Key Points
DDAVP is the drug of choice for mild hemophilia A and von Willebrand disease and (by unclear mechanisms) for platelet function disorders.
In vivo DDAVP selectively and markedly enhances the ability to form procoagulant platelets by enhancing intracellular Na+ and Ca2+ fluxes.
Abstract
1-deamino-8-d-arginine vasopressin (desmopressin [DDAVP]) is clinically efficacious in patients with mild platelet function disorders but it is not known which mechanisms mediate this effect. Our aim was to evaluate the impact of in vivo DDAVP administration in these patients. We assessed von Willebrand factor (VWF), factor VIII, platelet activation and aggregation, platelet-dependent thrombin generation, and platelet intracellular Na+/Ca2+ fluxes, before and 2 and 4 hours after DDAVP (0.3 µg/kg). We found (1) no significant changes for P-selectin expression, PAC-1 binding, δ-granule content and secretion, and platelet-aggregation; (2) significant decreases of secretion of α-granules and GPIIb-IIIa activation induced by adenosine 5′-diphosphate, convulxin, and thrombin; (3) significant increases of procoagulant platelets induced by convulxin/thrombin and platelet-dependent thrombin generation; and (4) significant increases of intracellular Na+/Ca2+ concentrations. We show that in vivo DDAVP selectively and markedly enhances the ability to form procoagulant platelets and increases platelet-dependent thrombin generation by enhancing Na+/Ca2+ mobilization. This report indicates that the beneficial hemostatic effect of DDAVP is not limited to an increase in large VWF multimers. An enhancement of platelet procoagulant activity appears to be an additional and (at least in platelet disorders) —possibly clinically relevant mechanism of DDAVP’s action.
Introduction
1-deamino-8-d-arginine vasopressin (desmopressin [DDAVP]), a synthetic analog of the natural antidiuretic hormone l-arginine vasopressin, was originally used for treating diabetes insipidus and enuresis.1 The favorable pharmacodynamic profile of DDAVP compared with l-arginine vasopressin and other mimetic synthetic compounds derives from its minimal effect on V1 vasopressin receptors (mediating vasoconstriction) and more selective antidiuretic action mediated by V2 receptors.1
A seminal publication in 1977 by Mannucci et al2 showed that DDAVP can prevent bleeding during dental extraction and major surgery in patients with mild hemophilia A or von Willebrand disease (VWD). This hemostatic effect of DDAVP is mediated via activation of V2 vasopressin receptors on endothelial cells and intracellular cyclic adenosine monophosphate (cAMP)–dependent signaling leading to exocytosis of von Willebrand factor (VWF) and tissue plasminogen activator from Weibel-Palade bodies.3 The rise in factor VIII activity (FVIII:C) is thought to be secondary to the rise of its carrier protein VWF.3
Subsequently, it has been observed that DDAVP is clinically efficacious in patients with various generally mild disorders of the platelet function as well4-9 and, although data are still limited almost exclusively to case reports, its use is recommended for bleeding prophylaxis in patients at low bleeding risk.9,10 An enhanced hemostasis in patients with disorders of the platelet function might be mediated by the DDAVP-induced rise of circulating VWF high-molecular-weight multimers, leading to an increased platelet adhesion to the injured vessel wall; however, although this mechanism is biologically plausible, it has not yet been proven.11 Conversely, the documented efficacy of DDAVP in patients with type 3 VWD (lacking VWF in endothelial stores)12,13 and in patients with Bernard-Soulier syndrome (lacking glycoprotein Ib [GPIb], the platelet receptor for VWF)14,15 clearly indicates that additional mechanisms are responsible for the in vivo hemostatic effects of DDAVP as well. In this regard, the lack of efficacy in patients with Glanzmann thrombasthenia16-18 indicates that DDAVP cannot substitute for a missing or severely dysfunctional fibrinogen receptor. Several hypothetical mechanisms have been proposed for explaining the clinical benefit of DDAVP in patients with platelet disorders, but their physiologic role is uncertain.9,11
The aim of this study was to investigate the effect of in vivo DDAVP administration on platelet adhesive and procoagulant functions. In particular, we also investigated the impact of DDAVP on the generation of collagen- and thrombin-activated (COAT) platelets. This is a subpopulation of highly procoagulant platelets induced by combined activation with collagen and thrombin and characterized by the expression of negatively charged aminophospholipids, surface retention of α-granule proteins (such as factor V/Va [FV/FVa] and VWF), and preferential binding of factor Xa,19,20 whose potential clinical relevance is increasingly recognized.21
Materials and methods
Patients
We enrolled patients diagnosed with mild congenital platelet function defects at our institution who received (as a part of routine workup) an elective test dose of DDAVP. A diagnosis of primary platelet function disorder was made if the patient had not taken any drugs known to affect platelet function for at least 10 days before investigation, had normal platelet counts, an abnormal (but not absent) platelet aggregation to standard platelet agonists (adenosine 5′-diphosphate [ADP], arachidonic acid, collagen), an abnormal (but not absent) agglutination to ristocetin, and a positive bleeding history.22 Platelet aggregation abnormalities had to be confirmed in a blood sample drawn at a later time point.
Overall, we investigated 93 patients (69 women) with a median age of 42 years (interquartile range [IQR], 27 to 52 years; range, 18 to 77 years). The observed platelet aggregation defects were as follows: 38 patients had an impaired response to a single agonist (ADP, n = 32; collagen, n = 4; arachidonic acid, n = 1; ristocetin, n = 1), 28 patients had an impaired response to 2 agonists (ADP and collagen, n = 25; collagen and arachidonic acid, n = 3), 24 patients had an impaired response to 3 agonists (ADP, collagen, and arachidonic acid), and 3 patients had an impaired response to all 4 investigated agonists. Because of their rarity, we did not include patients with Glanzmann thrombasthenia and Bernard-Soulier syndrome. The study was approved by the deputy ethical board, and patients gave informed written consent. The study was conducted in accordance with the Declaration of Helsinki.
