Platelet microparticles (PMPs) are released from activated platelets and express functional adhesion receptors, including P-selectin, on their surface. PMP concentrations are elevated in many disorders, and their role in accelerating coagulation has been studied. However, their role in leukocyte aggregation has not been defined. We hypothesized that P-selectin–expressing PMPs bridge leukocytes that express P-selectin glycoprotein ligand-1 (PSGL-1), thereby allowing them to interact under flow conditions. PMPs were isolated from platelet-rich plasma or were generated by activating washed platelets with calcium ionophore. PMPs increased transient adhesion of flowing HL-60 cells or neutrophils to HL-60 cells or neutrophils prebound to the surface of a parallel plate flow chamber. Homotypic neutrophil interactions are initiated by the binding of L-selectin to PSGL-1. However, even when L-selectin function was blocked, PMPs allowed flowing neutrophils to aggregate and to interact with PSGL-1–expressing cells prebound to the surface of the flow chamber. The microparticle-mediated cell interactions occurred at lower shear stresses than those mediated by L-selectin. PMPs may enhance leukocyte aggregation and leukocyte accumulation on selectin-expressing substrates, especially in diseases where the concentration of the particles is elevated.
One of the most important functions of the immune system is the recruitment of leukocytes to areas of infection or tissue damage. Leukocytes first leave the central stream of flowing blood and roll along activated endothelial cells lining the blood vessel wall. The selectin family of adhesion molecules largely mediates this initial rolling interaction,1-3 although some integrins are capable of mediating cell rolling on the endothelium.4 5 In an integrin-mediated process, the rolling leukocytes then adhere tightly to the vessel wall, which allows them to emigrate between endothelial cells into areas of infection or injury.
The selectin family of adhesion molecules consists of 3 structurally related molecules. E-selectin is expressed on the surface of cytokine-stimulated endothelial cells. P-selectin is constitutively expressed in platelet and endothelial cell secretory granules from which it can be rapidly deployed on the surface of these cells in response to agonists. L-selectin is constitutively expressed on circulating leukocytes. The leukocyte ligand for P-selectin is P-selectin glycoprotein ligand-1 (PSGL-1).6L-selectin binds to multiple ligands including peripheral node addressin (PNAd) expressed on certain endothelial cells and to PSGL-1 and other ligands expressed on leukocytes.7-9 E-selectin binds to multiple carbohydrate ligands expressed on leukocytes including those on PSGL-1.1,3 6
The adhesion mediated by selectins can be broadly classified into 2 categories: primary adhesion, where a flowing leukocyte attaches directly to the surface, and secondary adhesion, where a circulating leukocyte first interacts with an adherent leukocyte before attaching to the surface. Both mechanisms lead to accumulation of flowing cells on the surface.8,10,11 Primary adhesions are mediated by the binding of immobilized P- or E-selectin to ligands displayed on the surface of flowing leukocytes. Secondary adhesions require L-selectin binding to PSGL-18 or perhaps to other carbohydrate ligands displayed on leukocytes.9,11 An important difference between cell interactions mediated by L-selectin from those mediated by P- or E-selectin is that L-selectin–ligand bonds dissociate much faster. L-selectin–mediated rolling is faster than rolling mediated by P- or E-selectin,12 and L-selectin requires a threshold shear stress to initiate rolling.13
Activated platelets attached to a site of injury on the vessel wall express P-selectin and support the rolling of leukocytes in the presence of shear stress.14-18 The ability of activated platelets to bind to leukocytes might enhance leukocyte accumulation on the vascular surface, leukocyte aggregation, and thrombus formation.19-22 From their plasma membrane, activated platelets also release membrane fragments that express functional surface receptors including P-selectin.23-26Platelet microparticles (PMPs) provide a catalytic surface that accelerates coagulation,27-29 and they can bind to neutrophils.30 The potential role of PMPs in enhancing leukocyte-leukocyte interactions has not been investigated. We investigated the possibility that PMPs could use P-selectin to bridge leukocytes, thereby enhancing leukocyte aggregation and accumulation of flowing leukocytes on a selectin substrate.
Materials and methods
Materials
The following materials were purchased for this study: acid citrate dextrose (ACD), calcium ionophore (A23187), dimethyl sulfoxide (DMSO), potassium chloride (KCl), magnesium chloride (MgCl), sodium phosphate (Na2HPO4), glucose, 4-(-Hydroxyethyl)-1-piperazineethanesulfonic acid (HEPES), disodium salt ethylenediaminetetraacetic acid (Na2EDTA), EDTA, prostaglandin E1 (PGE1), potassium phosphate (KH2PO4), sodium citrate, sodium acetate, heparin sodium salt from porcine intestinal mucosa, dextran 70, penicillin G sodium, human serum albumin (HSA), and radiographic dye (Histopaque 1077) (all from Sigma Chemical, St. Louis, MO); D-Phe-Pro-Arg (phenylalanine-proline-arginine) chloromethyl ketone dihydrochloride (PPAK) (Calbiochem-Novabiochem, San Diego, CA); fetal bovine serum (FBS), Hanks' balanced salt solution (HBSS), RPMI 1640, streptomycin sulfate, and sodium pyruvate (Gibco Life Technologies, Grand Island, NY); and microscope coverslides (24 mm × 50 mm, No. 2 thickness) (Fisher Scientific, Dallas, TX).
