Abstract
The inhibition of vaccination by maternal antibodies is a widely observed phenomenon in human and veterinary medicine. Maternal antibodies are known to suppress the B-cell response. This is similar to antibody feedback mechanism studies where passively transferred antibody inhibits the B-cell response against particulate antigens because of epitope masking. In the absence of experimental data addressing the mechanism underlying inhibition by maternal antibodies, it has been suggested that epitope masking explains the inhibition by maternal antibodies, too. Here we report that in the cotton rat model of measles virus (MV) vaccination passively transferred MV-specific immunoglobulin G inhibit B-cell responses through cross-linking of the B-cell receptor with FcγRIIB. The extent of inhibition increases with the number of antibodies engaging FcγRIIB and depends on the Fc region of antibody and its isotype. This inhibition can be partially overcome by injection of MV-specific monoclonal IgM antibody. IgM stimulates the B-cell directly through cross-linking the B-cell receptor via complement protein 3d and antigen to the complement receptor 2 signaling complex. These data demonstrate that maternal antibodies inhibit B-cell responses by interaction with the inhibitory/regulatory FcγRIIB receptor and not through epitope masking.
Introduction
Maternal antibodies of the immunoglobulin G (IgG) antibody class are transferred from mother to child and protect children against infectious diseases. Over time, passively transferred maternal antibody titers decline and are not protective any longer but interfere with successful vaccination. A well-documented example of this is measles vaccination.1 Inoculation of seronegative children with a live-attenuated vaccine measles virus (MV) leads first to the development of antibodies specific for the nucleocapsid (MV-N) protein (which is released by infected cells) and subsequently to protective neutralizing antibodies specific for the hemagglutinin (MV-H) and fusion (MV-F) proteins.2 Neutralizing antibodies recognize at least 15 nonoverlapping neutralizing epitopes on MV-H and 3 on MV-F.3 Vaccination in the presence of maternal antibodies, however, does not lead to development of protective neutralizing antibodies,4 whereas the T-cell response is readily detectable.5-10 These findings indicate a specific inhibition of B-cell responses by maternal antibodies. In the absence of experimental data, inhibition of B cells has been postulated to be the result of physical blockage of epitopes by maternal antibodies (epitope masking11 ). This model is based on antibody feedback mechanism studies.11,12 In these studies, passive transfer of IgG suppresses the B-cell response against sheep red blood cells. Epitope masking leads to epitope-specific suppression at lower antibody concentrations, whereas at higher antibody concentrations also nonepitope-specific inhibition was observed and explained by steric hindrance.13 A proposed alternate mechanism is based on the only inhibitory receptor of the IgG binding Fc receptor family, Fcγ-IIB receptor (FcγRIIB). On B cells, cross-linking of FcγRIIB to the B-cell receptor (BCR) through antigen/antibody complexes leads to inhibition of activation and antibody secretion.12,14-16 This mechanism was dismissed for the antibody feedback model because IgG is inhibitory in Fc-receptor knockout mice,17 an IgG3 isotype antibody that in the mouse does not bind to FcγRIIB can be inhibitory,18,19 and in some studies F(ab′)2 fragments can also inhibit B-cell responses.17,20,21
In summary, these studies provide evidence for epitope masking as the main mechanism of inhibition of antibody responses in the antibody feedback model. Whether the same mechanism applies to B-cell inhibition by maternal antibodies has not been addressed experimentally. We have investigated this question in the cotton rat model (Sigmodon hispidus) of MV vaccination.22 As in humans, maternal antibodies inhibit seroconversion in cotton rats.23 Natural maternal antibodies can be replaced by transfer of heterologous MV-specific IgG, which inhibits seroconversion after vaccination to the same degree,23,24 and allow experimental manipulation of the system. Similar to humans, the B-cell response is the target of inhibition, whereas the T-cell response is relatively unaffected.10
Methods
Cotton rats
Inbred cotton rats (S hispidus) were purchased from Harlan Laboratories. For immunization experiments in the presence of MV-specific antibodies, a specified amount of antibody was injected intraperitoneally into cotton rats. One day later, animals were immunized with 105 pfu of MV (Schwarz strain) subcutaneously. The only exception to this schedule was the experiment testing MV-specific human F(ab′)2 fragments for their inhibitory capacity (see Figure 1B), where animals were immunized 4 hours after injection of antibodies. All animal experiments were approved by the Institutional Animal Care and Use Committee of The Ohio State University.