DDAVP
DDAVP (Octostim; Ferring Pharmaceutical, Saint-Prex Lausanne, Switzerland) was infused at a dosage of 0.3 μg/kg body weight over 30 minutes in 100 mL 0.9% NaCl.
Blood sampling and coagulation assays
Whole blood samples were obtained before and at 2 and 4 hours after DDAVP infusion with a 19-gauge needle from the antecubital vein into 3 10-mL plastic tubes each containing 1 mL of 0.13 M trisodium citrate (pH 5.5) for platelet aggregation studies, 2 3.8-mL plastic syringes (Monovette; Sarstedt, Nümbrecht, Germany) containing 0.38 mL of 0.129 M buffered citrate (pH 5.5) for platelet function analyzer (PFA) studies, and 2 10-mL plastic syringes (Monovette) containing 1 mL of 0.106 M trisodium citrate for flow cytometric and coagulation studies.
Analysis of coagulation parameters
Coagulation assays and VWF analysis were performed as described.23
PFA
The PFA (PFA-100 and INNOVANCE PFA-200 System, Siemens Healthcare Diagnostics, Eschborn, Germany) is a tool for investigating VWF and platelet function.24
Light transmission platelet aggregation (LTA) tests in platelet-rich plasma (PRP)
LTA testing was performed as already described.25 Specifically, venous blood samples were collected into buffered 0.13 M trisodium citrate (9:1 blood-to-citrate ratio), transported to the laboratory at room temperature (RT), and processed immediately. PRP was prepared by centrifugation at 150g for 15 minutes at RT. The platelet count was adjusted to 250 × 106 cells per milliliter with platelet-poor plasma (PPP). The aggregometer (APACT 4004; LABiTec GmbH, Ahrensburg, Germany) was then calibrated by using a cuvette containing PRP (0% light transmission) and a second cuvette containing PPP (100%). Platelet aggregation was induced by increasing concentrations of 4 agonists. ADP (Sigma-Aldrich, St. Louis, MO) was used at final concentrations of 4, 6, and 10 μM for male patients and concentrations of 3, 4, and 6 μM for female patients.25 Collagen (Horm; Nycomed, Linz, Austria) was used at final concentrations of 1.5, 3, and 4 μg/mL. Arachidonic acid (Bio Data/Medonic Servotec AG, Interlaken, Switzerland) was set at 2 mM. Ristocetin (Socochim SA, Lausanne, Switzerland) concentrations were 1.5 and 0.5 mg/mL. Two hundred microliters of PRP prewarmed at 37°C for 1 minute was added to the aggregometer cuvette and run for an additional minute to exclude spontaneous aggregation. Thereafter, 20 μL of the agonist was added and the response was recorded. If the response to 1 agonist was out of normal range, the test was repeated once more either to confirm the result or to rule out technical failures. LTA started 1 hour after blood collection and was completed within 2.5 hours.
Flow cytometric analysis of platelet function
PRP from the patient and a normal donor was diluted to 10 × 106 platelets per milliliter with Tyrode’s buffer. Analyses of GPIbα (by a monoclonal anti-human CD42b antibody coupled with phycoerythrin [PE]; Dako), GPIIb-IIIa (anti–hCD41-FITC [fluorescein isothyocyanate] and anti–hCD61-FITC; Becton Dickinson), baseline P-selectin expression (anti–CD62P-PE; Becton Dickinson), and PAC-1 binding (PAC1-FITC; Becton Dickinson) were performed in a 100-μL volume containing platelets at a final concentration of 5 × 106 per milliliter and combinations of relevant antibodies at saturating concentrations. After incubation in the dark for 15 minutes at RT, 1000 μL of Tyrode’s buffer was added, and platelets were immediately analyzed by flow cytometry (FACSCanto). Platelet reactivity, assessed by secretion of α-granules and activation of GPIIb-IIIa, was investigated with increasing concentrations of ADP (baseline and final ADP concentrations of 0.5, 5.0, and 50 μM), convulxin (5, 50, and 500 ng/mL), and thrombin (0.05, 0.5, and 5 nM) in a 100-μL volume containing platelets at a concentration of 5 × 106 per milliliter, anti-CD62P-PE, and PAC1-FITC. After incubation in the dark for 10 minutes at 37°C, 1000 μL of Tyrode’s buffer was added to the platelets and the sample was analyzed immediately. COAT platelets, expressing negatively charged aminophospholipids and retaining α-granule proteins on their surface,19,20 were induced by simultaneous activation with convulxin (500 ng/mL) and thrombin (5 nM) and detected by Annexin V binding and, in some experiments, by costaining with anti-FV/Va.19,21 Surface expression of negatively charged phopsholipids was investigated with Annexin V-FITC (Roche) at baseline and after activation for 8 minutes at 37°C in the dark with either 2 μM Ionophore A 23187 (Sigma) or the combination of 500 ng/mL convulxin and 5 nM thrombin.19 Immediately prior to analysis, platelets were diluted with 500 μL of calcium-containing buffer. Finally, to evaluate content and secretion of dense granules,26 platelets were diluted to a final concentration of 5 × 106 per milliliter with Hank’s buffer and loaded with mepacrine (final concentrations of 0.17 and 1.7 μM) into a 100-μL volume for 30 minutes at 37°C in the dark. Secretion of dense granules was assessed after an additional 10-minute incubation at 37°C with buffer vs 5 nM thrombin. Immediately prior to analysis, platelets were diluted with 1000 μL Hank’s buffer.