Proteins
Antibodies
We purchased antihuman CD43 monoclonal antibodies (mAbs) (clone DF-T1; Sigma Chemical) and anti–L-selectin mAb DREG-5640 (Dr T. K. Kishimoto, Boehringer Ingelheim Pharmaceuticals, Ridgefield, CT). The antihuman P-selectin mAbs S12 and G1 were prepared and characterized as described previously.33-35 G1, but not S12, blocks binding of P-selectin to leukocytes and PSGL-1.33,36 The antihuman PSGL-1 mAbs PL1 and PL2 were prepared as previously described.37 PL1 blocks PSGL-1 binding to P-selectin and L-selectin but not to E-selectin.8,37,38 PL2 does not inhibit PSGL-1 binding to P-, E-, or L-selectin. The antihuman E-selectin mAbs ES1 and ES2 were produced using previously described methods.39 ES1, but not ES2, blocks E-selectin binding to neutrophils. The antiplatelet αIIb integrin antibody Tab was prepared as described.41 42
Cell isolation
Human neutrophils were isolated from heparinized blood by dextran sedimentation, hypotonic lysis, and Ficoll-Hypaque density gradient centrifugation, as previously described.43 HL-60 cells (American Type Culture Collection, Rockville, MD) are a human myeloid cell line that expresses PSGL-1 but little or no L-selectin. The cells were maintained in RPMI 1640 medium supplemented with 100 units/mL penicillin G sodium, 100 units/mL streptomycin sulfate, 1 mmol/L sodium pyruvate, and 15% FBS. Transfected murine L1-2 pre-B cells expressing human P-, E-, or L-selectin44-46 (Dr T. K. Kishimoto, Boehringer Ingelheim Pharmaceuticals) were maintained in RPMI 1640 medium supplemented with 10% heat-inactivated FBS, 2 mmol/L L-glutamine, 0.05 mg/mL gentamicin, 0.055 mmol/L 2-mercaptoethanol, 0.11 mmol/L sodium hypoxanthine, 0.017 mmol/L thymidine, 0.13 mg/mL xanthine, 2.6 μg/mL mycophenolic acid, and 5.4 mmol/L hydrochloric acid (HCl).
Preparation of lipid vesicles and lipid bilayers
The procedures to produce lipid vesicles and lipid bilayers with an incorporated adhesion molecule were adapted from Mimms et al47 and McConnell et al.48 Egg phosphatidylcholine (5 mg) dissolved in chloroform was dried under nitrogen in a test tube to produce a thin lipid film. Octyl-β-D-glucopyranoside (0.03 g) was added to the tube containing the dried lipid. The lipid film and detergent were dissolved in an aqueous buffer containing 25 mmol/L Tris HCl (tris[hydroxymethyl] aminomethane) and 150 mmol/L sodium chloride (NaCl; pH 7.4). The lipid was dissolved in 300 μL total volume of buffer that included either purified P-selectin or PSGL-1 to be incorporated into the vesicles. The solution was added to cellulose ester dialysis membrane tubing (Spectra/Por 3500 MWCO), and the detergent was removed by dialysis against 25 mmol/L Tris HCl and 150 mmol/L NaCl (pH 7.4) for 2 days with 2 changes of dialysis buffer. Lipid bilayers were formed on super-clean glass coverslides (24 mm × 50 mm) that were prepared by boiling the slides in detergent (Alconox) for 15 minutes, rinsing them with ultrapure water, and storing the slides in methanol at 4°C. A super-clean coverslide was coated with a lipid bilayer by placing the glass slide on a drop of vesicle solution (35-50 μL) for 5 minutes.
Isolation of platelets and PMPs
Whole blood was mixed with one-ninth volume of ACD anticoagulant and 0.2 μg/mL PGE1. The blood was centrifuged at 250g for 15 minutes to pellet erythrocytes and leukocytes. The platelet-rich plasma (PRP) was centrifuged at 1250g for 15 minutes to pellet the platelets and produce a platelet-poor plasma (PPP) supernatant. The PPP was centrifuged twice more at 1250g for 15 minutes to remove the remaining platelets. The final supernatant was PPP containing only PMPs (particles less than approximately 1.0 μm) as shown by flow cytometry.
Generation of PMPs by calcium ionophore
The generation of PMPs by calcium ionophore was adapted from published procedures.49 50 The platelet pellet from 20 mL of blood was resuspended in 6 mL of wash buffer (9 mmol/L Na2EDTA, 26.4 mmol/L Na2HPO4, and 140 mmol/L NaCl; pH 7.4) and centrifuged at 1250g for 15 minutes. This was repeated twice to remove the plasma from the platelets. The final platelet pellet was resuspended in 6-7 mL of 137 mmol/L NaCl, 4 mmol/L KCl, 0.5 mmol/L MgCl2, 0.5 mmol/L Na2HPO4, 5.5 mmol/L glucose, 10 mmol/L HEPES, and 2 mmol/L calcium dichloride (CaCl2; pH 7.4). The calcium ionophore A23187 in DMSO was added to a final concentration of 10 μmol/L, and the platelet suspension was incubated at 37°C for 20 minutes, with occasional stirring. After incubation, the platelets were pelleted by centrifugation at 1250g for 15 minutes. This was repeated to remove all the platelets. The resultant supernatant contained only PMPs in buffer, as shown by flow cytometry.