Cells and MV
The Schwarz vaccine strain of MV was grown and titrated on Vero cells according to standard procedures.25
Antibodies
Human MV-specific polyvalent IgG (Carimmune) was purchased from ZLB Behring. Mouse monoclonal antibodies used in this study have been described elsewhere.26 The antibodies specific for MV-H are all neutralizing and recognize different adjacent epitopes in the region of amino acids 368 to 400: clone K17 (epitope B; IgG2a), clone K29 (epitope C; IgG1), clone K71 (epitope D; IgG2a), clone K83 (epitope E; IgG2a), and clone L77 (epitope F; IgG2a). The monoclonal antibody against the nucleocapsid protein (clone F227; IgG2a) does not neutralize. Monoclonal antibodies recognizing the hemagglutinin of the IgM class were produced according to standard procedures26 and were selected for hemagglutinin recognition. All IgM antibodies are not neutralizing. They were titered by ELISA, and an optical density of twice the background was arbitrarily assigned an ELISA unit (EU) of 1. Both MV-specific IgG and IgM monoclonal antibodies were produced in a miniPERM classic bioreactor (Greiner). IgG was purified using protein A-Sepharose columns (Montage Antibody purification kits, Millipore). F(ab′)2 fragments were generated by pepsin digestion (Pierce ImmunoPure F(ab′)2 Preparation Kit); the concentration of IgG and F (ab′)2 fragments was determined by Micro BCA Protein Assay Kit (Thermo Scientific). The Zenon mouse IgG Labeling Kit was used to label MV-specific IgG with horseradish peroxidase.
Purification of MV-N protein by discontinuous cesium chloride isopycnic gradient
ELISA
The ELISA for the detection of MV-specific cotton rat antibodies was performed as described.29 To test the competitive binding of MV-specific IgG and IgM, MV-coated plates were incubated with 3 different clones of MV-specific IgM (clone 14, clone 21, and clone 69) for 1 hour at room temperature, and plates were washed and incubated with HRP labeled MV-specific IgG (K71, K83, and L77) for 1 hour at 4°C. After washing, plates were developed and absorbance read as described.29
Neutralization assay
The neutralization assay was performed as described.23
B-cell ELISPOT assay
For the B-cell ELISPOT assay, bone marrow cells and spleens from MV immune cotton rats 4 to 8 weeks after subcutaneous immunization with 105 pfu of MV (Schwarz strain) were used. Data shown were generated with bone marrow cells with comparable results obtained for spleen cells. For the assay, 96-well plates (Nunc-Immuno Polysorp, Thermo Fisher) were coated with gradient-purified, ultraviolet-inactivated MV antigen overnight at 4°C. Serially diluted bone marrow cells were plated in the presence or absence of MV-specific antibody and cultured overnight at 37°C in an incubator. For the MV-specific IgG K29 and K83 competition ELISPOT assay, plates were first incubated with K29 at 37°C for 1 hour before K83 was added. To test the effect of the Fc region, plates were incubated at 37°C for 1 hour with complete IgG or F (ab′)2 fragments (normalized for the same neutralization titer). To reconstitute the Fc region for F (ab′)2 fragments, some wells were incubated for 1 hour with goat IgG specific for mouse F (ab′)2 fragments. (Goat IgG had been shown to interact with cotton rat spleen cells through the Fc portion in previous flow cytometry experiments.) For the MV-specific IgG and IgM competition ELISPOT assay, plates were preincubated with IgM.
After overnight incubation, plates were washed with PBS/0.05% Tween 20. Plates were incubated with rabbit anti–cotton rat IgG (Virion Systems) and subsequently with goat anti–rabbit alkaline-phosphatase–conjugated IgG (Zymed) in PBS/10% cotton rat serum. For development of spots, plates were washed 3 times with PBS and 3% agarose containing 2-amino-2-methyl-propanel-5-bromo-4-chloro-3-indolylphosphate (Sigma-Aldrich) substrate was added. Plates were incubated at room temperature for 2 hours, and spots were counted under a light microscope.