Thrombin generation
Thrombin generation (TG) in PRP was measured by calibrated automated thrombography (CAT) with commercial reagents as published by Hemker et al.27 To exclude the effect of plasmatic factors and therefore exclusively assess platelet-dependent TG, we developed the following modifications of the CAT method: gel-filtered platelets (GFPs) were normalized to a concentration of 200 × 106 per milliliter with 10 mM N-2-hydroxyethylpiperazine-N′-2-ethanesulfonic acid, 140 mM NaCl (pH 7.5), and resuspended in FV–deficient human plasma. Specifically, 60 μL of GFPs was added to 20 μL of working buffer containing final concentrations of CaCl2 (2 mM), MgCl2 (1 mM), convulxin (500 ng/mL), and thrombin (5 nM) in transparent round-bottom 96-well plates and incubated for 2 minutes at 37°C in a Fluoroskan (Thermo Fisher Scientific AG, Reinach, Switzerland). Twenty microliters of FV-deficient human plasma was added, and the measurement was started after addition of 20 μL of FluCa (Fluca reagent; Thrombinoscope BV, Maastricht, The Netherlands). Each measurement was calibrated against the fluorescence curve obtained with a fixed amount of thrombin-α2-macroglobulin complex (Thrombin calibrator; Thrombinoscope). A TG curve was obtained for 60 minutes by using a dedicated software program (Thrombinoscope; Synapse BV, Maastricht, The Netherlands).27
Visualization of intracellular free Ca2+ and Na+ changes by flow cytometry
We used an in-house modification of the method described by Monteiro et al.28 Eighty microliters of PRP adjusted to 300 × 106 platelets per milliliter with PPP was pipetted into 720 μL Tyrode’s buffer in a 1.5-mL polypropylene microtube. After gentle mixing, it was incubated with 1.6 μL of 1 mM fluo-3 AM (Invitrogen, Eugene, OR) at a final concentration of 2 μM for 15 minutes at RT in the dark. Fifty microliters of fluo-3 AM–loaded platelets was then pipetted into 214 μL Tyrode’s buffer and 6 μL of Gly-Pro-Arg-Pro peptide (final concentration, 2 μM) in a 5-mL round-bottom polystyrene tube and acquired on a FACSCanto cytometer (Becton Dickinson) for 30 seconds at RT (baseline). Afterward, platelets were activated by the addition of 30 μL agonist (final concentrations: convulxin, 500 ng/mL; thrombin, 5 nM), and acquisition was resumed up to 6 minutes. To investigate cytoplasmic Na+, the same staining procedure was performed with CoroNa green AM (Sigma-Aldrich, St. Louis, MO) at a final concentration of 5 μM in calcium-containing Tyrode’s buffer, and platelets were activated with convulxin and thrombin as described above. Results were analyzed by DIVA software (Becton Dickinson).
Statistical analysis
Quantitative data are expressed as median, range, and IQR. The 95% confidence interval (95% CI) for the proportions (p) was calculated by using the following equation: p ± 1.96 × standard error, where the standard error was estimated by the quadratic square of [p(1 – p)/n] where n = sample size. Quantitative data were analyzed by nonparametric tests as required by using SigmaStat software, version 3.5 (Systat Software Inc., San Jose, CA). Significance was set at the 5% level.
Results
The effect of in vivo DDAVP on VWF, FVIII:C, and in vitro bleeding time
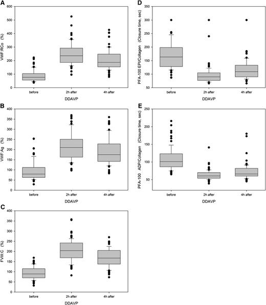
The efficacy of DDAVP (0.3 μg/kg body weight) was documented in all 93 patients by its ability to induce an increase in VWF and FVIII:C and a shortening of the in vitro bleeding times assessed by the PFA system (Figure 1).
Effect of in vivo DDAVP on VWF, FVIII, and PFA. Whole blood was drawn before and at 2 and 4 hours after start of the DDAVP infusion in 93 patients with congenital platelet function defects. (A) Median VWF:RCo increased from 77% (IQR, 56% to 104%) to 236% (IQR, 186% to 292%) 2 hours after DDAVP and declined to 187% (IQR, 154% to 248%) at 4 hours (P < .001; Friedman repeated measures analysis of variance). (B) Median VWF:Ag increased from 80% (IQR, 63% to 112%) to 210% (IQR, 163% to 251%) and 175% (IQR, 142% to 228%) 2 and 4 hours after DDAVP, respectively (P < .001). (C) FVIII:C increased from 89% (IQR, 70% to 115%) to 204% (IQR,169% to 242%) and 167% (IQR,138% to 205%), respectively (P < .001). (D) PFA-system, epinephrine (EPI)/collagen. The closure time shortened from 159 seconds (IQR, 125 to 211 seconds) to 91 seconds (IQR, 77 to 105 seconds) 2 hours after DDAVP and slightly lengthened to 109 seconds (IQR, 90 to 129 seconds) at 4 hours (P < .001). (E) PFA system, ADP/collagen. The closure time with the ADP/collagen cartridge shortened from 101 seconds (IQR, 86 to 123 seconds) to 61 seconds (IQR, 54 to 70 seconds) and 66 seconds (IQR, 60 to 82 seconds), respectively (P < .001). Box plots visualize the median value (horizontal line within the box), the 25th and 75th percentiles (lower and upper borders of the box), the 10th and 90th percentiles (lower and upper whiskers), and each outlier outside the 10th and 90th percentiles (black circles). VWF:Ag, VWF antigen; VWF:RCo, VWF ristocetin-cofactor activity.