Removal of PMPs by centrifugation
PRP, obtained as described above, was stimulated with the calcium ionophore A23187 at a final concentration of 10 μmol/L for 20 minutes at 37°C. The platelet suspension was then centrifuged 3 times at 1250g for 15 minutes each time to generate a PPP that was rich in PMPs. A portion of the PPP was then subjected to high-speed centrifugation, 100 000g, for 2 hours.
Generation of PMPs by stored platelets
PRP was obtained as described above and incubated at room temperature for 5 days. PMPs were generated spontaneously and detected by flow cytometry. Platelets were removed from the PRP by centrifugation at 1250g for 15 minutes.
Detection of PMPs by flow cytometry
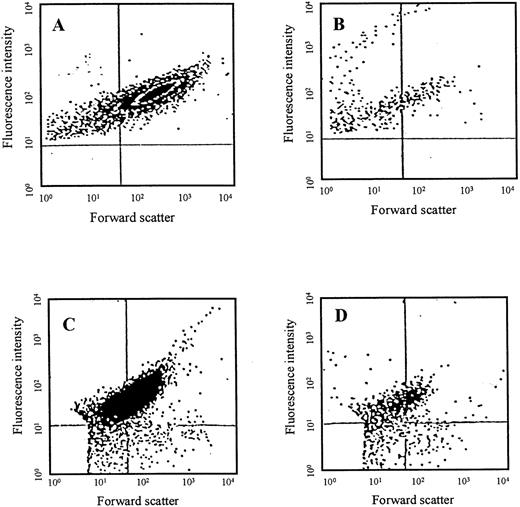
PMPs were detected and distinguished from platelets by flow cytometry (FACScan, Becton Dickinson, San Jose, CA). The sample to be tested (10 μL) was added to 200 μL buffered saline glucose citrate (BSGC: 1.6 mmol/L KH2PO4, 8.6 mmol/L Na2HPO4, 0.12 mol/L NaCl, 13.6 mmol/L Na3C6H5O7, and 11.1 mmol/L glucose; pH 7.3). A saturating concentration of a fluorescent anti-αIIb antibody (2 μg Tab-FITC [fluorescein isothiocyanate]), which binds to the platelet integrin GP IIb/IIIa, was added and allowed to incubate at room temperature for 20 minutes. BSGC was added to bring the total volume up to 2.0 mL. The sample was analyzed on the flow cytometer, and PMPs were identified based on their fluorescence and forward scatter in relation to a platelet control.29 PMPs were defined as events with elevated levels of fluorescence that were less than approximately 1 μm in size. As shown in Figure1, PRP from freshly drawn blood contained very few PMPs (3%-5% of events). The concentration of PMPs increased in PRP that had been stored at room temperature for 5 days (approximately 30% of events). Activating washed platelets with calcium ionophore produced a plasma-free buffer rich in PMPs (65%-70% of events). Further quantification of the concentration of PMPs was attempted using flow cytometry of PMP suspensions prepared with known concentrations of red blood cells. This method failed to produce consistent results, possibly because some PMPs, which are capable of mediating adhesive events, are too small to be detected by flow cytometry.
Representative flow cytometry dot plots depicting fluorescence intensity (anti-IIb antibody Tab-FITC) versus forward scatter intensity of platelets and PMPs.
The following are depicted: (A) PRP from freshly drawn blood; (B) PPP that has been centrifuged 3 times at 1250g; (C) PRP from blood that has been stored for 5 days; and (D) PPP from stored blood. The vertical gate was drawn to identify particles less than approximately 1 μm in size, and the horizontal gate was drawn at a fluorescence intensity above the background level. Events were collected for 90 seconds for all cases.
Representative flow cytometry dot plots depicting fluorescence intensity (anti-IIb antibody Tab-FITC) versus forward scatter intensity of platelets and PMPs.
The following are depicted: (A) PRP from freshly drawn blood; (B) PPP that has been centrifuged 3 times at 1250g; (C) PRP from blood that has been stored for 5 days; and (D) PPP from stored blood. The vertical gate was drawn to identify particles less than approximately 1 μm in size, and the horizontal gate was drawn at a fluorescence intensity above the background level. Events were collected for 90 seconds for all cases.