Immunoglobulin binding assay
The immunoglobulin binding assay was performed as described for human IgG.30 A total of 10 μg/mL of IgG (clones K29 and K83) and F(ab′)2 (clone K83) was incubated with 15 μg/mL of a fluorescein isothiocyanate-labeled F(ab′)2 fragment of goat anti–mouse Fab-specific antibodies (Jackson ImmunoResearch) for 30 minutes at room temperature (in PBS/0.1% NaN3/10% cotton rat serum) and added to 2 × 105 activated B cells for 1 hour at 4°C. Activated B cells were derived from spleen cells, which had been incubated for 24 hours with 10 μg/mL of Escherichia coli lipopolysaccharide (Sigma-Aldrich) and were purified over a Ficoll gradient (Sigma-Aldrich). As control, B cells were stained with cross-reactive donkey anti–rat immunoglobulin-specific antibodies (Abcam) for expression of membrane-bound immunoglobulin (BCR), or with a combination of cross-reactive goat anti–mouse CD32 (FcγRIIb)-specific antibodies (Santa Cruz Biotechnology) and secondary fluorescein isothiocyanate-labeled donkey anti–goat IgG-specific antibodies (Abcam). B cells were analyzed with a FACSCalibur (BD Biosciences).
Results
Fc-region is required for inhibition of antibody generation
A prediction of the epitope masking model is that F(ab′)2 fragments will inhibit the generation of neutralizing antibodies to the same degree as complete IgG. To test this prediction, we produced F(ab′)2 fragments by removing the Fc-region through pepsin digestion from MV-H-specific monoclonal antibodies. In an ELISPOT assay, measuring the number of activated, antibody-secreting MV-specific B cells from bone marrow cells of MV immune cotton rats 4 to 8 weeks after immunization, MV-H– specific IgG suppressed the number of MV-specific B cells (Figure 1A). In contrast, F(ab′)2 fragments did not influence the number of MV-specific B cells. To add an Fc-region to the F(ab′)2 fragments, they were incubated with complete goat IgG-specific for mouse F(ab′)2 fragments. The resulting complexes were fully suppressive (Figure 1A). This indicates that the suppression of B cells in vitro is dependent on the Fc region of IgG. To test this question in vivo, cotton rats were inoculated with F(ab′)2 fragments of human MV-specific IgG or complete IgG. The amount of F(ab′)2 fragments was twice the amount of IgG and the time span between inoculation of F(ab′)2 fragments, and vaccination was only 4 hours to account for faster degradation of F(ab′)2 fragments.31 After immunization in the presence of human MV-specific IgG, the generation of neutralizing antibodies was markedly suppressed (Figure 1B). In contrast, F(ab′)2 fragments did not suppress the generation of neutralizing antibodies. These data indicate that the Fc-region of IgG is crucial for the suppression of the generation of neutralizing antibodies in vivo, and argue against epitope masking.
Antibodies inhibit B cells through the Fc region. (A) Bone marrow cells from an MV-immune cotton rat were stimulated with MV antigen in an ELISPOT assay, and complete IgG or the respective F(ab′)2 fragment was added at a neutralization titer (NT) of 0.5. For some wells, IgG specific for mouse F(ab′)2 fragments was added after 1 hour of incubation with the F(ab′)2 fragment. The reduction in numbers of responding B cells was significant after addition of complete IgG or the F(ab′)2-anti-F(ab′)2 complex. *P < .05. **P < .01. (B) Cotton rats were inoculated intraperitoneally with 1 mL (100NT) of human MV-specific IgG or 1 mL (200NT) of human F(ab′)2 fragments and were immunized with 105 pfu MV (Schwarz strain) subcutaneously 4 hours later. Four weeks after immunization, the generation of neutralizing antibodies was tested by neutralization assay. *Complete IgG significantly suppressed the generation of neutralizing antibodies (P < .05).
Antibodies inhibit B cells through the Fc region. (A) Bone marrow cells from an MV-immune cotton rat were stimulated with MV antigen in an ELISPOT assay, and complete IgG or the respective F(ab′)2 fragment was added at a neutralization titer (NT) of 0.5. For some wells, IgG specific for mouse F(ab′)2 fragments was added after 1 hour of incubation with the F(ab′)2 fragment. The reduction in numbers of responding B cells was significant after addition of complete IgG or the F(ab′)2-anti-F(ab′)2 complex. *P < .05. **P < .01. (B) Cotton rats were inoculated intraperitoneally with 1 mL (100NT) of human MV-specific IgG or 1 mL (200NT) of human F(ab′)2 fragments and were immunized with 105 pfu MV (Schwarz strain) subcutaneously 4 hours later. Four weeks after immunization, the generation of neutralizing antibodies was tested by neutralization assay. *Complete IgG significantly suppressed the generation of neutralizing antibodies (P < .05).