Effect of in vivo DDAVP on VWF, FVIII, and PFA. Whole blood was drawn before and at 2 and 4 hours after start of the DDAVP infusion in 93 patients with congenital platelet function defects. (A) Median VWF:RCo increased from 77% (IQR, 56% to 104%) to 236% (IQR, 186% to 292%) 2 hours after DDAVP and declined to 187% (IQR, 154% to 248%) at 4 hours (P < .001; Friedman repeated measures analysis of variance). (B) Median VWF:Ag increased from 80% (IQR, 63% to 112%) to 210% (IQR, 163% to 251%) and 175% (IQR, 142% to 228%) 2 and 4 hours after DDAVP, respectively (P < .001). (C) FVIII:C increased from 89% (IQR, 70% to 115%) to 204% (IQR,169% to 242%) and 167% (IQR,138% to 205%), respectively (P < .001). (D) PFA-system, epinephrine (EPI)/collagen. The closure time shortened from 159 seconds (IQR, 125 to 211 seconds) to 91 seconds (IQR, 77 to 105 seconds) 2 hours after DDAVP and slightly lengthened to 109 seconds (IQR, 90 to 129 seconds) at 4 hours (P < .001). (E) PFA system, ADP/collagen. The closure time with the ADP/collagen cartridge shortened from 101 seconds (IQR, 86 to 123 seconds) to 61 seconds (IQR, 54 to 70 seconds) and 66 seconds (IQR, 60 to 82 seconds), respectively (P < .001). Box plots visualize the median value (horizontal line within the box), the 25th and 75th percentiles (lower and upper borders of the box), the 10th and 90th percentiles (lower and upper whiskers), and each outlier outside the 10th and 90th percentiles (black circles). VWF:Ag, VWF antigen; VWF:RCo, VWF ristocetin-cofactor activity.
The effect of in vivo DDAVP on platelet aggregation
To evaluate whether infusion of DDAVP would also have a direct impact on platelet function, we first tested platelet aggregation in PRP from 10 patients (6 women; median age, 44 years; range, 16 to 60 years) 4 hours after DDAVP. We assessed platelet aggregation 3 minutes after addition of increasing concentrations of ADP, collagen, arachidonic acid, and ristocetin. In addition, we recorded the time delay between addition of the agonist and onset of the aggregation curve (lag phase) for collagen and arachidonic acid. At baseline, 4 patients had a blunted aggregation in response to a single agonist (ADP, n = 3; collagen, n = 1), 1 had a blunted aggregation in response to ADP and collagen, and 5 had a blunted aggregation in response to ADP, collagen, and arachidonic acid. Table 1 and Figure 2 demonstrate that we did not observe any significant change between baseline and platelets drawn 4 hours after start of the DDAVP infusion.
Effect of in vivo DDAVP on platelet aggregation in PRP. Whole blood was drawn before and 4 hours after start of the DDAVP infusion in 10 patients with congenital platelet function defects. (A) ADP-induced platelet aggregation at 3 minutes, (B) lag phase of collagen-induced platelet aggregation, (C) collagen-induced platelet aggregation at 3 minutes, (D) lag phase of arachidonate-induced platelet aggregation, (E) arachidonate-induced platelet aggregation at 3 minutes, and (F) ristocetin-induced platelet agglutination at 3 minutes. See “Material and methods” for details on agonist concentrations. Changes were not statistically significant (see Table 1 for P values). In panels A-C, the symbols depict paired values for individual patients, before and after DDAVP.
Effect of in vivo DDAVP on platelet aggregation in PRP. Whole blood was drawn before and 4 hours after start of the DDAVP infusion in 10 patients with congenital platelet function defects. (A) ADP-induced platelet aggregation at 3 minutes, (B) lag phase of collagen-induced platelet aggregation, (C) collagen-induced platelet aggregation at 3 minutes, (D) lag phase of arachidonate-induced platelet aggregation, (E) arachidonate-induced platelet aggregation at 3 minutes, and (F) ristocetin-induced platelet agglutination at 3 minutes. See “Material and methods” for details on agonist concentrations. Changes were not statistically significant (see Table 1 for P values). In panels A-C, the symbols depict paired values for individual patients, before and after DDAVP.
The effect of in vivo DDAVP on surface expression of GPIb and GPIIb-IIIa
Subsequently, we investigated platelets by flow cytometry, comparing several phenotypic and functional characteristics before and 2 and 4 hours after DDAVP (n = 16). Since we did not observe any significant difference at 2 vs 4 hours, we pooled the data for these 2 time points. We observed a slight, statistically significant decrease of the fibrinogen receptor (Figure 3A): GPIIb decreased by 10.6% (95% CI, −12.3% to −1.3%; Wilcoxon signed rank test P = .006; n = 16) and GPIIIa decreased by 4.3% (95% CI, −9.9% to −0.5%; P = .044). We did not find a statistically significant change in GPIb surface expression, which showed a median decrease of −3.5% (95% CI, −8.2% to 3.3%; P = .323).
Effect of DDAVP on platelet surface glycoproteins, dense-granule content, agonist-induced α-granule secretion, and GPIIb-IIIa activation. Whole blood was drawn before and at 2 and 4 hours after start of the DDAVP infusion in 16 patients with congenital platelet function defects (results at 2 and 4 hours after DDAVP were similar and were therefore pooled). (A) Surface density of GPIIb (CD41; Wilcoxon signed rank test P = .006; n = 16), GPIIIa (CD61; P = .044), and GPIb (CD42b; P = .323). (B) Dense-granule content (P = .322) and their thrombin-induced secretion (P = .462). (C) Secretion of α-granules induced by ADP (P < .001), thrombin (P < .001), and convulxin (P = .019). (D) Activation of GPIIb-IIIa induced by ADP (P < .001), thrombin (P = .004), and convulxin (P = .080). Box plots visualize the median value (horizontal line within the box), the 25th and 75th percentiles (lower and upper borders of the box), the 10th and 90th percentiles (lower and upper whiskers), and each outlier outside the 10th and 90th percentiles (black circles).
