Abstract
The flt3 ligand (FL) is a growth and differentiation factor for primitive hematopoietic precursors, dendritic cells, and natural killer cells. Human T lymphocytes express FL constitutively, but the cytokine is retained intracellularly within the Golgi complex. FL is mobilized from the cytoplasmic stores and its serum levels are massively increased during the period of bone marrow aplasia after stem cell transplantation (SCT). Signals that trigger the release of FL by T cells remain unknown. This study shows that interleukin (IL)-2, IL-4, IL-7, and IL-15, acting through a common receptor γ chain (γc), but not cytokines interacting with other receptor families, are efficient inducers of cell surface expression of membrane-bound FL (mFL) and secretion of soluble FL (sFL) by human peripheral blood T lymphocytes. The γc-mediated signaling up-regulated FL in a T-cell receptor-independent manner. IL-2 and IL-7 stimulated both FL messenger RNA (mRNA) expression and translocation of FL protein to the cell surface. Cyclosporin A (CsA) inhibited γc-mediated trafficking of FL at the level of transition from the Golgi to the trans-Golgi network. Accordingly, serum levels of sFL and expression of mFL by T cells of CsA-treated recipients of stem cell allografts were reduced approximately 2-fold (P < .01) compared to patients receiving autologous grafts. The conclusion is that FL expression is controlled by γc receptor signaling and that CsA interferes with FL release by T cells. The link between γc-dependent T-cell activation and FL expression might be important for T-cell effector functions in graft acceptance and antitumor immunity after SCT.
Introduction
T lymphocytes are central to the immune responses after allogeneic stem cell transplantation (SCT). Attack by donor T cells against recipient alloantigens may cause graft-versus-host disease.1 On the other hand, T cells can improve the transplantation outcome by preventing graft rejection and reducing the incidence of leukemic relapse.2 3 The mechanisms by which T cells promote engraftment and confer antitumor reactivity after SCT are only partly understood.
The interaction of interleukin (IL)-2 with the IL-2 receptor (IL-2R) plays an important role in regulating the magnitude and duration of T-cell–dependent immune responses.4 High-affinity IL-2R comprises subunits α, β, and the common cytokine receptor γ chain (γc), which is a shared component of receptors for IL-2, IL-4, IL-7, IL-9, and IL-15.5 Following binding of a ligand, Janus kinases Jak1 and Jak3 are recruited to the receptor complex and activated, Jak3 being the only signaling molecule known to associate with γc.6 The γc signaling is essential for proliferation and differentiation of T helper and cytotoxic cells into subsets with distinct cytokine profiles and defined effector functions.7,8 These cytokine patterns are also critical for the differentiation and maturation of other sentinel cells of the immune system, namely dendritic cells (DCs) and natural killer (NK) cells.9 Immunosuppressive (IS) drugs, cyclosporin A (CsA) and FK506, used in SCT for prophylaxis of allograft responses, suppress T-cell reactivity by disrupting the signaling pathway that couples an antigen-dependent T-cell receptor (TCR) stimulation to transcription of the genes for IL-2 and other cytokines.10 By blocking cytokine expression, IS drugs prevent unwanted immune responses, but also impair the recipient's immunity, thus increasing the risk of secondary neoplasm after SCT.11,12 Inadequate and unbalanced cytokine production is likely an underlying cause of inefficiency in the interactions between T cells, DCs, and NK cells required for antitumor defense.13
The flt3 ligand (FL) is a hematopoietic cytokine with a broad range of activities at early stages of hematopoiesis.14,15 In synergy with other hematopoietic growth factors, FL stimulates the self-renewal and proliferation of multipotent and lineage-committed progenitors.16 Remarkably, FL is important for the development of hematopoietic precursors into functionally mature DCs and NK cells.17,18 DC and NK cell numbers in the lymphoid organs and circulation are severely reduced by targeted disruption of the FL gene,19 whereas they are increased after FL administration.20,21 Treatment of tumor-bearing mice with FL leads to potent antitumor responses mediated by DCs and NK cells.13,22 FL is expressed by T cells and bone marrow stroma cells as membrane-bound FL (mFL) that undergoes a subsequent processing to generate soluble FL (sFL).23 We have recently demonstrated that production of FL by T cells is dependent on the status of the stem cell compartment. During normal hematopoiesis, FL is expressed constitutively but most of it is retained intracellularly within the Golgi apparatus. During bone marrow aplasia preceding the engraftment of transplanted stem cells, FL is released from cytoplasmic stores and its serum levels are highly elevated, suggesting a role for FL in restoring normal hematopoiesis.24 25 Signals that can trigger the release of FL from T cells remain unknown and are the subject of this study.
Here we show that FL expression by human peripheral blood T lymphocytes is significantly up-regulated by IL-2, IL-4, IL-7, and IL-15. This process is mediated by the common γc receptor subunit, without the requirement for signaling by the TCR complex. We also show that FL release is inhibited by CsA. In view of the hematopoietic and immunomodulatory properties of FL, these findings may be relevant for understanding the role of T cells in the process of stem cell engraftment and antitumor immune responses after SCT.
Patients, materials, and methods
Reagents, cytokines, and IS drugs
Human recombinant IL-2, IL-4, IL-6, granulocyte-macrophage colony-stimulating factor (GM-CSF), tumor necrosis factor (TNF)-α, and interferon (IFN)-γ were from Novartis Pharma (Basel, Switzerland), IL-7 was from Sterling Drug Inc (Malvern, PA), and IL-15 from PeproTech (London, UK). CsA, PSC833, and FK506-analogue ascomycin were from Novartis Pharma. Brefeldin A (BfA), cycloheximide (CHX), phorbol ester 12-myristate 13-acetate (PMA), as well as Jak2 and Jak3 inhibitor, tyrphostin AG490, were from Sigma (St. Louis, MO). Metalloproteinase inhibitor BB3103 was from British Biotech (Oxford, UK) and IL-2Rγc-blocking monoclonal antibody (mAb) CP.B8 was kindly provided by D. Baker from Biogen Inc (Cambridge, MA).