HL-60/HL-60 and neutrophil/HL-60 interactions mediated by PMPs
The fluid mechanical environment found in the microvasculature was recreated in a parallel plate flow chamber as previously described.51 52 A mAb-coated glass slide was prepared by placing a microscope coverslip on a 40-μL drop of an antihuman CD43 mAb solution (2.0-2.5 μg mAb) for 5 minutes at room temperature before attaching the slide to the flow chamber. HL-60 cells were attached to the antihuman CD43 mAb-coated glass slide by infusing a high concentration of cells (1 × 106/mL) into the flow chamber and allowing the cells to settle onto the surface for 10 minutes. The unbound cells were washed out of the flow chamber by withdrawing HBSS through the system at 1.4 dyne/cm2 for 5 minutes. The bound cells did not roll or detach under the levels of shear stress studied. Typically 20-40 cells remained randomly attached to the surface in a 20× field of view (approximately 0.12 mm2). The HL-60 cells and neutrophils used in the cell-cell interaction assays were washed twice with 5 mmol/L EDTA in HBSS, washed once with HBSS, and resuspended in HBSS/0.6% HSA. PMPs generated by calcium ionophore, PMPs in new PPP, or PMPs in 5-day-old PPP were added at various concentrations to a 6-mL suspension of HL-60 cells or neutrophils and allowed to incubate at room temperature for 15 minutes. The HL-60 cells or neutrophils (final concentration 1 × 106/mL in HBSS/0.6% HSA for all experiments) were withdrawn over the prebound HL-60 cells to determine the effect of PMPs on cell-cell interactions. A cell-cell interaction was defined as a suspended cell binding to a prebound cell for at least 1 video frame (0.033 seconds).
In some experiments, HL-60 cells or neutrophils (1 × 106/mL) in HBSS/0.6% HSA were incubated for 15 minutes at room temperature with 10 μg/mL PL1, PL2, G1, or S12 mAbs or 5 μg/mL DREG-56 in the presence of PMPs. For experiments performed in the presence of plasma, 60 μmol/L final concentration (from 10 μg/μL of a stock solution dissolved in 10 mmol/L HCl) or heparin (7.5 units/mL) were added to prevent fibrin formation.
Analysis of the shear stress requirement for tether formation
Transfected murine L1-2 pre-B cells expressing E-, P-, or L-selectin (1 × 106/mL) in HBSS/0.6% HSA were withdrawn, at various shear stresses, through the flow chamber over HL-60 cells prebound to the antihuman CD43-coated glass slide. The pre-B cells interacted transiently with the prebound cells. The normalized rate of transient cell-cell interactions was determined by counting the number of interactions and dividing by the number of HL-60 cells prebound on the surface, the duration of the experiment, and the flux of pre-B cells through the flow chamber. The number of HL-60 cells in a field of view was always in the range of 20 to 40 cells. We assume that over this narrow range of cell-surface densities, the rate of transient interactions will scale linearly with the density. The transient interaction rate scales linearly with time because the interactions are very short-lived events. Additionally, no change in the rate of transient tether formation was observed during the course of the experiment, which typically lasted 10-15 minutes.
In some experiments, pre-B cells expressing E-, P-, or L-selectin (1 × 106/mL) were withdrawn over prebound HL-60 cells in the presence of various blocking and nonblocking antibodies to show the specificity of the interactions. The cells were incubated for 10 minutes at room temperature with 10 μg/mL PL1, PL2, ES1, ES2, or G1 mAbs or 5 μg/mL DREG-56. The antibody remained in suspension throughout the duration of the experiment.
Results
HL-60 cell-cell interactions mediated by PMPs derived from new and old PRP
To determine whether PMPs can mediate leukocyte-leukocyte interactions, we used HL-60 cells that express PSGL-1 but lack L-selectin, which has been shown to mediate leukocyte-leukocyte adhesion.8 The surface of the flow chamber consisted of HL-60 cells prebound to an antihuman CD43 mAb-coated glass slide. This surface was used to study leukocyte-leukocyte interactions in a system where the only source of P-selectin was the PMPs. Washed HL-60 cells incubated with various concentrations of PMPs were withdrawn over the adherent HL-60 cells at 0.4 dyne/cm2. The number of cell-cell interactions was counted and normalized by the number of cells on the surface and the duration of the experiment. A cell-cell interaction was defined as a flowing cell binding to an attached cell for at least 1 video frame. The cell-cell interactions were transient: A flowing cell would attach to a bound cell briefly (less than 2-3 seconds) then release back into the flowing stream. In the absence of PMPs, very few flowing HL-60 cells tethered to adherent HL-60 cells. The addition of 1-4 mL PMP suspension in new PPP had little effect on the rate of cell-cell interaction (Figure2). This corresponded to a final PMP concentration that was approximately one-half to twice the normal concentration in blood. The PPP from aged PRP contained approximately 10 times the normal concentration of PMPs. Increasing concentrations of these PMPs significantly enhanced tethering of flowing HL-60 cells to adherent HL-60 cells (P < .05). At higher concentrations of PMPs than illustrated in Figure 2, the HL-60 cells formed large aggregates (typically 10 to more than 30 cells), thereby decreasing their ability to tether to adherent HL-60 cells at the shear rate examined.
HL-60 cell-cell interactions mediated by PMPs in new and old PPP.
HL-60 cells (total volume, 6 mL) were incubated with PMPs from freshly drawn blood (new PPP) or PMPs generated by aging PRP for 5 days (old PPP). HL-60 cells in the presence of PMPs were withdrawn over HL-60 cells prebound to an antihuman CD43 mAb-coated glass slide at 0.4 dyne/cm2. The normalized rate of transient interactions of flowing HL-60 cells with prebound HL-60 cells was calculated by dividing the total number of transient interactions by the number of HL-60 cells on the surface and the duration of the experiment. No significant increase in the number of cell-cell interactions occurred with the addition of new PPP. *Indicates that significantly more cell-cell interactions occurred with the addition of old PPP (P < .001). The graph is representative of 5 independent experiments.
