Abstract
INTRODUCTION
Allogeneic hematopoietic cell transplantation (allo-HCT) is the only curative option for high-risk myelodysplastic syndrome (MDS). Yet, allo-HCT is associated with potentially life-threatening complications such as conditioning-regimen toxicity, graft-versus-host disease (GVHD) and relapse. The ever-rising number of patients undergoing allo-HCT yields an increase of those requiring admission to an intensive care unit (ICU). Despite ICU outcome improvement, ICU admission is not the solution for all patients. Although ICU triage policies are intended to identify patients more likely to recover from life-threatening complications, they may lack of specificity as they often include very heterogeneous cohorts of patients with regard of underlying disease, patient's characteristics and transplantation modalities. It is therefore crucial to more accurately identify prognostic factors that affect the overall survival (OS) of patients treated with allo-HCT. We hereby aimed to establish a prognostic scoring system for OS inclusive of early post-transplant complications suitable to guide clinicians when ICU admission is pondered.
PATIENTS AND METHODS
The SFGM-TC database (PROMISE) was used to retrieve data from patients who underwent allo-HCT for MDS. A derivation cohort comprised data from January 1999 to December 2009. A validation cohort comprised data from January 2010 to December 2013. We included patients above 18 years of age, receiving a first sibling or HLA-matched unrelated allo-HCT at the allele level (so-called 10/10) and surviving more than 100 days after HCT. Patients could receive either bone marrow or peripheral blood stem cells. We excluded patients who received allo-HCT from an HLA-mismatched, haplo-identical donor, or ex-vivo T-cell depleted graft.
To identify prognostic factors of 3-year OS, disease characteristics, donor and patients characteristics, transplantation modalities and early post-transplant complications were analyzed using a multivariable Cox model. Discrimination and calibration performance of the modelwas assessed by calculating c-index and comparing predicted and observed survivals. Finally, to favor daily use in clinical routine, we turned our prediction model into a point scoring system, in which each predictable variable was weighted by the nearest approximation of hazard ratio.
RESULTS
The derivation cohort included 393 patients and the validation cohort included 391 patients. The median follow-up from transplantationwas 3.8 years (range, 0.3 to 11.8 years) and 2.9 years (range, 0.4 to 5.5 years), respectively.
The backward stepwise regression analysis revealed 3 independent predictors of 3-year OS: (i) the grade of acute GVHD (0/I vs. II vs. III/IV), (ii) the relapse before day 100 and (iii) the lack of platelet recovery before day 100 (Table 1). After over-optimism correction, the discrimination of the selected prognostic model was 0.67 (95%CI, 0.63-0.71) with a shrinkage factor of 0.903. A similar discrimination value was found in the validation cohort 0.65 (95%CI, 0.61-0.69)
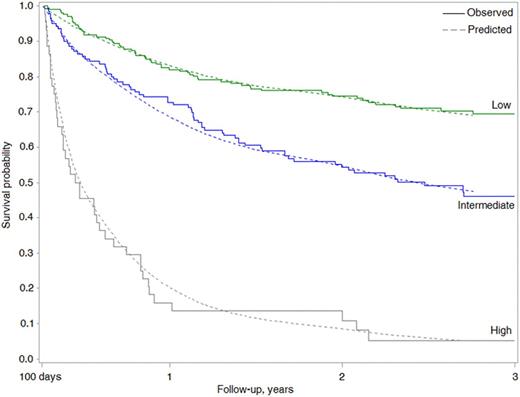
The point scoring system ranged from 0 to 8, discriminating low- (0), intermediate- (1 to 3), and high-risk (4 to 8) patients, according to survival prognosis (Table 2). The observed 3-year OS after transplantation in patients with low, intermediate and high scores was 70% (95%CI, 63% to 76%), 46% (95%CI, 38% to 55%) and 6% (95%CI, 2% to 16%) respectively (Figure 1).
CONCLUSION
We created then validated the first triage prognostic score based on early post-transplant complications, to quickly and simply estimate the survival probability after day 100 when ICU is to be considered. Our findings support the robustness, the reliability and the reproducibility of this scoring system. Additional studies are required to assess whether this scoring system may be suitable for hematologic malignancies other than MDS.
Calibration of survival probability for the continuous prognostic model in the derivation cohort.
Calibration of survival probability for the continuous prognostic model in the derivation cohort.
Michallet:Bristol-Myers Squibb: Consultancy, Honoraria, Research Funding; Pfizer: Consultancy, Honoraria; Novartis: Consultancy, Honoraria; Pfizer: Consultancy, Honoraria; Astellas Pharma: Consultancy, Honoraria; MSD: Consultancy, Honoraria; Genzyme: Consultancy, Honoraria. Peffault De Latour:Novartis: Consultancy, Honoraria, Research Funding; Pfizer: Consultancy, Honoraria, Research Funding; Alexion: Consultancy, Honoraria, Research Funding; Amgen: Research Funding.
Author notes
Asterisk with author names denotes non-ASH members.