Purification and activation of T cells
The T cells were purified from peripheral blood of healthy volunteers using a negative magnetic selection procedure (MACS, Miltenyi Biotech, Auburn, CA) according to the manufacturer's instructions. Briefly, mononuclear cells were separated on Histopaque-1077 density gradient (Sigma), washed, and incubated with a mixture of lineage-specific mAbs (anti-CD11b, CD16, CD19, CD36, CD56) followed by incubation with magnetic beads coupled to goat antimouse antibody. The negative fraction collected during magnetic separation contained 96% to 99% CD3+ cells, as analyzed by flow cytometry. This cell population is referred to throughout the paper as “resting ex vivo” T cells. Resting T cells were cultured in 24-well tissue culture plates at 3 × 106/mL in Iscove modified Dulbecco medium (IMDM) supplemented with 2 mM l-glutamine, 100 U/mL penicillin, 100 μg/mL streptomycin (Life Technologies, Grand Island, NY), and 1% Nutridoma SP (Boehringer Mannheim, Indianapolis, IN) without serum addition. T-cell activation with cytokines was for 72 hours, and PMA treatment was for 3 hours. IL-2Rγc-blocking mAb CP.B8 was added 30 minutes prior to incubation with IL-7.26 For stimulation with anti-CD3 antibodies, plates were precoated with mouse antihuman CD3ε mAb TR66 (kind gift of G. Spagnoli, University of Basel, Switzerland) at 20 μg/mL for 16 hours. Activation with plate-immobilized TR66 mAb in the presence of mouse antihuman CD28 mAb (PharMingen, San Diego, CA) at 2 μg/mL was for 72 hours.
Patients
The study included 37 patients with different hematologic malignancies (21 with acute myeloid leukemia, 4 with chronic myeloid leukemia, 5 with myelodysplastic syndrome, 2 with multiple myeloma, 2 with acute lymphocytic leukemia, 2 with non-Hodgkin lymphoma, and 1 with Burkitt lymphoma). There were 22 males and 15 females; the median age was 54 years (range, 4-70). Nineteen patients had been treated with chemotherapy, 11 patients had undergone allogeneic SCT, and 7 patients had had autologous SCT. All recipients of allogeneic grafts were being treated with CsA (120-300 mg/d). Blood samples were collected on days 10 to 19 after the beginning of treatment; the leukocyte count at that time was 0.28 ± 0.02 × 109/L. Peripheral blood was obtained with informed consent in compliance with the guidelines of the Ethical Committee of the University Hospitals of Basel (Basel, Switzerland).
Enzyme-linked immunosorbent assay (ELISA)
To obtain serum, patients' native peripheral blood was centrifuged for 10 minutes at 3000 rpm. T-cell culture supernatants were collected after 72 hours of cell activation. Samples were aliquoted and stored at −70°C until use. Soluble FL was measured by ELISA (IMMUNEX, Seattle, WA)27; the reaction was linear in the range 6.25 to 200 pg/mL.
Flow cytometry (FACS)
For analysis of mFL in purified resting or activated T lymphocytes, cells were washed in a FACS buffer containing phosphate-buffered saline (PBS), 0.5% bovine serum albumin, and 0.02% NaN3 and incubated for 20 minutes on ice with anti-FL mAb M5 (rat IgG2a, IMMUNEX) or control rat IgG2a (PharMingen) followed by fluorescein isothiocyanate (FITC)-conjugated goat antirat IgG (Jackson Immunoresearch Lab, West Grove, PA). For analysis of mFL in patients' peripheral blood, double-color staining of mononuclear cells with anti-FL mAb M5 (as above) and phycoerythrin-conjugated anti-CD3 mAb (Becton Dickinson, San Jose, CA) was performed. Acquisition was done using a FACScan (Becton Dickinson). Dead cells were stained with propidium iodide and excluded from the analysis; 10 000 to 15 000 events were acquired. Analysis was performed using CellQuest software (Becton Dickinson). Expression of mFL is given as median fluorescence intensity (MFI) ratio of signals produced by specific and isotype-matched control mAbs.
Confocal microscopy
Following activation, cultured T cells were separated on Histopaque 1077 density gradient (Sigma) to remove dead cells. Immunostaining was performed as described elsewhere.24Briefly, cells were allowed to settle onto Poly-L-Lysin-coated coverslips (Sigma), fixed with 4% paraformaldehyde, and permeabilized with 0.1% saponin. Unspecific staining was blocked with 0.5% sodium borohydride followed by incubation with a 5% mixture of goat and donkey sera. Slides were incubated for 1 hour at room temperature with mAb M5 or control rat IgG2a and antibodies against human giantin (mouse IgG1; kind gift of H.-P. Hauri, Biozentrum, Basel, Switzerland), TGN46 (rabbit polyclonal antibody; kind gift of S. Ponnambalam, University of Dundee, UK), or calnexin (rabbit polyclonal antibody; kind gift of A. Helenius, University of Zürich, Zürich, Switzerland). Cells were stained for 1 hour in the dark with the following secondary antibodies showing no species cross-reactivity: donkey antirat IgG-cyanin(Cy)2, goat antimouse IgG-TexasRed, goat antirabbit IgG-TexasRed (all from Jackson Immunoresearch Lab), goat antirabbit IgG-Cy3 or goat antimouse IgG-Cy5 (both from Amersham, Pittsburgh, PA). Slides were mounted with Mowiol containing 20 mg/mL 1,4-diazabicyclooctane (DABCO; Sigma). Confocal microscopy was performed with TCS4D (Leica, Glattbrugg, Switzerland) or with LSM 510 (Carl Zeiss AG, Jena, Germany) operating in the sequential acquisition mode to exclude cross-talk between channels and using 488, 568, and 647 excitation lines. Images were analyzed for colocalization using the IMARIS software package (Bitplane AG, Zürich, Switzerland).