HL-60 cell-cell interactions mediated by PMPs in new and old PPP.
HL-60 cells (total volume, 6 mL) were incubated with PMPs from freshly drawn blood (new PPP) or PMPs generated by aging PRP for 5 days (old PPP). HL-60 cells in the presence of PMPs were withdrawn over HL-60 cells prebound to an antihuman CD43 mAb-coated glass slide at 0.4 dyne/cm2. The normalized rate of transient interactions of flowing HL-60 cells with prebound HL-60 cells was calculated by dividing the total number of transient interactions by the number of HL-60 cells on the surface and the duration of the experiment. No significant increase in the number of cell-cell interactions occurred with the addition of new PPP. *Indicates that significantly more cell-cell interactions occurred with the addition of old PPP (P < .001). The graph is representative of 5 independent experiments.
HL-60 cell-cell interactions mediated by PMPs generated by calcium ionophore
We investigated the possibility that a plasma component was required for the observed cell-cell interactions by generating microparticles from washed platelets with the ionophore A23187. As illustrated in Figure 3, serial increases in the concentration of these PMPs also significantly increased the number of cell-cell interactions (P < .05 for more than 0.2 mL PMP). As occurred with the microparticles generated from aged PRP, high concentrations of washed PMPs caused significant HL-60 cell aggregation, thereby decreasing transient tethering to adherent HL-60 cells.
HL-60 cell-cell interactions mediated by PMP that was generated by the calcium ionophore A23187.
HL-60 cells (total volume, 6 mL) incubated with PMPs in a calcium-containing buffer were withdrawn at 0.4 dyne/cm2over HL-60 cells prebound to an antihuman CD43 mAb-coated glass slide. The control consisted of washed HL-60 cells with no PMPs. *Indicates that significantly more cell-cell interactions occurred with the addition of PMP (P <.05) compared to control levels. The normalized rate of transient HL-60 cell interactions was determined as in Figure 2. The graph is representative of 5 independent experiments.
HL-60 cell-cell interactions mediated by PMP that was generated by the calcium ionophore A23187.
HL-60 cells (total volume, 6 mL) incubated with PMPs in a calcium-containing buffer were withdrawn at 0.4 dyne/cm2over HL-60 cells prebound to an antihuman CD43 mAb-coated glass slide. The control consisted of washed HL-60 cells with no PMPs. *Indicates that significantly more cell-cell interactions occurred with the addition of PMP (P <.05) compared to control levels. The normalized rate of transient HL-60 cell interactions was determined as in Figure 2. The graph is representative of 5 independent experiments.
We further demonstrated that PMPs were responsible for the cell-cell interactions by using high-speed centrifugation of ionophore-treated PRP to remove PMPs. Addition of the resulting supernatant to an HL-60 cell suspension (final concentration, 106 cells/mL) did not increase the rate of cell-cell interactions at 0.4 dyne/cm2(data not shown). This demonstrated that the adhesive activity could be removed by high-speed centrifugation.
HL-60 cell-cell interactions mediated by PMPs require P-selectin and PSGL-1
HL-60 cell-cell interaction assays with PMPs generated by calcium ionophore from washed platelets were performed in the presence of blocking and nonblocking antibodies to determine the specificity of the interactions. The nonblocking anti–P-selectin antibody S12 and the nonblocking anti–PSGL-1 antibody PL2 did not significantly inhibit PMP-enhanced HL-60 cell-cell interactions (Figure4). However, the anti–P-selectin blocking antibody G1 or the anti–PSGL-1 blocking antibody PL1 eliminated the HL-60 cell-cell interactions (Figure 4). Therefore, P-selectin and PSGL-1 mediated the HL-60 cell-cell interactions produced by PMPs.
HL-60 cell-cell interactions mediated by PMPs require P-selectin and PSGL-1.
HL-60 cells incubated with PMPs generated by calcium ionophore were withdrawn at 0.4 dyne/cm2 over HL-60 cells prebound to an antihuman CD43 mAb-coated slide in the presence of various blocking and nonblocking antibodies. The control consisted of washed HL-60 cells with no PMPs. The normalized rate of transient HL-60 cell interactions was determined as in Figure 2. The graph is representative of 2 independent experiments.
HL-60 cell-cell interactions mediated by PMPs require P-selectin and PSGL-1.
HL-60 cells incubated with PMPs generated by calcium ionophore were withdrawn at 0.4 dyne/cm2 over HL-60 cells prebound to an antihuman CD43 mAb-coated slide in the presence of various blocking and nonblocking antibodies. The control consisted of washed HL-60 cells with no PMPs. The normalized rate of transient HL-60 cell interactions was determined as in Figure 2. The graph is representative of 2 independent experiments.