Effect of DDAVP on platelet surface glycoproteins, dense-granule content, agonist-induced α-granule secretion, and GPIIb-IIIa activation. Whole blood was drawn before and at 2 and 4 hours after start of the DDAVP infusion in 16 patients with congenital platelet function defects (results at 2 and 4 hours after DDAVP were similar and were therefore pooled). (A) Surface density of GPIIb (CD41; Wilcoxon signed rank test P = .006; n = 16), GPIIIa (CD61; P = .044), and GPIb (CD42b; P = .323). (B) Dense-granule content (P = .322) and their thrombin-induced secretion (P = .462). (C) Secretion of α-granules induced by ADP (P < .001), thrombin (P < .001), and convulxin (P = .019). (D) Activation of GPIIb-IIIa induced by ADP (P < .001), thrombin (P = .004), and convulxin (P = .080). Box plots visualize the median value (horizontal line within the box), the 25th and 75th percentiles (lower and upper borders of the box), the 10th and 90th percentiles (lower and upper whiskers), and each outlier outside the 10th and 90th percentiles (black circles).
The effect of in vivo DDAVP on platelet-dense granule
Figure 3B illustrates that both dense granule content (median change, −0.01%; 95% CI, −5.0% to 13.7%; P = .322; n = 16) and their thrombin-induced secretion (median change, −0.03%; 95% CI, −1.4% to 0.7%; P = .462) were not significantly affected by DDAVP.
The effect of in vivo DDAVP on α-granule secretion and GPIIb-IIIa activation
Secretion of platelet α-granules was assessed by P-selectin surface expression and agonist-induced activation of GPIIb-IIIa by PAC-1 binding. ADP-induced secretion of α-granules was significantly reduced after DDAVP (Figure 3C), with a median decline of 35.7% (95% CI, −41.7% to −22.5%; P < .001; n = 16), and ADP-induced activation of the fibrinogen receptor (Figure 3D) decreased by 15.4% (95% CI, −24.3% to −12.0%; P < .001). Similarly, thrombin-induced secretion of α-granules (Figure 3C) decreased by 9.9% (95% CI, −15.5% to −4.0%; P < .001), and GPIIb-IIIa activation (Figure 3D) declined by 8.2% (95% CI, −19.2% to −0.5%; P = .004). Finally, while convulxin-induced secretion of α-granules (Figure 3C) significantly declined by 11.9% (95% CI, −20.6% to −2.7%; P = .019), the decrease in convulxin-induced GPIIb-IIIa activation (Figure 3D) did not reach statistical significance (median change, −4.0%; 95% CI, −12.0% to 0.4%; P = .080). Of note, the levels of circulating platelets expressing P-selectin (median 0.9% before vs 0.8% after DDAVP; Wilcoxon signed rank test P = .083) or binding PAC-1 (median 1.3% before vs 0.8% after DDAVP; Wilcoxon signed rank test P = .057) did not increase after DDAVP.
The effect of in vivo DDAVP on COAT platelet generation
COAT platelets were induced by simultaneous activation with convulxin (500 ng/mL) and thrombin (5 nM).19 After DDAVP, a relative increase of at least 5% COAT platelets was observed in 13 (81%) of the 16 patients initially investigated by flow cytometry. Among these patients, median relative increase of COAT platelets was 18.1% (95% CI, 11.1% to 45.2%) 2 hours after DDAVP and 42.3% (95% CI, 19.5% to 74.8%) 4 hours after DDAVP. Figure 4A illustrates a typical patient in whom COAT platelets progressively increased from 15.9% to 30.6% 4 hours after DDAVP. We therefore assessed COAT platelet generation in 52 other patients. Overall, COAT platelets at baseline were 24.8% (IQR, 17.0% to 33.3%) and significantly increased to 27.8% (IQR, 19.5% to 34.5%) and 33.9% (IQR, 26.4% to 41.9%) 2 hours and 4 hours after DDAVP, respectively (P < .001; n = 52). Again, a relative increase in COAT platelet generation of at least 5% was not observed in all individual patients. Thirty-seven (71%) of 52 patients showed an increase in COAT platelets of median 18.1% (95% CI, 13.8% to 27.3%; P < .001) 2 hours after DDAVP (Figure 4B). The proportion of responding patients increased to 45 (86.5%) of 52 at 4 hours, with a median COAT platelets relative increase of 32.9% (95% CI, 23.8% to 38.9%; P < .001). Of note, the levels of circulating platelets binding Annexin V did not increase after DDAVP (1.9% at baseline, 1.2% at 2 hours, and 1.4% at 4 hours after DDAVP; P = .052).
Effect of DDAVP on COAT platelet formation. (A) COAT platelets at baseline (15.9%), 2 hours (24.5%), and 4 hours (30.6%) after DDAVP in a typical patient. For comparison, COAT platelets of the normal control (22.3%) are shown. (B) Relative COAT platelet increase in responding patients (n = 37 of 52 at 2 hours; n = 45 of 52 at 4 hours; P < .001 for both comparisons). Box plots in 4B visualize the median value (horizontal line within the box), the 25th and 75th percentiles (lower and upper borders of the box), the 10th and 90th percentiles (lower and upper whiskers), and each outlier outside the 10th and 90th percentiles (black circles).