RNase protection assay
The pBluescript vector containing human FL clone 9 cDNA28 was obtained from S. Lyman (IMMUNEX). A region of complementary DNA (cDNA) coding for multiple alternatively spliced transcripts was removed after digestion with BamHI (in T3 polylinker) and NcoI (position 58514 in the FL cDNA insert). Plasmid was religated with T4DNA ligase, linearized with XhoI and an [α-32P]UTP-labeled antisense RNA probe was synthesized using the MAXIscript kit (Ambion, Austin, TX). Total RNA (10 μg) was hybridized with FL antisense probe and an RNase A/T1protection assay was performed using the HybSpeed RPA kit (Ambion) according to the manufacturer's instructions. Two micrograms RNA was hybridized with the β-actin antisense probe (template provided by Ambion). Protected RNA fragments were resolved on a 5% denaturing polyacrylamide gel and autoradiographed for 7 days (FL) or 3 hours (β-actin) at −70°C using Kodak x-ray film (Eastman Kodak, Rochester, NY) and intensifying screens. Protected RNA fragments were quantified using a PhosphorImager and ImageQuant software (both from Molecular Dynamics, Sunnyvale, CA). Size markers were obtained by digestion of pBR322 with NarI and DdeI (for FL) or with HinfI (for β-actin), followed by [α-32P]ATP-labeling with Klenow DNA polymerase (Promega, Madison, WI).
Statistics
The nonparametric Mann-Whitney U test was applied to analyze differences in FL expression in vitro and in patient groups. Differences were considered statistically significant atP < .05.
Results
Cytokines using the common γ receptor chain induce cell surface expression and release of FL by T lymphocytes
The mechanism of FL expression was studied in peripheral blood T cells, which were purified by negative selection to avoid cell activation during the isolation process. Such resting “ex vivo” cells contain intracellularly stored FL but express very low levels of mFL at the cell surface, as shown by FACS analysis (Figure1A; also see reference 24). Expression of mFL was strongly enhanced by IL-2 or IL-7 after 72 hours of culture under serum-free conditions. This enhancement was inhibited by CHX, indicating that protein synthesis is required for the inducing effect of IL-2 and IL-7. Increase in mFL levels was seen after 24 hours of stimulation and reached a plateau at 72 to 96 hours; the elevated expression was found in both CD4+ and CD8+subsets of cytokine-stimulated cells (results not shown). The response was observed with as little as 0.1 ng/mL IL-2 or IL-7, reaching a plateau at 10 ng/mL (Figure 1B). Levels of mFL also increased, albeit to a lesser extent, on addition of IL-4 and IL-15. Combining IL-2 and IL-7 at suboptimal concentrations resulted in additive, rather than synergistic, responses; a plateau level of mFL was reached already at 1 ng/mL of each cytokine when added simultaneously, and, at a maximum dose of IL-7, no further response to IL-2 was seen (Figure 1C). As we have shown previously, in vitro, a small fraction of the preformed intracellular FL is transferred spontaneously to the cell surface and accounts for the basal mFL expression.24 Treatment of cells with TNF-α or IFN-γ did not increase mFL above the level seen without cytokine addition (Figure 1D) and had no effect on responses mediated by IL-2 or IL-7 (not shown). The specificity of cytokine effects on mFL expression was confirmed by measuring sFL in culture supernatants. No increase above the spontaneously released amount was observed in the presence of TNF-α, IFN-γ, IL-6, or GM-CSF, whereas IL-2 and IL-7 increased sFL levels 3- to 5-fold above background (Figure 1E). A similar increase was also obtained in response to IL-4 and IL-15 (not shown). These results indicate that IL-2, IL-4, IL-7, and IL-15, that is, cytokines using a common γc receptor subunit, can induce cell surface expression and release of FL by T lymphocytes. To confirm the involvement of γc signaling in regulation of FL expression, we used anti-γc mAb CP.B8, which blocks γc association with other receptor subunits,26 and tyrphostin AG490, which prevents activation of Jak3, a tyrosine kinase that associates with γc on ligand binding.29 As shown in Figure2, the addition of either CP.B8 or tyrphostin AG490 resulted in a dose-dependent inhibition of the IL-7 effect on mFL and sFL expression.
Cytokines using the common γ receptor chain up-regulate expression of mFL and sFL in T lymphocytes.
T cells were purified from normal peripheral blood (see “Patients, materials, and methods”) and cultured for 72 hours in the presence of indicated cytokines. (A-D) Expression of mFL was analyzed by FACS. (E) Release of sFL to culture supernatants was measured with ELISA. (A) Expression of mFL by resting T cells (ex vivo) and in response to IL-2 (15 ng/mL), IL-7 (15 ng/mL), or IL-7 (15 ng/mL) plus CHX (10 μg/mL). Dotted line indicates staining with isotype-matched control mAb. (B) Expression of mFL (mean ± SD) in response to increasing concentrations of IL-2, IL-4, IL-7, and IL-15. (C) Expression of mFL in response to IL-2 and IL-7 combined at indicated concentrations. Results are shown as percent ± SEM of an increase above the baseline. (D) Expression of mFL in response to IFN-γ (500 U/mL), TNF-α (100 ng/mL), and without cytokine addition (no cytokine). Dotted line indicates staining with isotype-matched control mAb. (E) Release of sFL without cytokine addition (no cytokine), and in response to the indicated cytokines; mean ± SD is shown. Concentration of cytokines, as above; IL-6 and GM-CSF were used at 100 ng/mL.
Cytokines using the common γ receptor chain up-regulate expression of mFL and sFL in T lymphocytes.
