from the 13 healthy subjects were inhibited by 68% to 98% (average 85%). Brackets depict mean ± 1 SD.
Inhibition of patient antibodies (left) and antibodies from 13 healthy subjects (right) by soluble Fab fragments derived from pooled normal human IgG.
Seven of the 9 patient antibodies were inhibited by less than 50%, and 2 (from patient nos. 4 and 7) were inhibited by more than 80%. Antibodies from the 13 healthy subjects were inhibited by 68% to 98% (average 85%). Brackets depict mean ± 1 SD.
It was then determined whether antibodies not inhibited by normal Fab fragments might recognize epitopes expressed on murine (Ig variable) sequences in abciximab by comparing the reactions of patient and normal antibodies against platelets saturated with the IgG1 murine monoclonal 7E3 (from which abciximab is derived) or IgG1 monoclonals AP3 and AP2, specific for other sites on GPIIIa and GPIIb/IIIa, respectively. Results were expressed as the ratio of the signal obtained with 7E3-coated platelets to that obtained with AP3- or AP2-coated platelets. As shown in Figure 5, serum from each of the 9 patients reacted more strongly with platelets sensitized with 7E3 than with those sensitized with AP3, yielding ratios (7E3:AP3) that ranged from 5.4 to 91.6 (mean 29.1). In contrast, antibodies from healthy subjects, including the one that gave the strongest reaction with abciximab-coated platelets (Figure 3), failed to discriminate between the 2 target monoclonals, yielding ratios ranging from 0.7 to 2.4 (mean 1.3) (P < .001). Essentially the same results were obtained when the study was repeated using platelets sensitized with 7E3 or AP2 (data not shown). These findings suggest that the patients who experienced thrombocytopenia had antibodies specific for 7E3 variable region sequences present in abciximab but not in AP3 or AP2. Reactions of serum from patients no. 4 and 7, whose diluted antibodies were largely inhibited by normal human Fab (Figure 4), can be explained by the presence of 2 antibodies, a high-titer one specific for IgG Fab and one with a lower titer specific for murine sequences in abciximab.
Reactions of 9 patient antibodies (left) and 13 antibodies from healthy subjects (right) against platelets saturated with monoclonal antibodies 7E3 and AP3.
Values shown are the ratios of MFI obtained with 7E3-coated platelets to that obtained with AP3-coated platelets (7E3:AP3). Reactions of the patient antibodies against 7E3-coated platelets were significantly stronger (up to 100 times) than those obtained with AP3-coated platelets (P < .001). In contrast, antibodies from the healthy subjects failed to discriminate between the 2 preparations. Similar results were obtained when monoclonal AP2 was substituted for AP3 (data not shown). Brackets depict mean ± 1 SD.
Reactions of 9 patient antibodies (left) and 13 antibodies from healthy subjects (right) against platelets saturated with monoclonal antibodies 7E3 and AP3.
Values shown are the ratios of MFI obtained with 7E3-coated platelets to that obtained with AP3-coated platelets (7E3:AP3). Reactions of the patient antibodies against 7E3-coated platelets were significantly stronger (up to 100 times) than those obtained with AP3-coated platelets (P < .001). In contrast, antibodies from the healthy subjects failed to discriminate between the 2 preparations. Similar results were obtained when monoclonal AP2 was substituted for AP3 (data not shown). Brackets depict mean ± 1 SD.