Neutrophil/HL-60 cell-cell interactions mediated by PMPs
Unlike HL-60 cells, neutrophils express PSGL-1 as well as L-selectin, which binds to PSGL-1. Neutrophils (1 × 106/mL) in HBSS/0.6% HSA were perfused over HL-60 cells prebound to antihuman CD43 mAb. Cell-cell interactions between flowing neutrophils and adherent HL-60 cells occurred readily without the addition of PMPs (Figure 5A). These cell-cell interactions were mediated by L-selectin since they were largely eliminated in the presence of the blocking anti–L-selectin mAb DREG-56 (P < .01; Figure 5A). In the presence of DREG-56, the addition of PMPs significantly increased the rate of neutrophil interactions with bound HL-60 cells (P < .01; Figure 5A). Increasing the concentration of PMPs (1.5 mL) increased the number of cell-cell interactions (data not shown).
Interactions of neutrophils with HL-60 cells mediated by PMPs in the presence of an anti–L-selectin antibody.
(A) Neutrophils (total volume, 6 mL) were withdrawn at 1.0 dyne/cm2 over HL-60 cells prebound to an antihuman CD43 mAb-coated glass slide. The normalized rate of neutrophil–HL-60 cell interactions was counted. Error bars represent ± SEM (standard error of the mean) (n = 3). (B) Neutrophils (total volume, 6mL) incubated with 0.4 mL PMPs and generated by the calcium ionophore A23187 were withdrawn at 1.0 dyne/cm2. The cells were withdrawn in the presence of both anti–L-selectin mAb DREG-56 to eliminate L-selectin–dependent binding to PSGL-1 and anti–P-selectin antibodies S12 (nonblocking) or G1 (blocking) or in the presence of DREG-56 together with either of the anti–PSGL-1 mAbs PL2 (nonblocking) or PL1 (blocking). Cells were withdrawn over HL-60 cells bound to an antihuman CD43 mAb-coated glass slide. The normalized rate of neutrophil–HL-60 cell interactions was counted. Error bars represent ± SEM.
Interactions of neutrophils with HL-60 cells mediated by PMPs in the presence of an anti–L-selectin antibody.
(A) Neutrophils (total volume, 6 mL) were withdrawn at 1.0 dyne/cm2 over HL-60 cells prebound to an antihuman CD43 mAb-coated glass slide. The normalized rate of neutrophil–HL-60 cell interactions was counted. Error bars represent ± SEM (standard error of the mean) (n = 3). (B) Neutrophils (total volume, 6mL) incubated with 0.4 mL PMPs and generated by the calcium ionophore A23187 were withdrawn at 1.0 dyne/cm2. The cells were withdrawn in the presence of both anti–L-selectin mAb DREG-56 to eliminate L-selectin–dependent binding to PSGL-1 and anti–P-selectin antibodies S12 (nonblocking) or G1 (blocking) or in the presence of DREG-56 together with either of the anti–PSGL-1 mAbs PL2 (nonblocking) or PL1 (blocking). Cells were withdrawn over HL-60 cells bound to an antihuman CD43 mAb-coated glass slide. The normalized rate of neutrophil–HL-60 cell interactions was counted. Error bars represent ± SEM.
Neutrophil/HL-60 cell-cell interactions mediated by PMPs were dependent on P-selectin and PSGL-1, as shown by the addition of blocking and nonblocking antibodies (Figure 5B). Neutrophils were incubated with the anti–L-selectin mAb DREG-56 and with PMPs (0.4 mL). The nonblocking anti–P-selectin antibody S12 or the nonblocking anti–PSGL-1 antibody PL2 did not eliminate the neutrophil/HL-60 cell-cell interactions (Figure 5B). In contrast, the blocking anti–P-selectin antibody G1 or the blocking anti–PSGL-1 antibody PL1 greatly reduced the number of neutrophil/HL-60 cell-cell interactions (Figure 5B).
In the presence of calcium-ionophore–generated PMPs, flowing neutrophils formed small aggregates of 3-5 cells, interacted with bound HL-60 cells, and then accumulated on the surface. Neutrophil aggregation and accumulation on the surface were eliminated in the presence of the anti–P-selectin blocking antibody G1 and the anti–PSGL-1 blocking antibody PL1. This indicates that PMPs mediate neutrophil aggregation and surface accumulation through cell-cell interactions.
Differential effect of shear stress on bond formation through selectins
L-selectin–ligand bonds dissociate much faster than P-selectin–ligand bonds. One consequence of this is that there is a much more pronounced threshold shear stress required to support L-selectin–mediated cell tethering and rolling.12,13,53 54We confirmed this finding in a system in which murine pre-B cells expressing L-, E-, or P-selectin were perfused over prebound PSGL-1–expressing HL-60 cells at different shear stresses. Transient tethers of L-selectin–expressing cells reached a maximum between 1.0 and 1.4 dyne/cm2. At shear stresses less than 1.0 dyne/cm2 or greater than approximately 2.0 dyne/cm2, the rate of transient cell-cell interactions decreased dramatically (Figure 6). Transient tethers of pre-B cells expressing P- or E-selectin continued to increase at shear stresses as low as 0.4 dyne/cm2(Figure 6). The shear dependence on tether formation between L-selectin and PSGL-1 was also obtained when neutrophils were withdrawn over prebound HL-60 cells or over a phospholipid bilayer containing purified PSGL-1 (data not shown).
Shear stress requirement for adhesion of flowing selectin-expressing cells to adherent HL-60 cells.