T cells were purified from normal peripheral blood (see “Patients, materials, and methods”) and cultured for 72 hours in the presence of indicated cytokines. (A-D) Expression of mFL was analyzed by FACS. (E) Release of sFL to culture supernatants was measured with ELISA. (A) Expression of mFL by resting T cells (ex vivo) and in response to IL-2 (15 ng/mL), IL-7 (15 ng/mL), or IL-7 (15 ng/mL) plus CHX (10 μg/mL). Dotted line indicates staining with isotype-matched control mAb. (B) Expression of mFL (mean ± SD) in response to increasing concentrations of IL-2, IL-4, IL-7, and IL-15. (C) Expression of mFL in response to IL-2 and IL-7 combined at indicated concentrations. Results are shown as percent ± SEM of an increase above the baseline. (D) Expression of mFL in response to IFN-γ (500 U/mL), TNF-α (100 ng/mL), and without cytokine addition (no cytokine). Dotted line indicates staining with isotype-matched control mAb. (E) Release of sFL without cytokine addition (no cytokine), and in response to the indicated cytokines; mean ± SD is shown. Concentration of cytokines, as above; IL-6 and GM-CSF were used at 100 ng/mL.
Inhibition of γc function prevents IL-7–induced mFL and sFL expression in T lymphocytes.
T cells were cultured for 72 hours in the presence of IL-7 (15 ng/mL) and increasing concentrations of: (A) Anti-γc mAb CP.B8 or (B) Jak3 inhibitor tyrphostin AG490. Expression of mFL (gray bars) was analyzed by FACS, and sFL (black bars) by ELISA, and calculated as percent ± SEM of expression in the absence of the inhibitors after subtracting the amounts expressed spontaneously. In a control experiment, tyrphostin AG490 did not inhibit cell surface expression of γc (not shown).
Inhibition of γc function prevents IL-7–induced mFL and sFL expression in T lymphocytes.
T cells were cultured for 72 hours in the presence of IL-7 (15 ng/mL) and increasing concentrations of: (A) Anti-γc mAb CP.B8 or (B) Jak3 inhibitor tyrphostin AG490. Expression of mFL (gray bars) was analyzed by FACS, and sFL (black bars) by ELISA, and calculated as percent ± SEM of expression in the absence of the inhibitors after subtracting the amounts expressed spontaneously. In a control experiment, tyrphostin AG490 did not inhibit cell surface expression of γc (not shown).
To gain some insight into the mechanism of γc-mediated up-regulation of mFL and sFL, we analyzed FL mRNA levels by RNase A/T1protection (Figure 3). Analysis of RNA isolated from purified resting T cells revealed the presence of 2 protected fragments of the expected sizes of 357 and 517 nt, representing 2 FL mRNA species consitutively expressed in T cells.28 Stimulation of cells with IL-2 or IL-7 resulted in a 4- and 6-fold increase in the mRNA level, respectively. Whether this effect is the result of increased FL gene transcription or enhanced mRNA stability is a subject for further investigation. However, it should be noted that FL mRNA is highly stable and an increase in FL mRNA levels seen in patients during aplasia is not due to increased stability.24
Expression of FL mRNA in resting and activated T lymphocytes analyzed by an RNase A/T1 protection assay.
Total RNA was extracted from freshly purified resting cells (control) or following 72 hours culture with anti(α)-CD3 and CD28 mAbs, IL-2 or IL-7 (15 ng/mL each), or IL-7 plus CsA (5 μg/mL). RNA was hybridized with an antisense RNA probe complementary to the region encoding the extracellular part of FL (see “Materials and methods”). After digestion of single-stranded RNA with RNase A and T1, RNA fragments were separated by gel electrophoresis and exposed to x-ray film. Probe/RNase indicates digested probe; probe, nondigested probe. Migration of size markers is indicated. The control reaction was carried out with RNA probe complementary to β-actin mRNA. Arrows mark RNA fragments of the expected sizes 357 nt and 517 nt corresponding to positions 68-585 and 68-435 in the alternatively spliced FL mRNAs.28
Expression of FL mRNA in resting and activated T lymphocytes analyzed by an RNase A/T1 protection assay.
Total RNA was extracted from freshly purified resting cells (control) or following 72 hours culture with anti(α)-CD3 and CD28 mAbs, IL-2 or IL-7 (15 ng/mL each), or IL-7 plus CsA (5 μg/mL). RNA was hybridized with an antisense RNA probe complementary to the region encoding the extracellular part of FL (see “Materials and methods”). After digestion of single-stranded RNA with RNase A and T1, RNA fragments were separated by gel electrophoresis and exposed to x-ray film. Probe/RNase indicates digested probe; probe, nondigested probe. Migration of size markers is indicated. The control reaction was carried out with RNA probe complementary to β-actin mRNA. Arrows mark RNA fragments of the expected sizes 357 nt and 517 nt corresponding to positions 68-585 and 68-435 in the alternatively spliced FL mRNAs.28
Taken together, these results indicate that triggering of the γc receptor results in up-regulation of FL mRNA, possibly due to transcriptional up-regulation, and also leads to enhanced cell surface expression and release of FL protein by activated cells.
T-cell activation by CD3 and CD28 ligation enhances proteolytic cleavage of mFL
To examine the possible involvement of TCR signaling in FL expression, we incubated T cells for 72 hours with the plate-immobilized anti-CD3 mAb in the presence of mAb against the costimulatory receptor, CD28. RNase protection analysis revealed that activation of T cells by CD3 and CD28 ligation lowers the expression of FL mRNA by about 10-fold (Figure 3). This finding is consistent with the observation that treatment with concavalin A strongly decreases FL mRNA expression in a murine T-cell line.15 Next, we examined FL protein expression in CD3/CD28-stimulated cells (Table1). Levels of mFL were below those seen for control cells cultured without stimulation (MFI, 1.6 ± 0.1 versus 2.5 ± 0.1), whereas sFL levels were increased from 24.2 ± 2.2 to 62.8 ± 2.5 pg/mL. A similar increase in sFL, but not mFL, was found when CD3/CD28 stimulation was performed in the presence of IL-7. This is in sharp contrast to a significant increase in both FL forms in response to IL-7 alone. We have verified that the effect brought about by receptor stimulation was not due to changes in the proportion of FL-specific transcripts: Using PCR primers that allow a distinction to be made between alternative transcripts encoding mFL and sFL,15 28 we found no increase in sFL transcripts in cells activated by CD3 and CD28 ligation compared to IL-7 treatment (results not shown).