Discussion
Each of the 9 patients studied experienced profound thrombocytopenia within a few hours of receiving abciximab followed by a return of platelet levels to at least 100 × 109/L (100 000/μL) within 3 to 8 days. They were also treated with unfractionated heparin during and for up to 1 day after angioplasty, but a sensitive serologic assay for antibodies characteristic of heparin-induced thrombocytopenia was positive only in patient no. 6. Patient no. 6 had been given heparin 2 weeks earlier, and it is likely that his heparin-dependent antibody was stimulated by that exposure.27 A drop in the platelet level from normal to 6 × 109/L (6000/μL) would be extremely unusual in heparin-induced thrombocytopenia.23 However, it is possible that heparin sensitivity contributed to the thrombocytopenia in patient no. 6. “Thrombocytopenia” following abciximab treatment can be artifactual (pseudothrombocytopenia), being the result of clumping of platelets in blood collected in ethylenediaminetetraacetic acid anticoagulant through mechanisms not yet fully understood.28 29 However, pseudothrombocytopenia rarely leads to platelet counts as low as the ones observed in the subjects of this report. Moreover, it is not generally associated with bleeding, whereas the patients we studied had extensive petechial hemorrhages (all patients), bleeding from venipuncture sites (patients no. 2, 3, and 5), gastrointestinal hemorrhage requiring red cell transfusions (patient no. 1), and life-threatening intrapulmonary hemorrhage (patient no. 9). These considerations make it extremely unlikely that any of the patients studied had pseudothrombocytopenia.
Our finding that serum from each of the 9 patients contained IgG—and in 8 cases IgM antibodies that recognized abciximab-coated platelets—suggested that their thrombocytopenia might have been antibody mediated. However, similar but usually weaker antibodies were detected in a high percentage of healthy individuals (Figure 2). A partial distinction between patient and “normal” antibodies was obtained by showing that the “normal” antibodies, appropriately diluted, could be inhibited at least 65% by soluble Fab fragments derived from pooled human IgG, whereas all but 2 of the patient antibodies (patient nos. 4 and 7) were relatively resistant to this treatment (Figure 4). This suggested that the healthy subjects had naturally occurring antibodies specific for the papain cleavage site at the C-terminus of abciximab. IgM antibodies were identified in only 2 of 104 healthy subjects. The extent to which IgM antibodies detected in most of the patients contributed to platelet destruction requires further study.
A sharp distinction between the patient and “normal” antibodies was achieved by showing that each of the former reacted preferentially with platelets sensitized with monoclonal 7E3, whereas the latter reacted about equally well with platelets sensitized with monoclonals 7E3 and AP3 (Figure 5) or AP2, also IgG1 monoclonals specific for GPIIb/IIIa. Because 7E3 and abciximab share only the murine Ig variable region sequences incorporated into the hybrid abciximab molecule, it is likely that the patient antibodies recognize epitopes determined by these sequences. It has been suggested that binding of abciximab, and by implication 7E3, induces secondary conformational changes in the GPIIb/IIIa complex that could be immunogenic.30 31Therefore, an alternative explanation for our findings is that the patient antibodies recognize structural changes induced by abciximab in the GPIIb/IIIa heterodimer. Further studies are needed to distinguish between these 2 possibilities, but in either case our findings suggest that it may be possible to use platelets sensitized with 7E3 as targets to identify antibodies capable of causing profound thrombocytopenia.