Effect of DDAVP on COAT platelet formation. (A) COAT platelets at baseline (15.9%), 2 hours (24.5%), and 4 hours (30.6%) after DDAVP in a typical patient. For comparison, COAT platelets of the normal control (22.3%) are shown. (B) Relative COAT platelet increase in responding patients (n = 37 of 52 at 2 hours; n = 45 of 52 at 4 hours; P < .001 for both comparisons). Box plots in 4B visualize the median value (horizontal line within the box), the 25th and 75th percentiles (lower and upper borders of the box), the 10th and 90th percentiles (lower and upper whiskers), and each outlier outside the 10th and 90th percentiles (black circles).
The effect of in vivo DDAVP on TG
TG induced by simultaneous platelet activation with convulxin and thrombin was measured by CAT27 in PRP and in GFPs reconstituted with factor V–deficient plasma (FV-DP) in 38 patients (Figure 5; supplemental Data, available on the Blood Web site). In PRP, initial TG rate before DDAVP was median 10.2 nM/minute (IQR, 7.0 to 13.5 nM/minute) and significantly increased by 49.2% (95% CI, 34.8% to 79.0%) 4 hours after DDAVP to 14.1 nM/minute (IQR, 9.6 to 18.3 nM/minute; P < .001; n = 38). This was expected as a consequence of DDAVP-induced increase in VWF and FVIII:C.29 To specifically assess platelet-dependent procoagulant activity, GFPs at baseline and 4 hours after DDAVP were reconstituted with FV-DP, and their ability to sustain TG was assessed. Figure 5 (GFPs) demonstrates that platelet-dependent initial TG rate significantly increased by 36.3% (95% CI, 27.5% to 49.0%), from median 8.2 nM/min (IQR, 5.2 to 9.8 nM/minute) at baseline to 11.4 nM/minute (IQR, 6.5 to 14.0 nM/minute; P < .001; n = 38) 4 hours after DDAVP. Of note, the level of circulating thrombin-antithrombin complexes did not increase after DDAVP (2.6 μg/L at baseline; 2.2 μg/L at 2 hours, and 2.1 μg/L at 4 hours after DDAVP; P = .065).
Effect of DDAVP on TG. (A) Initial TG rate in PRP and GFPs reconstituted with FV–deficient plasma (FV-DP) at baseline and 4 hours after DDAVP (Wilcoxon signed rank test P < .001 for both comparisons; n = 38). (B) Relative increase of the initial TG rate (iTGR) in PRP and GFP/FV-DP at 4 hours compared with baseline (Wilcoxon signed rank test P < .001 for both comparisons; n = 38).
Effect of DDAVP on TG. (A) Initial TG rate in PRP and GFPs reconstituted with FV–deficient plasma (FV-DP) at baseline and 4 hours after DDAVP (Wilcoxon signed rank test P < .001 for both comparisons; n = 38). (B) Relative increase of the initial TG rate (iTGR) in PRP and GFP/FV-DP at 4 hours compared with baseline (Wilcoxon signed rank test P < .001 for both comparisons; n = 38).
Intracellular free Ca2+ changes and COAT platelet generation after DDAVP
To explore the mechanisms involved in the formation of procoagulant COAT platelets, we studied intracellular free Ca2+ flux. Figure 6A-B shows the rapid and sustained increase of intracellular Ca2+ observed in native platelets up to 6 minutes after simultaneous activation with convulxin and thrombin. Among patients in whom DDAVP induced a significant increase of COAT platelet generation, we observed an enhanced ability to mobilize Ca2+ after DDAVP compared with baseline (Figure 6C-D). Conversely, in patients among whom COAT platelets remained unchanged, Ca2+ mobilization after DDAVP was lower than at baseline (Figure 6D).
Effect of DDAVP on intracellular free Ca2+concentration after simultaneous platelet activation with convulxin and thrombin. (A) Intracellular Ca2+ course in a representative patient before DDAVP administration (P1, baseline; P2, <30 seconds; P3, 1 minute; P4, 2 minutes; P5, 4 minutes; P6, 6 minutes after simultaneous platelet activation with convulxin and thrombin). (B) Summary of intracellular Ca2+ course in 15 patients at baseline (median fold-increase and 95% CIs). (C) Intracellular Ca2+ after simultaneous platelet activation with convulxin and thrombin in a representative patient after DDAVP administration. (D) Relative intracellular Ca2+ course after DDAVP compared with baseline (median fold-change and 95% CIs) in patients with enhanced COAT platelet generation (median increase, 29%; n = 11) and those without (n = 4). CVX, convulxin; Thr, thrombin.
Effect of DDAVP on intracellular free Ca2+concentration after simultaneous platelet activation with convulxin and thrombin. (A) Intracellular Ca2+ course in a representative patient before DDAVP administration (P1, baseline; P2, <30 seconds; P3, 1 minute; P4, 2 minutes; P5, 4 minutes; P6, 6 minutes after simultaneous platelet activation with convulxin and thrombin). (B) Summary of intracellular Ca2+ course in 15 patients at baseline (median fold-increase and 95% CIs). (C) Intracellular Ca2+ after simultaneous platelet activation with convulxin and thrombin in a representative patient after DDAVP administration. (D) Relative intracellular Ca2+ course after DDAVP compared with baseline (median fold-change and 95% CIs) in patients with enhanced COAT platelet generation (median increase, 29%; n = 11) and those without (n = 4). CVX, convulxin; Thr, thrombin.
Intracellular Na+ changes and COAT platelet generation after DDAVP
Similar experiments performed with CoroNa green showed a slower and less marked increase of cytosolic Na+, peaking at 2 to 4 minutes after activation with convulxin and thrombin (Figure 7A-B). This transient intracellular Na+ increase was enhanced by DDAVP among individuals reacting with an increased COAT platelet generation and remained unchanged in those patients whose COAT platelet generation was unaffected by DDAVP (Figure 7C).