We investigated the possibility that activation of T cells through CD3 and CD28 receptors enhances the proteolytic cleavage of mFL at the cell surface and thus augments the release of sFL into culture supernatants. We used PMA, an inducer of proteinases involved in cleavage of membrane-associated cytokines.30 PMA treatment of T cells for 3 hours perfectly mimicked the effect of CD3/CD28 stimulation (Table 1 and Figure 4). Moreover, like CD3 and CD28 ligation, PMA decreased the IL-7–induced mFL levels from MFI of 7.7 ± 0.4 to 1.6 ± 0.1, whereas sFL increased to as much as 146.2 ± 11 pg/mL. The effect of PMA was prevented by addition of the metalloproteinase inhibitor BB3103 (Figure 4), suggesting that metalloproteinase(s) play a role in proteolytic processing of mFL.
T-cell activation by CD3 and CD28 ligation or PMA treatment decreases mFL expression in T lymphocytes.
Cells were cultured with IL-7 (15 ng/mL) for 72 hours under the indicated conditions. Anti(α)-CD3 and CD28 mAbs were present for 72 hours, whereas PMA (20 ng/mL) and metalloproteinase inhibitor BB3103 (1 μM) were added for the last 3 hours of culture only. Expression of mFL was analyzed by FACS. Dotted line indicates staining with isotype-matched control mAb.
T-cell activation by CD3 and CD28 ligation or PMA treatment decreases mFL expression in T lymphocytes.
Cells were cultured with IL-7 (15 ng/mL) for 72 hours under the indicated conditions. Anti(α)-CD3 and CD28 mAbs were present for 72 hours, whereas PMA (20 ng/mL) and metalloproteinase inhibitor BB3103 (1 μM) were added for the last 3 hours of culture only. Expression of mFL was analyzed by FACS. Dotted line indicates staining with isotype-matched control mAb.
These results indicate that TCR-dependent T-cell activation has a dual effect on FL expression, by decreasing the level of FL mRNA and enhancing the proteolytic cleavage of mFL.
CsA inhibits the γc-mediated FL release by T lymphocytes
Because expression of many cytokine genes in T cells is inhibited by CsA, we examined the effect of this IS drug on FL expression. RNase protection analysis revealed that FL mRNA levels, up-regulated by IL-7, were not affected by CsA over 72 hours of culture (Figure 3). However, mFL levels and release of sFL in response to IL-2 or IL-7 were down-regulated in the presence of CsA (Figure5). Unexpectedly, ascomycin, an analogue of FK506 with a similar molecular mechanism of action to CsA,31 did not decrease mFL expression (Figure 5A). Because CsA, but not FK506 at the concentration used here, can also inhibit the function of a P-glycoprotein pump involved in transmembrane transport of cytokines across the cell membrane,32,33 we investigated the effect of the CsA analogue, PSC833, a selective inhibitor of P-glycoprotein.34 PSC833 had no influence on the IL-7–induced expression of mFL (Figure 5A). Taken together, these results suggest that inhibition of FL expression in T cells is specific for CsA, and that the drug acts at the posttranscriptional level, but not by preventing FL transfer across the cell membrane.
CsA inhibits expression of mFL and sFL in T lymphocytes.
(A) FACS analysis of mFL in cells cultured with IL-7 (15 ng/mL) for 72 hours in the absence or presence of CsA (5 μg/mL), ascomycin (Asc; 1 μM), or PSC833 (10 μM), as shown. Dotted line indicates staining with isotype-matched control mAb. (B) Effect of increasing concentrations of CsA on sFL release in response to IL-2 or IL-7 (15 ng/mL each). Results of ELISA measurements are shown as percent ± SEM of sFL induced by IL-2 or IL-7 in the absence of CsA after subtracting the amount expressed spontaneously.
CsA inhibits expression of mFL and sFL in T lymphocytes.
(A) FACS analysis of mFL in cells cultured with IL-7 (15 ng/mL) for 72 hours in the absence or presence of CsA (5 μg/mL), ascomycin (Asc; 1 μM), or PSC833 (10 μM), as shown. Dotted line indicates staining with isotype-matched control mAb. (B) Effect of increasing concentrations of CsA on sFL release in response to IL-2 or IL-7 (15 ng/mL each). Results of ELISA measurements are shown as percent ± SEM of sFL induced by IL-2 or IL-7 in the absence of CsA after subtracting the amount expressed spontaneously.
Intracellular trafficking plays an important role in the regulation of FL expression by T cells.24 We examined the intracellular distribution of FL in T cells treated with IL-7 and CsA. Confocal microscopy was used to visualize colocalization of FL with organellar markers (Figure 6). In agreement with our previous findings, untreated “ex vivo” T cells contained a cluster of preformed FL visible as a strong signal within and close to the Golgi apparatus (Figure 6A,B). FL immunofluorescence signals partially overlapped with those of giantin, a Golgi marker,35 and to a larger degree with TGN46, a marker of the trans-Golgi network.36 In cells treated with IL-7, the bulk of FL still overlapped with Golgi markers, but FL signals were also scattered through the cell cytoplasm and were visible at the outer rim of the cell (Figure 6C,D), indicative of the release of FL from intracellular stores in response to cytokine stimulation. Importantly, these scattered signals were absent in cells treated with CsA (Figure 6E,F), suggesting that the drug prevented the release of FL from the Golgi apparatus. Furthermore, the overlap of FL with the resident Golgi proteins, depicted as a yellow signal, was more pronounced with giantin (Figure 6E) than with TGN46 (Figure 6F). Indeed, colocalization analysis revealed that in cells treated with CsA, only 19% of FL staining colocalized with TGN46, whereas in IL-7–treated cells, the colocalization of FL with TGN46 was 64%. These results demonstrate that IL-7 induces trafficking of FL to the cell surface, and that this process is inhibited by CsA, most prominently at the level of transition from the main body of the Golgi apparatus to the trans-Golgi compartment. Additional evidence that exocytosis from the Golgi complex plays an important role in determining FL expression in T cells was provided by the use of BfA, a reagent that blocks protein secretion by disrupting the Golgi and redistributing Golgi proteins to the endoplasmic reticulum (ER).37 BfA fully abrogated mFL expression in response to IL-2 (Figure 6G). Confocal microscopy analysis of cells treated with IL-2 and BfA confirmed that both giantin and FL signals were completely disrupted and colocalized to a large extent with the ER marker, calnexin (Figure 6H).