The literature contains little information about the immunogenicity of abciximab. In early trials in which unmodified (nonchimeric) 7E3 Fab was used as an antiplatelet agent, human antimouse antibodies were produced by 15%,32 36%,33 and 52%34 of the recipients, leading to the suggestion that immunogenicity of the 7E3 Fab fragment might limit its therapeutic application.33 The chimeric Fab fragment was developed to overcome this problem. The effectiveness of this modification was confirmed in phase 1 clinical trials in which the immunogenicity of 7E3 Fab (87 patients) and abciximab (70 patients and 18 healthy subjects) was compared.26 In this study, 15 subjects (17%) treated with 7E3 Fab but only 6 (7%) treated with abciximab (c7E3 Fab) produced human antimouse antibodies, all of which were of the IgG class. In solid-phase assays, it was shown that the 15 antibodies made by patients given 7E3 Fab were mainly directed toward murine Ig variable sequences. In contrast, only 1 of the 6 antibodies made by individuals given abciximab had this specificity; the others recognized the C-terminus of Fab derived from human IgG1. It was suggested that the human (constant region) domains of abciximab modulate the immune response to the protein in such a way that the immunogenicity of the murine sequences is greatly diminished.26
In the study by Knight and coworkers,26 no conclusions could be reached as to whether antibodies specific for murine (variable region) sequences in abciximab might be more likely to cause thrombocytopenia than those specific for the C-terminus of Fab.26 However, a report by Christopolous is relevant to this question.35 In this study, abciximab was given for about 48 hours to 9 patients with stable angina, and platelet-associated IgG (PAIgG) was measured by flow cytometry. Within 24 hours of treatment, there was a variable but statistically significant rise in PAIgG that was accentuated several days after the infusion was terminated, despite an exponential fall in the amount of abciximab carried on the surface of circulating platelets. PAIgG returned to normal within 2 weeks, and none of the patients developed thrombocytopenia. The timing of the recruitment of IgG to the platelet surface suggested that some of the subjects studied had pre-existing antibodies that reacted with abciximab-coated platelets in vivo without causing thrombocytopenia. Support for this possibility was obtained by showing that 14 of 21 healthy subjects had naturally occurring IgG antibodies that reacted with abciximab-coated platelets in vitro and that 1 of the 21 had an antibody that recognized platelets coated with 7E3 Fab. In light of our findings, it seems likely that the naturally occurring antibodies identified by Christopolous in two thirds of his study group were specific for human IgG Fab. The results of his in vivo studies suggest that, although these ubiquitous Fab-specific antibodies are recruited to platelets following abciximab treatment, they do not cause thrombocytopenia. Clinical experience showing that significant thrombocytopenia is a rare complication of abciximab also supports this conclusion.
The observation of Knight and coworkers that only 1 (1.1%) of 88 individuals challenged with abciximab produced antibodies specific for murine variable sequences,26 together with our finding that each of 9 patients with abciximab-induced thrombocytopenia had antibodies with this apparent specificity, strongly suggests that these antibodies are capable of causing platelet destruction in vivo when abciximab is readministered. It is known that abciximab remains bound to circulating platelets in detectable quantities for up to 2 weeks after treatment, probably a consequence of platelet-to-platelet transfer of drug.5,35 Persistence of the drug in the circulation for this length of time would offer the immune system ample opportunity to process it and, on occasion, mount a humoral immune response against its murine components. We have initiated a prospective study to obtain a better estimate of how often antibodies potentially able to cause thrombocytopenia upon second exposure develop in patients given abciximab. Because severe thrombocytopenia appears to be more common when re-exposure occurs within 2 to 3 weeks,12 a determination of how long such antibodies persist in the circulation may be helpful in assessing the risk of thrombocytopenia upon re-exposure to the drug.
Our findings suggest that screening of patients about to receive abciximab a second time for antibodies that recognize its murine sequences could permit identification of patients at risk for developing profound thrombocytopenia. Severe thrombocytopenia also occurs in 0.5% to 1% of patients given abciximab for the first time.9-11 Our survey of 104 healthy subjects failed to identify naturally occurring antibodies with presumptive specificity for Ig variable sequences in 7E3. However, Christopolous identified one such antibody among 21 healthy individuals.35 Prospective studies are needed to determine whether persons who have naturally occurring antibodies specific for murine sequences in abciximab are at risk for thrombocytopenia when given the drug for the first time.
Supported by grants HL-13629 and HL-44612 from the National Heart, Lung, and Blood Institute and by a grant from Centocor, Malvern, PA.
The publication costs of this article were defrayed in part by page charge payment. Therefore, and solely to indicate this fact, this article is hereby marked “advertisement” in accordance with 18 U.S.C. section 1734.
References
Author notes
Brian Curtis, Technical Director, Platelet/Neutrophil Immunology Laboratory, The Blood Center of Southeastern Wisconsin, PO Box 2178, Milwaukee, WI 53201-2178; e-mail:brcurtis@bcsew.edu.