Inhibition of antibody production requires interaction with FcγRIIB
During the course of our experiments, we tested a number of monoclonal antibodies for the inhibitory efficacy against MV vaccination (Figure 3A). All antibodies were specific for MV-H and neutralized MV. All except antibody K29 were able to inhibit the generation of neutralizing antibodies in vivo (Figures 2A, 3A). The difference between K29 and the other antibodies is that K29 is of the IgG1 isotype, whereas all other antibodies used in this study were of the IgG2a isotype. Differences in isotype do not influence epitope masking but affect binding to FcγRIIB in that only certain mouse and human IgG isotypes bind to their respective FcγRIIB.14,30 To test binding of mouse IgG1 and IgG2a isotypes to cotton rat B cells, monoclonal antibodies were preincubated with fluorescein isothiocyanate-labeled goat F(ab′)2 specific for mouse F(ab′)2. These IgG complexes were incubated with activated cotton rat B cells (which expressed BCR and FcγRIIB, Figure 2B-C) and tested for binding by flow cytometry. Whereas IgG2a was able to bind to cotton rat B cells, IgG1 was not, and neither was the IgG2a F(ab′)2 fragment (Figure 2D). Consistent with this finding, the MV-H-specific IgG1 was not able to inhibit MV-specific B cells in an ELISPOT assay (Figure 2E), whereas the MV-H–specific IgG2a could. In addition, IgG1 was not able to compete with the IgG2a antibody (Figure 2F). These data confirm the importance of the interaction between FcγRIIB and the Fc-region of IgG for the inhibition of B cells by MV-specific IgG.
Interaction with FcgRIIB receptor determines inhibitory potential of antibody. Two monoclonal antibodies, K29 and K83, were compared for their ability to bind to the Fc receptor on activated B cells and to inhibit B-cell responses in an ELISPOT assay and in cotton rats. K29 and K83 antibodies both recognize different epitopes on MV-H and neutralize MV. K29 is of the IgG1 isotype and K83 of the IgG2a isotype. (A) To determine the inhibitory activity of K29 and K83, cotton rats were injected with a neutralization titer of 320 of antibody intraperitoneally and immunized subcutaneously with 105 pfu MV (Schwarz strain) one day later. Sera from immunized animals were tested by neutralization assay 7 weeks later. Whereas K83 suppressed the generation of neutralizing antibodies significantly (**P < .01), K29 did not. (B) Cotton rat B cells were activated by the addition of lipopolysaccharide to spleen cells overnight, purified by Ficoll gradient centrifugation, and stained for membrane-bound immunoglobulin (BCR). (C) These B cells also expressed FcγRIIB (CD32). (D) F(ab′)2-complexed K83 (black line) bound to cotton rat B cells, whereas F(ab′)2 fragments of F(ab′)2-complexed K83 did not (gray area). Similarly, F(ab′)2-complexed K29 did not bind to cotton rat B cells (gray line). (E) By ELISPOT, K29 was not able to suppress activation of MV-specific B cells, whereas K83 did (*P < .05; **P < .01). (F) For a competition ELISPOT, plates were preincubated with increasing amounts of K29 before addition of a constant amount of K83. Overall, K29 did not influence the inhibitory activity of K83.
Interaction with FcgRIIB receptor determines inhibitory potential of antibody. Two monoclonal antibodies, K29 and K83, were compared for their ability to bind to the Fc receptor on activated B cells and to inhibit B-cell responses in an ELISPOT assay and in cotton rats. K29 and K83 antibodies both recognize different epitopes on MV-H and neutralize MV. K29 is of the IgG1 isotype and K83 of the IgG2a isotype. (A) To determine the inhibitory activity of K29 and K83, cotton rats were injected with a neutralization titer of 320 of antibody intraperitoneally and immunized subcutaneously with 105 pfu MV (Schwarz strain) one day later. Sera from immunized animals were tested by neutralization assay 7 weeks later. Whereas K83 suppressed the generation of neutralizing antibodies significantly (**P < .01), K29 did not. (B) Cotton rat B cells were activated by the addition of lipopolysaccharide to spleen cells overnight, purified by Ficoll gradient centrifugation, and stained for membrane-bound immunoglobulin (BCR). (C) These B cells also expressed FcγRIIB (CD32). (D) F(ab′)2-complexed K83 (black line) bound to cotton rat B cells, whereas F(ab′)2 fragments of F(ab′)2-complexed K83 did not (gray area). Similarly, F(ab′)2-complexed K29 did not bind to cotton rat B cells (gray line). (E) By ELISPOT, K29 was not able to suppress activation of MV-specific B cells, whereas K83 did (*P < .05; **P < .01). (F) For a competition ELISPOT, plates were preincubated with increasing amounts of K29 before addition of a constant amount of K83. Overall, K29 did not influence the inhibitory activity of K83.