Intracellular distribution of FL in resting and activated T lymphocytes.
Two-color immunofluorescence confocal microscopy was performed with resting cells (ex vivo, A,B) and cells cultured with IL-7 (C,D), or IL-7 plus CsA (E,F). For culture conditions, see legend to Figure 5. Cells were stained with anti-FL mAb M5 followed by IgG-Cy2 and with Abs against giantin or TGN46 followed by IgG-TexasRed. Images A to F are merged maximum-intensity projections of 20 optical sections; an exact overlap of green FL signals with red signals of giantin or TGN46 is depicted in yellow. FACS (G) and 3-color immunofluorescence confocal microscopy (H) were performed with cells cultured with IL-2 (15 ng/mL) plus BfA (10 μg/mL; added for the last 16 hours of culture). For FACS analysis, mFL was stained with mAb M5 followed by IgG-FITC; mFL expression in IL-2–stimulated cells in the absence of BfA is shown. Dotted line indicates staining with isotype-matched control mAb. For confocal microscopy, cells were stained with anti-FL mAb M5 followed by IgG-Cy2, with antibody against calnexin followed by IgG-Cy3, and with mAb against giantin followed by IgG-Cy5. Colocalization of FL and giantin with calnexin is depicted in white, colocalization of FL with calnexin in yellow, and colocalization of calnexin with giantin in magenta. Image H represents a single section. A detector in the backchannel of the microscope was used for recording differential interference contrast images (A-F and H) of the cells.
Intracellular distribution of FL in resting and activated T lymphocytes.
Two-color immunofluorescence confocal microscopy was performed with resting cells (ex vivo, A,B) and cells cultured with IL-7 (C,D), or IL-7 plus CsA (E,F). For culture conditions, see legend to Figure 5. Cells were stained with anti-FL mAb M5 followed by IgG-Cy2 and with Abs against giantin or TGN46 followed by IgG-TexasRed. Images A to F are merged maximum-intensity projections of 20 optical sections; an exact overlap of green FL signals with red signals of giantin or TGN46 is depicted in yellow. FACS (G) and 3-color immunofluorescence confocal microscopy (H) were performed with cells cultured with IL-2 (15 ng/mL) plus BfA (10 μg/mL; added for the last 16 hours of culture). For FACS analysis, mFL was stained with mAb M5 followed by IgG-FITC; mFL expression in IL-2–stimulated cells in the absence of BfA is shown. Dotted line indicates staining with isotype-matched control mAb. For confocal microscopy, cells were stained with anti-FL mAb M5 followed by IgG-Cy2, with antibody against calnexin followed by IgG-Cy3, and with mAb against giantin followed by IgG-Cy5. Colocalization of FL and giantin with calnexin is depicted in white, colocalization of FL with calnexin in yellow, and colocalization of calnexin with giantin in magenta. Image H represents a single section. A detector in the backchannel of the microscope was used for recording differential interference contrast images (A-F and H) of the cells.
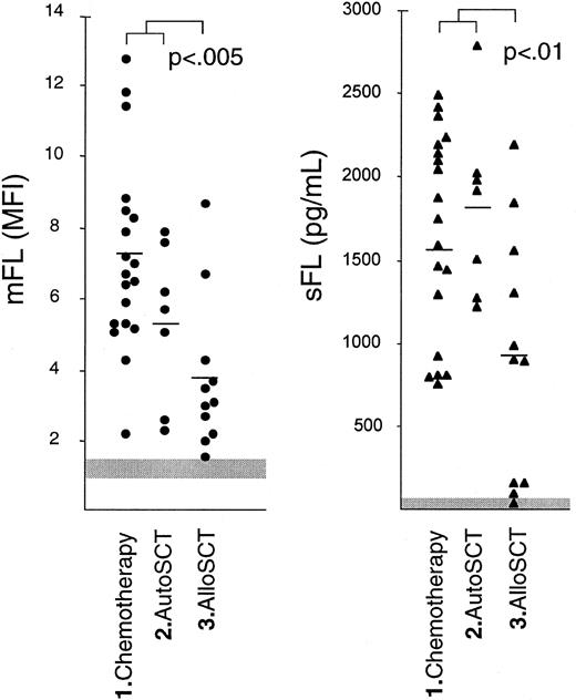
CsA decreases FL levels in patients undergoing allogeneic SCT
We have previously shown that FL expression increases in patients undergoing myeloablative treatment, irrespective of the underlying malignancy.24 25 To assess the influence of CsA on FL expression in vivo, we compared levels of mFL in T cells and sFL in serum in 3 groups of patients differing with respect to CsA use during therapy. Patients in group 1 were treated with chemotherapy alone, patients in group 2 underwent autologous SCT, and patients in group 3 underwent allogeneic SCT and received CsA for prevention of graft-versus-host disease. At the time of FL monitoring, all patients were severely pancytopenic, with white blood cell count of 0.28 ± 0.02 × 109/L compared to 3.5 to 10.0 × 109/L in healthy subjects. In all 3 patient groups, levels of mFL and sFL were significantly elevated above normal (Figure 7). However, average level of mFL was about 2-fold lower in patients treated with CsA than in control groups not receiving CsA (mean ± SEM; 3.7 ± 0.7 compared to 7.1 ± 0.6 and 5.3 ± 0.8; P < .005). Similarly, sFL levels were decreased in patients treated with CsA (mean ± SEM; 919 ± 252 compared to 1571 ± 140 and 1817 ± 205 pg/mL;P < .01). Despite a considerable overlap of values in the 3 groups, FL levels in 4 of 11 patients receiving CsA were nearly as low as normal. These results are in accordance with an inhibitory effect of CsA on FL expression by T cells in vitro and show that CsA treatment partly counteracts the up-regulation of FL in response to stem cell deficiency in vivo.