HL-60 cells were prebound to an antihuman CD43 mAb-coated glass slide. Pre-B L1-2 cells expressing P-, E-, or L-selectin were withdrawn over the prebound HL-60 cells. The number of transient cell-cell interactions was counted and normalized for the number of prebound HL-60 cells, the duration of the experiment, and the flux of cells passing through the system. The data are the average of 2 independent experiments.
Shear stress requirement for adhesion of flowing selectin-expressing cells to adherent HL-60 cells.
HL-60 cells were prebound to an antihuman CD43 mAb-coated glass slide. Pre-B L1-2 cells expressing P-, E-, or L-selectin were withdrawn over the prebound HL-60 cells. The number of transient cell-cell interactions was counted and normalized for the number of prebound HL-60 cells, the duration of the experiment, and the flux of cells passing through the system. The data are the average of 2 independent experiments.
PMP-mediated cell-cell interactions at low shear stresses
We next determined if PMPs could enhance accumulation of neutrophils on a selectin substrate in the presence of shear stress in addition to the increased rate of transient tether formation demonstrated above. Neutrophils (1 × 106/mL) in HBSS/0.6% HSA were withdrawn over a planar lipid bilayer containing P-selectin, and the number of cells that accumulated on the surface was determined as a function of time (Figure 7). Most neutrophils withdrawn over the P-selectin bilayer at 1.4 dyne/cm2 accumulated on the surface in lines or strings as a consequence of initial binding followed by L-selectin–mediated cell-cell interactions. Blocking these cell-cell interactions with the anti–L-selectin mAb DREG-56 significantly reduced accumulation on the P-selectin substrate by approximately 70% (P < .01; Figure7). Accumulation of neutrophils on the P-selectin bilayer at 0.4 dyne/cm2 occurred largely through attachment of cells directly to the surface (primary attachment) and only occasionally through cell-cell interactions (secondary attachment). The increased ability of cells to bind directly to P-selectin on the surface under low shear stress did not offset the overall reduction in accumulation because of less efficient L-selectin–mediated cell-cell interactions. Consequently, neutrophil accumulation at 0.4 dyne/cm2 was significantly reduced. In the presence of PMPs, secondary attachment of neutrophils to the surface occurred at 0.4 dyne/cm2, and accumulation of neutrophils was significantly increased (P < .05; Figure 7).
Neutrophil accumulation on a P-selectin bilayer enhanced by PMP-mediated cell-cell interactions.
Neutrophils were withdrawn over a bilayer containing P-selectin at 1.4 dyne/cm2 in the presence or absence of the anti–L-selectin mAb DREG-56 and at 0.4 dyne/cm2 in the presence or absence of PMPs (0.4 mL) generated by calcium ionophore. *Indicates that the anti–L-selectin antibody significantly reduced neutrophil accumulation on the surface at 5 minutes (P < .01). **Indicates that the addition of PMPs significantly increased neutrophil accumulation at 5 minutes (P < .01). The number of rolling cells on the surface at various time intervals was normalized by assigning the value at 5 minutes for 1.4 dyne/cm2 in the absence of DREG-56 as 100%. Error bars represent ± SEM (n = 3; n = 2 for DREG-56).
Neutrophil accumulation on a P-selectin bilayer enhanced by PMP-mediated cell-cell interactions.
Neutrophils were withdrawn over a bilayer containing P-selectin at 1.4 dyne/cm2 in the presence or absence of the anti–L-selectin mAb DREG-56 and at 0.4 dyne/cm2 in the presence or absence of PMPs (0.4 mL) generated by calcium ionophore. *Indicates that the anti–L-selectin antibody significantly reduced neutrophil accumulation on the surface at 5 minutes (P < .01). **Indicates that the addition of PMPs significantly increased neutrophil accumulation at 5 minutes (P < .01). The number of rolling cells on the surface at various time intervals was normalized by assigning the value at 5 minutes for 1.4 dyne/cm2 in the absence of DREG-56 as 100%. Error bars represent ± SEM (n = 3; n = 2 for DREG-56).
PMPs support cell-cell interactions at lower shear stress
HL-60 cells incubated with various concentrations of PMPs were withdrawn over prebound HL-60 cells. The HL-60 cell suspension was perfused over a range of shear stresses to determine the effect of increased PMP concentrations on the production of cell-cell interactions at both higher and lower shear stresses. PMPs were able to support cell-cell interactions at shear stresses as low as 0.15 dyne/cm2 (Figure 8). Increasing the concentration of PMPs significantly increased the rate of cell-cell interactions (P < 0.05). These P-selectin–mediated interactions may occur at even lower shear stresses, but we were not able to determine a lower shear stress limit for PMP-mediated cell-cell interactions due to increasing nonspecific interactions.
Cell-cell interactions occur over a wider range of shear stresses with increased concentrations of PMPs.
HL-60 cells incubated with various concentrations of PMPs generated by calcium ionophore were withdrawn over HL-60 cells prebound to an antihuman CD43 mAb-coated glass slide. The number of transient cell-cell interactions was counted and normalized for the number of cells on the surface, duration of the experiment, and flux of cells passing through the flow chamber. *Indicates that there were significantly more cell-cell interactions with 0.8 mL PMPs than with 0.1 mL PMPs (P < .05). The data are representative of 4 independent experiments.
Cell-cell interactions occur over a wider range of shear stresses with increased concentrations of PMPs.
