Abstract
Acute leukemia is one of the refractory hematological malignant diseases described as an acute disorder of diverse clonogenetic disorders within the population. It is now considered to be a stem cell disease with its characteristic refractory nature being blamed on a rare population of CD34+/CD38- leukemic Stem cells. Leukemic Stem cells are named so for their ability to survive and divide continually within the stromal microenvironment. Leukemic stem cells arise from a pool of mutated CD34+ stem cells. Although the exact immunophenotype of these cells have not yet been accurately identified, Studies showed that when CD34+/CD38-/CD123+ population were xenografted into immunodeficient mice had resulted in an actively proliferating leukemic cell population. Similar result was achieved while xenografting CD34+/CD38-/CD96+ phenotypes of the AML cell population in SCID mice, suggesting CD123/CD96 are important immunophenotypes in identification of LSCs. In our studies we have used these two markers to identify LSCs and explore the relationship between expression of LSCs immunophenotype and prognosis in acute leukemia.
86 patients with initial acute leukemia were enrolled in our study. Heparinised bone marrow samples were obtained from patients before treatment. Using flow cytometry, the expression of LSCs immunophenotype (CD34+/CD38-/CD96+, referred to as CD96+ and CD34+/CD38-/CD123+, referred to as CD123+) in the patients were detected. The relationship between the LSCs immunophenotype and the indexes related with the therapeutic efficacy/prognosis of acute leukemia (i.g. age, hyper-leukocytes, chromosomal cytogenetics, et al) were also analyzed.
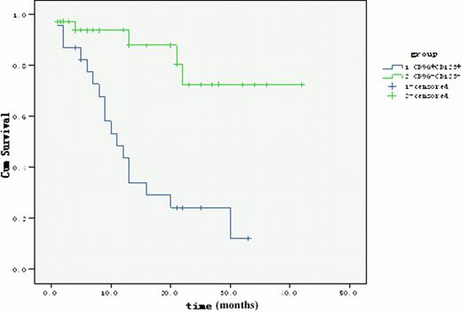
Of all the 86 patients, 29 cases (33.7%) expressed CD96; and 35 cases (40.7%) expressed CD123; All the patients with CD96 expression expressed CD123, 6 patients with CD123 expression did not express CD96. Among the subtypes of acute leukemia, much difference was observed in the expression of both CD96 and CD123. The expression of CD96/CD123 was lower on AML-M3 subtype, but higher on AML-M4,M5,M6 and T-ALL. Only 48.3% (14 of 29 cases) of the patients with CD96 expression acquired complete remission (CR) or partial remission (PR) within two courses of chemotherapy, which was 71.9% (41 of 57 cases) in the patients without CD96 expression (p<0.05). Only 51.4% (18 of 35 cases) of the patients with CD123 expression acquired CR or PR within two courses of chemotherapy, which was 72.5% (37 of 51 cases) in the patients without CD123 expression (p<0.05). The patients with CD96 or CD123 expression had a high rate of hyper-leukocytes (>30×109/L) (55.2% versus 28.1%, p<0.05 and 53.1% versus 33.3%, p>0.05, respectively); there were also more cases with chromosomal cytogenetics of poor prognosis in patients with CD96 or CD123 expression than without CD96 or CD123 expression (33.3% versus 12.0%, p<0.05 and 23.5% versus 16.3%, p>0.05). In addition, survival analysis showed that three years survival rate and the mean survival time of the patients with CD96 and CD123 expression were lower and shorter than those lacking expression (three years survival rate:26.1% versus 86.1%; the mean survival time: 14.57±2.29 months versus 34.69±2.89 months, p<0.01) (Fig 1).
In sum, our data indicated that both CD96 and CD123 were markers of LSCs, nevertheless, CD96 might be more specific. Patients with expression of LSCs immunophenotype especially with the expression of CD96 had a lower rate of remission, shorter survival time and poor prognosis.
The Kaplan-Meier survival curves of the patients with CD96+CD123+ expression and with CD96-CD123- expression (n=67)
The Kaplan-Meier survival curves of the patients with CD96+CD123+ expression and with CD96-CD123- expression (n=67)
No relevant conflicts of interest to declare.

This icon denotes a clinically relevant abstract
Author notes
Asterisk with author names denotes non-ASH members.
