Abstract
Background: Chronic Lymphocytic Leukemia (CLL) patients (pts) have significant (sig) heterogeneity; survival ranges from decades to <5 years (yrs). Allogeneic hematopoietic stem cell transplantation (allo-HSCT) is promising treatment (tx) for high-risk pts. Ideally, predictive (pred) tools would allow clinicians to recognize such pts early, permitting transplant performance to maximize benefit and minimize procedure associated risk. Factors with significant (sig) pred capacity are not, however, entirely clarified. Moreover, limited studies compare CLL pts who have/have not received HSCT in terms of differences (diff) in characteristics (char) at diagnosis (dx), population (pop) composition and outcomes. This study evaluates pred factors for outcomes post allo-HSCT, and compares dx char between (bn) tx CLL pts who did /did not receive HSCT by evaluating a large pop-based CLL cohort (n= 1044) from the BC Provincial CLL Database (BCPCD).
Methods: 102 CLL pts (71M, 31F) had consecutive allo-HSCT (01-91 to 03-13, L/BMT Program of BC). Median (med) age (range) at dx:HSCT was 50 (26-65):57 (32-68) yrs; med interval dx to HSCT 5.8 yrs (0.5 to 29). Most pts (78, 76%) received non-ablative therapy; (n=61 [60%] reduced-intensity fludarabine /busulfan [flu/bu] based [RIC], n=17 [17%] non-myeloablative flu-cyclophosphamide based [NMA]); 24 pts had myeloablative (MA) conditioning (CON). Donor status was 50% unrelated (UD) (51UD:51RD); 73M, 28 F.
Results: With median (med) follow up (FU) (range) post allo-HSCT of 2 yrs (0.5-18); post dx of 9 yrs (1-38), 67 (50%) pts survive. 70 (69%) achieved CR post-HSCT a med of 187 (28-1274) days (d). 27 had CLL PROG a med of 339 (25-4367) d; 18 of 27 (67%) survive a med of 3 (0.5-18) yrs post HSCT. Factors pred OS post HSCT (KM p=; UVA HR=) (p<0.05) were: pre-HSCT FISH deletion 17p (del 17p) (0.005; 2.9), Dohner rank (0.02), HSCT specific comorbidity index (CoI) >3 vs. 0-2 (0.04; 2.5), HLA mismatched (MM) donor (0.03;2.3), pre-HSCT tx with alemtuzumab (alem) (0.005;3.0), CON (MA vs NMA or RIC) (0.046; 3.0), acute (A) graft vs host disease (GVHD) grade (g) 3-4 vs 0-2. (<0.001; 4.5), dn chim <90% (0.001; 5.2), abn FISH not clear post-HSCT (0.009; 2.6), yr of HSCT (pre- vs post-2010) (0.03; 3.13) and lack of CR post HSCT (<0.001; 10.5).The following sig pred for (OR; p=): >90% dn chim: no B symptoms at dx (2.5; 0.004), CON (RIC vs. NMA, (2.6; 0.006); clear FISH abn post-HSCT: CR post-HSCT (4.6; 0.004); CR post-HSCT: B symptoms at dx (0.4; 0.02), <=1 FISH abn (1.7; 0.045), rituximab (R) pre-HSCT (2.5; 0.001), clear FISH abn (2.5; 0.01), flu sensitivity (S) pre-HSCT (1.8; 0.03), S to last tx pre-HSCT (1.7; 0.03), CON (MA vs. RIC or NMA) (3.2; <0.001); PROG: Richter’s transformation ( Rich trans) pre-HSCT (3.5; 0.008), graft failure (3.3; 0.008), CoI >3 vs. 0-2 (6.9; 0.006), no R pre-HSCT (6.7; 0.01), CON (MA vs. NMA or RIC), (0.2; 0.03); NRM: pre-HSCT alem (2.7; 0.03), CoI >3 vs. 0-2 (2.7; 0.049), HLA MM (2.8; 0.01), CON (MA vs. rest) (3.0; 0.007), AGVHD g 3-4 vs. 0-2 (5.9; <0.001), FISH abn not clear (2.6; 0.04), and no CR (6.5; <0.001).
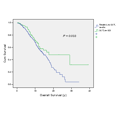
Comparison bn allo-HSCT and BCPCD CLL pts showed sig diff at dx for Dohner FISH rank: more del 17p (23% vs.11%) and 11q (23% vs. 9%) in allo-HSCT pts (n=84 with pre-HSCT FISH); less +12 (13% vs. 17%), del 13q (24% vs.41%) or normal (22% vs 18%), p<0.001 than non-HSCT pts (n=952); Age at dx (med, range) was lower in HSCT (50, 26-65) vs non (62, 25-96), p<0.001; lymphocyte (lymph) count higher (14, 1-300 vs.11, 1-662, p=0.03), tx-free survival (TFS) from dx to 1st tx shorter at 0.75 (0-9.3) vs. 2.86 (0-20.6) yrs. Rich trans was more frequent in HSCT pts (8%) vs. non (3%), p=0.015.OS was sig better for HSCT pts (n=103) (med 17.6, SE 4.5, CI 95% 8.8-26) compared to non (n=494) (med 14.4, SE 1.1, CI 95% 12.1-16.6) (p=0.03).
Conclusion: CLL allo-HSCT pts have sig diff than non including higher lymph at dx, shorter time to 1st tx, and higher risk FISH abn. 17p del remains high-risk with allo-HSCT. Pre-HSCT R increased post HSCT CR. Strategies to optimize post-HSCT CR and dn chim are important; these milestones are crucial to best outcome. PROG post-HSCT does not confer worse OS; rescue strategies are successful and deserve further study. Comparison of this large allo HSCT and pop-based BPCDB cohort indicate improved OS for allo-HSCT tx CLL pts vs. other, with a survival plateau. This data indicates early recognition of high-risk CLL patients for HSCT is likely to yield best long-term outcome.
No relevant conflicts of interest to declare.
Author notes
Asterisk with author names denotes non-ASH members.