HL-60 cells incubated with various concentrations of PMPs generated by calcium ionophore were withdrawn over HL-60 cells prebound to an antihuman CD43 mAb-coated glass slide. The number of transient cell-cell interactions was counted and normalized for the number of cells on the surface, duration of the experiment, and flux of cells passing through the flow chamber. *Indicates that there were significantly more cell-cell interactions with 0.8 mL PMPs than with 0.1 mL PMPs (P < .05). The data are representative of 4 independent experiments.
Discussion
PMPs released from activated platelets express functional adhesion receptors including P-selectin. Plasma PMP concentrations are elevated in patients with thrombotic and inflammatory disorders, and the role of PMPs in enhancing leukocyte aggregation and adhesion to vascular surfaces has not been addressed. We have shown that PMPs can mediate leukocyte-leukocyte interactions and that these attachments lead to increased accumulation of leukocytes on a P-selectin surface. Since PMPs use P-selectin to bridge leukocytes, they occur at lower shear stresses than leukocyte-leukocyte interactions mediated by L-selectin.
The number of leukocyte-leukocyte interactions depended on the concentration of PMPs. Near normal concentrations of PMPs did not greatly increase the number of interactions. However, elevated PMP concentrations in disease states can be as high as 100 times the normal concentration.30 Therefore, higher concentrations of PMP suspensions were prepared by aging PRP or, alternatively, by activating platelets with calcium ionophore. These procedures yielded PMP suspensions with concentrations up to 30 times the normal levels.
To investigate the possible role of PMPs in leukocyte aggregation and recruitment through cell-cell interactions, HL-60 cells, which express PSGL-1, were prebound to a glass slide with an antibody to the CD43 mAb. This provided a system in which P-selectin was not directly on the surface. Using HL-60 cells that lack L-selectin, we showed that PMPs mediated cell-cell interactions under flow. Since there was no P-selectin on the surface, we could use antibodies against P-selectin and PSGL-1 to demonstrate the specificity of the PMP-mediated cell-cell interactions. Neutrophils express L-selectin and were able to interact efficiently with prebound HL-60 cells over a range of shear stresses above a threshold level. These L-selectin–dependent cell-cell interactions could be efficiently blocked using an anti–L-selectin antibody. The addition of PMPs to neutrophils that had the L-selectin adhesion mechanism blocked promoted neutrophil interactions with the bound HL-60 cells. These cell-cell interactions were P-selectin dependent, thereby verifying that the P-selectin–expressing PMPs could produce neutrophil/HL-60 cell-cell interactions in an L-selectin–deficient system.
PMPs enhanced accumulation of rolling neutrophils on a P-selectin substrate, particularly at lower shear stresses. At 1.4 dyne/cm2, most neutrophils accumulated on P-selectin by secondary attachments that followed neutrophil-neutrophil contacts mediated through L-selectin. At 0.4 dyne/cm2, L-selectin–dependent cell-cell interactions were much less efficient, and fewer rolling neutrophils accumulated on P-selectin. However, the addition of PMPs enhanced neutrophil-neutrophil interactions, thereby increasing the number of cells rolling on the P-selectin substrate. In vivo, activated platelets augment delivery of lymphocytes to lymph nodes by simultaneously binding to P-selectin ligands on endothelial cells and lymphocytes.46 55 PMPs might be able to perform a similar function. Our data also suggest that PMPs may enhance leukocyte accumulation by promoting the tethering of flowing leukocytes to leukocytes already rolling on the endothelial surface. With this mechanism, endothelial cells need not express a ligand for P-selectin. Further studies are required to determine whether microparticle-mediated leukocyte-leukocyte contacts are favored in the whole-blood environment found in vivo.
The ability of L-selectin to mediate tethering of cells to peripheral node addressin or other ligands has been shown to decrease at low shear stresses.12 54 We found a similar minimal shear requirement for L-selectin to mediate tethering to PSGL-1 on adherent HL-60 cells or to PSGL-1 incorporated into planar lipids. This shear stress requirement for efficient bond formation may be a control mechanism to limit leukocyte accumulation through L-selectin–dependent interactions in low shear environments. The presence of P-selectin–expressing PMPs might increase leukocyte accumulation on vascular surfaces at low shear stresses that do not support L-selectin–dependent interactions. Low concentrations of microparticles may augment physiological hemostasis and inflammation. However, elevated levels of PMPs may amplify leukocyte-mediated tissue injury in thrombotic and inflammatory disorders.
Acknowledgments
The authors thank George Dale for reviewing the manuscript and Laura Worthen for technical assistance.
Supported by grant HN6-017 from the Oklahoma Center for Advancement of Science and Technology, Oklahoma City, Oklahoma, and by grant HL54304 from the National Institutes of Health, Bethesda, MD.
Reprints:Matthias U. Nollert, University of Oklahoma, School of Chemical Engineering and Materials Science, 100 E. Boyd, Energy Center, Room T-335, Norman, OK 73019; email:nollert@ou.edu.
The publication costs of this article were defrayed in part by page charge payment. Therefore, and solely to indicate this fact, this article is hereby marked “advertisement” in accordance with 18 U.S.C. section 1734.








