Introduction: Splenic marginal zone lymphoma (SMZL) is an indolent B-cell non-Hodgkin lymphoma that usually presents in elderly patients with splenomegaly, lymphocytosis, and cytopenias (either due to hypersplenism or autoimmune phenomena). Treatment of SMZL has advanced over the past decade including identification of better tolerable chemotherapy regimens (such as rituximab and bendamustine) and the advent of novel agents (such as ibrutinib and lenalidomide). We sought to determine whether advances in treatment and supportive care over the past decade have translated to decreased lymphoma-specific mortality among patients with SMZL.
Method: We used the population-based Surveillance, Epidemiology, and End Results (SEER)-18 database. We included adult patients with SMZL diagnosed between 2000-2017 who were 18-84 years old at the time of diagnosis. We excluded patients with a history of malignancy prior to SMZL, those with missing survival times and those with central nervous system involvement. Patients were divided into two cohorts based on period of diagnosis (era-1: 2000-2008, and era-2: 2009-2017). Five-year relative survival (RS) was estimated using the Pohar-Perme method. Differences between RS distributions was tested with a log-rank-type test. The risk of SMZL-specific death was estimated by calculating the cumulative incidence function (CIF). The difference between CIF distributions was tested with the Pepe-Mori test. The competing risks of SMZL-specific death and death from other causes were modeled using Fine and Gray regression. All tests of differences were performed at a two-sided alpha of 0.05.
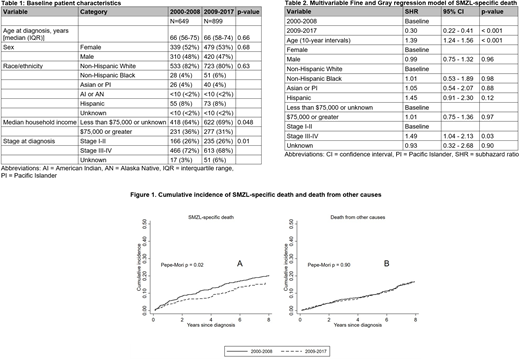
Results: We included 1,548 patients with SMZL. Table 1 shows the baseline characteristics. The median age at diagnosis was 66 years (IQR = 57-74) years. Most patients were non-Hispanic White (81%) with advanced stage at diagnosis (stage III-IV, 70%). Five-year RS was 84% (95% CI = 80-87%) during era-1 and 89% (95% CI = 85-92%) during era-2 (p = 0.21. The CIF distributions for SMZL-specific death and death from other causes are shown in Figure 1A and Figure 1B, respectively (Pepe-Mori p = 0.02). In our multivariable competing risks model, the period of diagnosis, age, and stage at diagnosis were significant predictors of SMZL-specific death (Table 2). Patients in era-2 had significantly lower risk of SMZL-specific death [subhazard ratio (SHR) = 0.30, 95% CI = 0.22-0.41), while the cumulative incidence of mortality significantly increased with age (SHR = 1.39 per decade, 95% CI = 1.24-1.56) and advanced stage (SHR = 1.55, 95% CI= 1.04-2.13).
Conclusion: There has been a significant reduction in the risk of SMZL-specific death for patients with SMZL in the most recent era possibly due to advances in therapy. This reduction in mortality persists even after accounting for competing risks of mortality from other causes.
Olszewski:Spectrum Pharmaceuticals: Research Funding; Adaptive Biotechnologies: Research Funding; TG Therapeutics: Research Funding; Genentech, Inc.: Research Funding. Epperla:Verastem Oncology: Speakers Bureau; Pharmacyclics: Honoraria.
Author notes
Asterisk with author names denotes non-ASH members.