FL levels in patients undergoing treatment for hematologic malignancies.
Peripheral blood was obtained from patients undergoing chemotherapy treatment alone (1. Chemotherapy), or combined with autologous SCT (2. AutoSCT) or allogeneic SCT (3. AlloSCT). Blood samples were collected during pancytopenia on days 10 to 19 after the beginning of treatment; leukocyte count at that time was 0.28 ± 0.02 × 109/L. For each patient, measurements of mFL and sFL were performed in samples obtained on the same day. Levels of mFL in T cells were measured by 2-color FACS analysis of mononuclear cells stained with anti-CD3 and anti-FL mAbs; levels of sFL in serum were measured by ELISA. Normal range of mFL and sFL determined in 1263 and 6027 healthy donors, respectively, is shown in gray. Mean values are indicated. P < .005 or P < .01, mFL and sFL expression in group 3 of CsA-treated patients with respect to the values observed in groups 1 and 2 of patients who did not receive CsA.
FL levels in patients undergoing treatment for hematologic malignancies.
Peripheral blood was obtained from patients undergoing chemotherapy treatment alone (1. Chemotherapy), or combined with autologous SCT (2. AutoSCT) or allogeneic SCT (3. AlloSCT). Blood samples were collected during pancytopenia on days 10 to 19 after the beginning of treatment; leukocyte count at that time was 0.28 ± 0.02 × 109/L. For each patient, measurements of mFL and sFL were performed in samples obtained on the same day. Levels of mFL in T cells were measured by 2-color FACS analysis of mononuclear cells stained with anti-CD3 and anti-FL mAbs; levels of sFL in serum were measured by ELISA. Normal range of mFL and sFL determined in 1263 and 6027 healthy donors, respectively, is shown in gray. Mean values are indicated. P < .005 or P < .01, mFL and sFL expression in group 3 of CsA-treated patients with respect to the values observed in groups 1 and 2 of patients who did not receive CsA.
Discussion
Owing to a capacity to expand both the primitive hematopoietic progenitors and DCs and NK cells,16,20,21 FL may play an important role during hematopoietic and immune recovery after SCT, a hypothesis supported by a rapid and massive increase in circulating FL in the immediate posttransplantation period.24 T cells are the major source of FL during aplasia preceding the engraftment of stem cells, but signals that up-regulate FL levels remain unknown. We used T cells purified from normal human peripheral blood to elucidate the T-cell–specific ligands and molecular mechanisms that control expression of FL. The results demonstrate that signaling mediated by the cytokine receptor γc is central to the regulation of FL expression and release by T cells.
Interleukin-2, IL-4, IL-7, and IL-15, the cytokines sharing the common γc receptor subunit, induced resting T cells to express both mFL and sFL. The following data strongly implicate the involvement of γc signaling in up-regulation of FL: (1) CP.B8 mAb, which blocks the assembly of γc with other receptor subunits,26 and (2) tyrphostin AG490, a pharmacologic compound that inhibits the phosphorylation of Jak3 tyrosine kinase and its association with γc,29 prevented the response to IL-2 and IL-7, whereas (3) IFN-γ, GM-CSF, TNF-α, and IL-6, the cytokines interacting with receptors that do not contain γc,38 did not up-regulate FL levels. We have demonstrated that increased expression of FL on γc triggering is due to 2 factors: (1) an increase in FL mRNA levels, likely resulting from the transcriptional activation of theFL gene, and (2) an increase in FL protein trafficking and its externalization. Release of FL to the cell surface is inhibited to large extent by CHX, indicating involvement of a short-lived protein or up-regulation of the synthesis of FL itself. In the measurements of mFL and sFL released in response to γc-mediated signaling, we did not distinguish between de novo synthesized and preformed FL derived from the intracellular stores within the Golgi complex. The role of intracellular trafficking and externalization was supported by an effect of BfA, a protein secretion inhibitor37 that disrupted the Golgi apparatus and inhibited the γc-induced translocation of FL to the cell surface.
Our previous studies demonstrated that in patients undergoing SCT, up-regulation of FL in response to stem cell deficiency is due to rapid mobilization of preformed FL from cytoplasmic stores in T cells, followed by a delayed transcriptional activation of the FLgene.24 Given the similarities in FL regulation occurring in vivo and in response to γc-triggering in vitro, it is tempting to speculate that the γc-mediated signaling pathway is also a target of inductive signal(s) generated during bone marrow aplasia. Recently, a novel cytokine receptor structurally homologous to γc, called delta1, was identified as a receptor for IL-7–like thymic stromal lymphopoietin,39,40 suggesting the existence of additional γc-related pathways and ligands bearing a functional resemblance to known cytokines sharing the γc receptor. Whether IL-2, IL-4, IL-7, and IL-15, which up-regulate FL under in vitro conditions, are physiologic triggers of FL production by T cells in steady-state hematopoieisis and in aplasia remains an open question. IL-2, IL-4, and IL-9 are products of T cells, and IL-7 and IL-15 are expressed predominately by bone marrow stroma cells.41-44 Only minute concentrations of these cytokines can be detected in the peripheral circulation both before and after SCT, probably owing to their short serum half-life and rapid clearance by cells or circulating soluble receptors.45-47 However, abnormal T-cell responses associated with overexpression of IL-2 on mitogen stimulation, have been described in aplastic anemia48,49 and may account for a markedly elevated FL in this disease.25 27 After SCT, up-regulation of FL could occur through local interactions, whereby T cells could both produce and respond to IL-2 and other candidate γc-dependent triggers. Recipient's T cells, largely spared by myeloablative chemotherapy, as well as donor's T cells contained in the graft, could serve as FL source prior to engraftment.