Recognition of the viral particle is important. Cotton rats were inoculated intraperitoneally with 1 mL of antibody with a neutralization titer of 320 (MV-specific IgG and K4, K17, K71, and K83) or 2 mg of F227. MV-specific IgG recognizes the fusion, hemagglutinin, and nucleocapsid proteins of MV and neutralizes MV. Monoclonal antibodies K4, K17, K71, and K83 recognize different epitopes on MV hemagglutinin and neutralize MV. Monoclonal antibody F227 recognizes MV-N and does not neutralize. One day later, cotton rats were immunized subcutaneously with 105 pfu MV (Schwarz strain). Results are mean ± SD of 4 cotton rat per group. (A) Neutralizing antibody responses were determined from cotton rat serum 7 weeks after immunization. At this time point, human antibodies are not detectable by ELISA (data not shown). Animals immunized in the presence of MV-H-specific antibodies generated significantly fewer antibodies. **P < .01. ***P < .001. (B) The MV-N–specific antibody response was determined 7 weeks after immunization from cotton rat sera by ELISA using purified MV-N as antigen. Both polyclonal MV-specific IgG (*P < .05) and F227 (**P < .01) significantly inhibited the generation of N-specific antibodies. (C) Sera from cotton rats immunized in the absence of antibody or immunized in the presence of monoclonal antibodies K71, K83, or L77 were used to block MV antigen coated to an ELISA plate. Subsequently, K71, K83, or L77 antibodies were added to determine whether the respective epitopes recognized by these antibodies were masked by the sera.
Recognition of the viral particle is important. Cotton rats were inoculated intraperitoneally with 1 mL of antibody with a neutralization titer of 320 (MV-specific IgG and K4, K17, K71, and K83) or 2 mg of F227. MV-specific IgG recognizes the fusion, hemagglutinin, and nucleocapsid proteins of MV and neutralizes MV. Monoclonal antibodies K4, K17, K71, and K83 recognize different epitopes on MV hemagglutinin and neutralize MV. Monoclonal antibody F227 recognizes MV-N and does not neutralize. One day later, cotton rats were immunized subcutaneously with 105 pfu MV (Schwarz strain). Results are mean ± SD of 4 cotton rat per group. (A) Neutralizing antibody responses were determined from cotton rat serum 7 weeks after immunization. At this time point, human antibodies are not detectable by ELISA (data not shown). Animals immunized in the presence of MV-H-specific antibodies generated significantly fewer antibodies. **P < .01. ***P < .001. (B) The MV-N–specific antibody response was determined 7 weeks after immunization from cotton rat sera by ELISA using purified MV-N as antigen. Both polyclonal MV-specific IgG (*P < .05) and F227 (**P < .01) significantly inhibited the generation of N-specific antibodies. (C) Sera from cotton rats immunized in the absence of antibody or immunized in the presence of monoclonal antibodies K71, K83, or L77 were used to block MV antigen coated to an ELISA plate. Subsequently, K71, K83, or L77 antibodies were added to determine whether the respective epitopes recognized by these antibodies were masked by the sera.