Effect of DDAVP on intracellular Na+concentration after simultaneous platelet activation with convulxin and thrombin. (A) Intracellular Na+ course in a representative patient before DDAVP administration (P1, baseline; P2, <30 seconds; P3, 1 minute; P4, 2 minutes; P5, 4 minutes; P6, 6 minutes after simultaneous platelet activation with convulxin and thrombin). (B) Summary of the intracellular Na+ course in 5 patients at baseline (median fold-increase and 95% CIs). (C) Relative intracellular Na+ course after DDAVP compared with baseline (median fold-change and 95% CIs) in patients with enhanced COAT platelet generation (median increase 39%, n = 3) and those without (n = 2). CVX, convulxin; Thr, thrombin.
Effect of DDAVP on intracellular Na+concentration after simultaneous platelet activation with convulxin and thrombin. (A) Intracellular Na+ course in a representative patient before DDAVP administration (P1, baseline; P2, <30 seconds; P3, 1 minute; P4, 2 minutes; P5, 4 minutes; P6, 6 minutes after simultaneous platelet activation with convulxin and thrombin). (B) Summary of the intracellular Na+ course in 5 patients at baseline (median fold-increase and 95% CIs). (C) Relative intracellular Na+ course after DDAVP compared with baseline (median fold-change and 95% CIs) in patients with enhanced COAT platelet generation (median increase 39%, n = 3) and those without (n = 2). CVX, convulxin; Thr, thrombin.
Discussion
We investigated the effect of an in vivo DDAVP infusion at a standard dose of 0.3 μg/kg body weight on different aspects of platelet function in patients with congenital mild platelet function defects.
Our data are consistent with previous reports indicating that DDAVP administration does not by itself induce platelet activation.18,30 In fact, surface expression of P-selectin and negatively charged phospholipids and binding of PAC-1 (a monoclonal antibody recognizing an activation-dependent epitope on the fibrinogen receptor GPIIb-IIIa) did not change after DDAVP. Additionally, we did not observe signs of in vivo increased TG, because circulating thrombin-antithrombin complexes did not increase after DDAVP infusion.
Second, our results (summarized in Table 1 and Figure 2) are in line with several reports that did not observe an enhanced agonist-induced platelet aggregation after DDAVP infusion.5,31-33 However, our data appear to be in contrast with 1 study published by Balduini et al18 reporting an enhancement of collagen- and ADP-induced platelet aggregation. In addition to different experimental conditions (whole blood anticoagulated with sodium heparin vs buffered citrate), the main reason for the discrepant finding may rely on the time course of the effect. As depicted in Figure 2 of their publication, Balduini et al18 observed a rapid increase in agonist-induced platelet aggregation that subsequently declined and lost statistical significance 3 hours after DDAVP start. We investigated platelet aggregation 4 hours after DDAVP infusion and, from this perspective, the data from both publications are congruent. Notably, the effect of DDAVP on VWF appears to have a similar time-dependent course (Figure 1), and it may be possible that an early, transient enhancement in GPIIb-IIIa–dependent platelet aggregation may be mediated by the higher levels of circulating VWF in the patient plasma. Three observations are in line with this hypothesis. First, De Marco et al34 showed that in vivo DDAVP administration improved ADP-induced platelet aggregation in 2 afibrinogenemic patients but that this effect was lost at 4 hours. Second, several publications demonstrate that VWF interaction with GPIIb-IIIa can mediate platelet-platelet contacts.13,34,35 Third, Kasirer-Friede et al35 demonstrated that clustering of GPIb-IX complexes by VWF upregulates the adhesive functions of GPIIb-IIIa.
Moreover, our data do not support a direct proaggregant effect of DDAVP on platelet function. On the contrary, investigating with flow cytometry platelet activation induced by graded concentrations of ADP, thrombin, and convulxin, we observed a decreased α-granule secretion (Figure 3C) and PAC-1 binding (Figure 3D) after DDAVP. It is known that DDAVP promotes formation of cAMP in endothelial cells3,36 and in platelets as well.37 Therefore, the above-mentioned observations are likely to be the consequence of the well-known inhibitory effect of increased cAMP levels in platelets on their function.38
In summary, our data are in line with the concept that DDAVP does not exert a direct proaggregant effect on platelet function but that, by means of the transient increase of VWF, it may enhance agonist-induced platelet aggregation. This effect appears to be mediated by direct interaction of VWF with GPIIb-IIIa13,34,35 and not with GPIb-α.34,39,40
The most interesting observation of our study is the ability of in vivo DDAVP infusion to enhance the generation of procoagulant COAT platelets (Figure 4). COAT platelets are a subpopulation of platelets generated by simultaneous activation with collagen and thrombin.19 Only these activated platelets express negatively charged phospholipids and high levels of α-granule factor V/Va on their surface, are able to bind exogenous factor Xa, and are most efficient in sustaining TG.19,21 We named this subset of collagen-and-thrombin–activated platelets “COAT platelets” to convey the concept of their surface being covered by a layer, a coat of adhesive and procoagulant proteins.19,20
In this work, we show a progressive increase in COAT platelets at 2 and 4 hours after DDAVP infusion (Figure 4B). Since COAT platelets are procoagulant, we also investigated their functional relevance by assessing the ability to sustain TG. As expected and as already published by Keularts et al,29 DDAVP infusion improves TG in PRP by means of increased VWF levels (Figure 5; supplemental Data). We therefore modified the CAT assay to specifically assess platelet-dependent TG (“Materials and methods”). As depicted in Figure 5, after DDAVP, we observed a significant rise in platelet ability to sustain TG, paralleling the increased percentage of COAT platelets and documenting their functional relevance.41
These data are in line with a report by Horstman et al42 indicating increased platelet microparticle formation and procoagulant activity after DDAVP. Our work expands these previous observations. First, while Horstman et al42 investigated blood samples of 6 patients before and 1 hour after DDAVP, we analyzed a total of 68 patients before and 2 and 4 hours after DDAVP. Our data provide solid evidence for an enhanced procoagulant activity and show that this effect increases up to 4 hours after DDAVP (Figure 4), a time point at which the VWF increase and related effects are already declining (Figure 1). Second, since Horstman et al42 evaluated procoagulant activity by using a Russell’s viper venom assay in plasma samples (platelet-rich, platelet-poor, and particle-filtered plasma), their results may be partly explained by the DDAVP-induced increase in VWF and FVIII:C.29 Our work provides clear evidence that DDAVP promotes a specific enhancement of platelet-dependent TG (Figure 5).