The unexpected finding of this study is that transcription of theFL gene is down-regulated by TCR signaling brought about by engagement of CD3 and CD28 receptors. This effect distinguishes the regulation of FL from that of other known cytokine-encoding genes, whose transcription is initiated in response to signals transduced by the TCR complex together with signals provided by costimulatory molecules.50 The amount of IL-2 released by T cells activated through CD3 and CD28 receptors is about 3 ng/1 × 106 cells51 and, thus, sufficient to up-regulate FL. However, a decrease in FL transcript levels in response to TCR signaling indicates that activated cells can avoid the possibility that enhanced expression of IL-2 is always coupled to up-regulation of FL. Our data also show that CD3 and CD28 receptor stimulation affects expression of FL at the posttranslational level, by increasing the proteolysis of mFL and release of sFL to culture supernatants. Enhanced proteolysis of FL may be due to up-regulation of matrix metalloproteinases on cell activation.52Accordingly, this effect was mimicked by PMA, which activates enzymes that shed membrane-bound cytokines. Putative metalloproteinase(s) responsible for FL cleavage have not been identified, yet our results argue for a link between TCR activation and FL protein processing.
Finally, we found that CsA inhibits γc-induced intracellular FL trafficking, without affecting FL transcript levels. CsA blocks the TCR-dependent signaling pathway53; however, inhibition of γc-dependent FL expression indicates that CsA may also interfere with signals downstream from cytokine receptors. Consistent with this finding, CsA was recently shown to inhibit IL-15–dependent production of IL-17 in mononuclear cells.54 Analysis of CsA effects by confocal microscopy showed that the drug interferes with FL transition from the main Golgi body to the trans-Golgi compartment. Interestingly, externalization of FL was not blocked by ascomycin, an FK506 analogue. Because CsA and FK506 use distinct cytoplasmic immunophylin receptors,10 our results imply a role for CsA-specific immunophylin in the regulation of FL trafficking in T cells. Cyclophilin-A, the main intracellular target of CsA, has been shown to accumulate in the Golgi apparatus55 where, on complexing with CsA, it may cause retention of FL. An alternative explanation is based on recent findings that interaction of CsA with cyclophylin-D prevents apoptotic cell death by reducing the leakage of proteins through mitochondrial membranes.56 A reduced permeability of membranes in the Golgi cisternae may thus be responsible for the interference by CsA with intracellular FL trafficking. A function of the Golgi apparatus as a checkpoint in FL expression is unique among hematopoietic growth factors, but resembles the regulation of Fas (CD95) accumulating in the Golgi complex.57 The mechanism of sequestration of FL and Fas in T cells is not known.
Several aspects of our findings may be relevant for understanding the mechanisms of hematopoietic and immune reconstitution after SCT. A link between γc-mediated T-cell activation and FL expression may have implications for IL-2 adjuvant therapy to prevent leukemia relapse.58 Antitumor responses induced by exogenous IL-2 conceivably take advantage of up-regulation of FL and its potential for expansion and differentiation of functionally mature DCs and NK cells. Selective development of NK cells from hematopoietic progenitors, observed after prolonged administration of IL-2,59 can also be envisaged as an indirect effect, mediated via up-regulation of FL. Given a stimulatory effect on human hematopoietic progenitors capable of engraftment in mice,60 FL overexpressed locally in the bone marrow may accelerate the engraftment and hematopoietic recovery after SCT. Furthermore, highly elevated FL levels in the immediate posttransplantation period could provide means for rapid reconstitution of the NK compartment observed following SCT.61 Our results also suggest that IS treatment with CsA partially prevents the anticipated effect of IL-2 on the expression of endogenous FL. We found that CsA treatment was associated with lower FL levels in patients undergoing allogeneic compared to autologous SCT. Impaired T-cell function on prolonged CsA use after allogeneic SCT is regarded as a main cause of the development of secondary malignancies. In addition, a role for CsA in tumorigenic transformation through enhanced transforming growth factor-β production by cancer cells has recently been described.62 An inhibitory effect on secretion of FL, a cytokine with antitumor capacity, may represent yet another side effect of CsA treatment with potential clinical consequences.
In conclusion, our results demonstrate that FL belongs to the γc-dependent cytokine network that plays a regulatory role in the immune system and hematopoiesis. Expression of FL by T cells has a number of specific features: (1) IL-2 and other cytokines sharing γc increase FL expression without the requirement for TCR signals, (2) cell surface translocation of FL is under the control of γc-mediated signaling, and (3) CsA inhibits intracellular FL trafficking but not transcription of the FL gene. These mechanisms might be of importance for graft acceptance and antitumor immunity after SCT.
Acknowledgments
We thank S. D. Lyman for FL-related reagents; H.-P. Hauri, A. Helenius, S. Ponnambalam, and D. Baker for antibodies; W. Schuler for immunosuppressive drugs; A. Gratwohl, J. Passweg, and C. Pino for providing patient blood samples; and G. De Libero, C. Kalberer, and A. Luther for helpful comments on the manuscript.
Supported by grants from the Swiss National Science Foundation (32-055694.98), Swiss Cancer League (KFS 951-09-1999), and Roche Research Foundation (to O.P.).
The publication costs of this article were defrayed in part by page charge payment. Therefore, and solely to indicate this fact, this article is hereby marked “advertisement” in accordance with 18 U.S.C. section 1734.
References
Author notes
Aleksandra Wodnar-Filipowicz, Research Department, University Hospital Basel, Hebelstrasse 20, CH-4031 Basel, Switzerland; e-mail: aleksandra.wodnar-filipowicz@unibas.ch.






