Abstract

Introduction: The risk of graft-rejection after allogeneic hematopoietic cell transplantation using bone marrow and conventional cyclophosphamide-based conditioning is increased in HLA allo-immunized and heavily transfused patients with bone marrow failure syndromes. Recently, we showed that fludarabine-based peripheral blood stem cells transplantation (PBSCT) overcomes the risk of graft-failure in patients with SAA who have failed immunosuppressive therapy (IST). However, this approach was complicated by a high incidence of acute and chronic GVHD. Multivariate analysis showed rapid donor T-cell engraftment (defined as >= 95% donor T-cell chimerism by post-transplant day 30) significantly increased the risk of cGVHD. Based on these data, we developed a novel transplant approach in which a G-CSF mobilized PBSC allograft that was T-cell depleted and CD34+ selected was co-infused with a bone marrow transplant (BMT)-equivalent dose of non-mobilized donor T-cells to facilitate donor engraftment and reduce GVHD by delaying the speed of donor T-cell engraftment.
Method: Patients with transfusion-dependent SAA, refractory to conventional IST, underwent allogeneic PBSCT following cyclophosphamide (60 mg/kg/d IV x 2 days), equine antithymocyte globulin (hATG; 40 mg/kg/d IV x 4 days), and fludarabine (25 mg/m2/d IV x 5 days) conditioning. On day 0, patients received a G-CSF mobilized PBSC allograft from an HLA identical sibling, containing CD34+ selected cells (MiltenyiCliniMACS system: target CD34+ cell dose 8 x 106 cells/kg and target T-cell dose < 3 x 105 cells/kg) combined with 2 x 107CD3+ T-cells/kg that had been collected by apheresis and cryopreserved from the same donor prior to G-CSF mobilization. CSA and mini-dose MTX (5 mg/m2 IV on days 1, 3, 6) were used as GVHD prophylaxis. Transplant outcomes were compared to our historical cohort of patients (n=56) with SAA and other bone marrow failure syndromes who received a T-cell replete PBSC from an HLA matched donor following the identical conditioning and GVHD prophylaxis regimens.
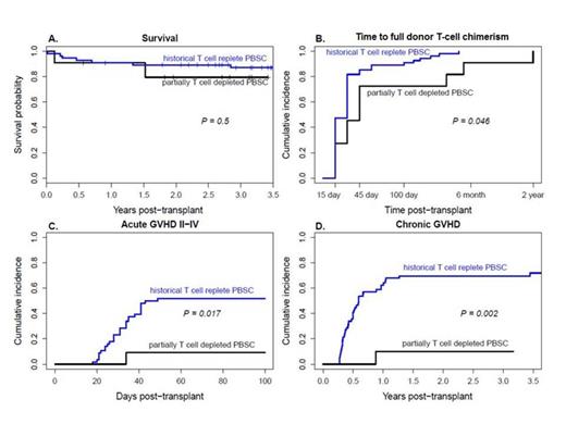
Results: 11 patients with SAA were transplanted. Patients were heavily transfused and highly allo-immunized; the pre-transplant serum ferritin level was markedly elevated at a median 3003 µg/L (range 286 to 13928 µg/L) and 7 patients (64%) were HLA allo-immunized with a median 21% (HLA class I) and 31% (HLA class II) panel-reactive antibodies. All 11 patients (100%) engrafted. The median time to neutrophil and platelet recovery was 14 (range 12 to 23) and 18 (range 14 to 321) days respectively. All patients achieved full and sustained donor T-cell chimerism and myeloid chimerism, which occurred at a median 45 and 15 days post-transplant, respectively. Among those at risk, 6/7 (86%) developed CMV reactivation. EBV reactivation occurred in all cases, including 5 who received preemptive treatment with rituximab. At a median follow-up of 2 years, only 1 patient (9%) has developed acute and another (9%) developed cGVHD (limited, skin). Neither corticosteroid-refractory aGVHD nor extensive cGVHD occurred. Long-term survival was excellent; 10 of 11 patients (91%) survived to day 200; at a median follow-up of 2.7 years, 9/11 (80%) survive. One patient died on day 46 from Klebsiella Pneumoniae carbapenemase bacteremia, which predated the transplant, and another died 18 months post-transplant from bacterial pneumonia. Compared to our historical cohort of marrow failure patients who received a T-cell replete PBSC allograft, patients receiving CD34+ selected cells combined with non-mobilized T-cells (partially T cell depleted PBSC) had similar survival (80% vs 87%;p=0.5), a delay in the time to achieving full donor T-cell chimerism (45 days vs 30 days; p=0.046) and dramatic reductions in both acute grade II-IV GVHD (9% vs 52%; p=0.017) and cGVHD (1 year incidence 9% vs 63%; p=0.002).
Conclusion: In SAA, transplantation of a PBSC allograft containing high numbers of CD34+ selected cells co-infused with a BMT-equivalent dose of non-mobilized T-cells results in excellent engraftment and reduces acute and chronic GVHD by delaying the speed of donor T-cell engraftment.
Townsley:GSK: Research Funding.
Author notes
Asterisk with author names denotes non-ASH members.

This icon denotes a clinically relevant abstract