Which mechanisms may be involved in the procoagulant DDAVP effect? The observation that DDAVP-induced enhancement of COAT platelet generation still increases when plasmatic VWF and FVIII levels are already declining suggests that the procoagulant effect may be mediated by intracellular signaling events distinct from the rapid rise in cAMP production leading to VWF exocytosis from endothelial Weibel-Palade bodies.3,43 Studies performed in cortical and medullary renal tubules indicate that stimulation of V2 receptors induces several intracellular signaling events that take longer than cAMP production and are responsible for the sustained (up to 12 hours) antidiuretic effect following DDAVP administration.44 Several proteins become phosphorylated upon DDAVP action45,46 and some of them are involved in Na+ retention.47,48 Of note, an increase in intracellular Na+ has been shown to promote an increase in intracellular Ca2+49,50 and could thus facilitate an agonist-induced, high and prolonged rise in intracellular Ca2+ required for the exposure of negatively charged aminophospholipids on the platelet surface.51 Our experiments visualizing intracellular Ca2+ and Na+ mobilization (Figures 6 and 7) suggest that DDAVP may modulate the ability to generate COAT platelets by enhancing both Na+ and Ca2+ intracellular fluxes.
Although pathways underlying the sustained cytosolic Ca2+ increase required for phosphatidylserine expression on the platelet surface involve extracellular Ca2+ influx through Ca2+ channels, the mechanisms are still not fully elucidated. Recent work points to a peculiar role of Na+ influx, in particular when platelets are simultaneously activated by collagen and thrombin.52,53 Indirect evidence for this also comes from the observation that a reduction of extracellular Na+ inhibits exposure of phosphatidylserine after platelet activation with convulxin and thrombin.54
DDAVP may facilitate an increased intracellular Na+ concentration by interacting with Na+ pumps, such as the Na+/H+ exchanger, the Na+/Ca2+ exchanger, and/or the Na+/Cl– cotransporter. The involvement of the Na+/H+ exchanger has been proposed by Tomasiak et al,55 who working with in vitro DDAVP concentrations ranging from 100 to 500 nM demonstrated an Na+/H+ exchanger–induced increase in mean platelet volume and platelet procoagulant activity. Among our patients, we observed a slight, statistically significant decrease of the mean platelet volume 4 hours after DDAVP (7.9 fL at baseline, 7.9 fL at 2 hours, and 7.7 fL at 4 hours after DDAVP; P = .045, n = 93). This could be explained by the fact that after an in vivo infusion (0.3 µg/kg body weight), the expected pharmacologic DDAVP concentration is ∼1 to 5 nM,18 much lower than the concentrations tested by Tomasiak et al.55 We are not aware of publications evaluating the impact of DDAVP on other platelet Na+ channels. However, the transient nature of the observed Na+ increase (Figure 7 A-B) suggests a role for the Na+/Ca2+ exchanger.52,53
In conclusion, this is the first report showing that in vivo administration of DDAVP selectively and markedly enhances the ability to form procoagulant COAT platelets and increases platelet-dependent TG up to 4 hours after infusion. Our work indicates that the beneficial hemostatic effect of DDAVP is not limited to an increase in large VWF multimers and consecutive FVIII:C increments. An enhancement of platelet procoagulant activity is an additional and—at least in platelet disorders—possibly clinically relevant mechanism of DDAVP action. DDAVP appears to increase COAT platelet formation by facilitating intracellular Na+ flux and the subsequent sustained increase of cytosolic free Ca2+.
The online version of this article contains a data supplement.
There is an Inside Blood commentary on this article in this issue.
The publication costs of this article were defrayed in part by page charge payment. Therefore, and solely to indicate this fact, this article is hereby marked “advertisement” in accordance with 18 USC section 1734.
Acknowledgments
We thank professor Bernhard Lämmle for his enthusiastic support and intellectual contributions to this research project, Gabi Barizzi for her thoughtful and competent supervision of platelet function investigations, and Therese Jost for her outstanding administrative assistance.
This work was supported by a grant from the Swiss National Science Foundation (3200-065337.01), a research grant from the ISTH2007 Presidential Fund, and an unrestricted research grant from NovoNordisk (L.A.).
Authorship
Contribution: G.C. performed research, analyzed the data, and wrote the manuscript; M.S., S.R., T.C., M.P., M.R., E.G., and A.H. performed research; C.T. and P.K. performed research and wrote the manuscript; and L.A. designed research, analyzed the data, and wrote the manuscript.
Conflict-of-interest disclosure: The authors declare no competing financial interests.
Correspondence: Lorenzo Alberio, Department of Haematology and Central Haematology Laboratory, Inselspital, Bern University Hospital, Freiburgstrasse 10, CH-3010 Bern, Switzerland; e-mail: lorenzo.alberio@insel.ch; lorenzo.alberio@chuv.ch (valid from April 1, 2014).