Antibody recognition of surface epitopes on viral particles is essential for inhibition of neutralizing antibody responses
So far, our data supported inhibition of B-cell responses through a cross-link of FcγRIIB with BCR rather than epitope masking. One prediction of the regulatory model is that antibodies binding to MV envelope proteins will cross-link FcγRIIB with BCR and suppress the generation of all neutralizing antibodies. To test this hypothesis, cotton rats were inoculated with human polyclonal MV-specific IgG, 4 monoclonal antibodies that recognize different epitopes on MV-H or one monoclonal antibody, which recognizes the MV-N. One day later, cotton rats were immunized with MV vaccine (Schwarz strain) subcutaneously, and the generation of neutralizing antibody responses was tested after 7 weeks (when passively transferred antibodies had been metabolized). Human MV-specific IgG, which contain antibodies against MV-H, MV-F, and MV-N, suppressed the generation of neutralizing antibodies completely (Figure 3A). Similarly, the generation of neutralizing antibody was impaired after immunization in the presence of MV-H–specific monoclonal antibodies. In contrast, the MV-N–specific antibody did not impair generation of neutralizing antibodies (Figure 3A). This is consistent with the fact that MV-N is protected in the viral particle against antibody recognition; thus, the MV-N–specific antibody cannot form an antibody-virus complex cross-linking FcγRIIB and BCR. However, as in humans, MV-N–specific antibodies are being produced in cotton rats after immunization with MV because of the release of MV-N protein by infected cells (Figure 3B). Both human MV-specific IgG (which contains MV-N–specific antibodies) and the MV-N–specific antibody F227 were able to suppress the development of MV-N–specific antibody responses (Figure 3B). In contrast, the MV-H–specific antibody (although it inhibited the neutralizing antibody response against MV-H and MV-F) did not interfere with the generation of MV-N–specific responses. These data indicate that recognition of the MV particle by antibody is required to suppress the generation of a protective neutralizing antibody response.
Inhibition of antibody responses is not epitope-specific
After immunization in the presence of MV-H–specific antibodies, which recognize 3 different epitopes26 (K71, K83, and L77; “Antibodies”), neutralizing antibody responses were strongly reduced (Figures 3A, 4A). If inhibition is the result of regulation of the B-cell response through FcγRIIB, antibody responses against all epitopes should be reduced. However, if epitope masking is the mechanism underlying inhibition of seroconversion, no or fewer antibodies should be produced only against the epitope of the antibody that inhibits vaccination. To test this assumption, sera from cotton rats immunized in the absence or presence of either monoclonal antibody K71, K83, or L77 were tested by competition ELISA (Figure 3C). Serum from MV-immunized cotton rats contained antibodies against all 3 epitopes and strongly competed with antibodies K71, K83, and L77 for binding of MV antigen. Sera from cotton rats immunized with MV in the presence of K71, K83, or L77, respectively, all contained lower amounts of antibody and therefore did not compete as strongly when K71, K83, and L77 were used as detection antibody. However, no difference in competition between these sera and one of the 3 different monoclonal antibodies was seen (which would have confirmed epitope masking). The data clearly demonstrate that the antibody response was not selectively reduced against individual epitopes but against all epitopes tested.
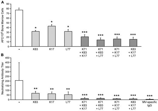
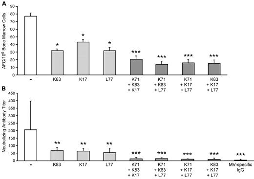
The extent of inhibition correlates with number of epitopes recognized. All monoclonal antibodies used in this experiment recognize different epitopes on MV-H and neutralize MV. (A) Bone marrow cells from MV immune cotton rats were stimulated with MV in an ELISPOT system without antibody, with one monoclonal or a combination of 3 monoclonal antibodies (amount of antibody was constant at a neutralization titer of 0.5). The addition of a single antibody reduced the number of stimulated MV-specific B cells (*P < .05), whereas addition of a triple antibody combination reduced the number of stimulated MV-specific B cells to a higher degree (***P < .001). The difference between single antibody and triple antibody combination was statistically significant (P < .05). (B) To determine differences in the ability of antibody (combinations) to inhibit seroconversion after vaccination, cotton rats were inoculated with a low amount of MV-H–specific monoclonal antibodies individually or combinations of 3 MV-H–specific monoclonal antibodies (all at 1 mL of a neutralization titer of 100). Although injection of single antibody reduced the generation of neutralizing antibodies after immunization (**P < .01), injection of the triple antibody combination reduced it to a significantly higher degree (***P < .001). The difference between single antibody and triple antibody combination was statistically significant (P < .05).
The extent of inhibition correlates with number of epitopes recognized. All monoclonal antibodies used in this experiment recognize different epitopes on MV-H and neutralize MV. (A) Bone marrow cells from MV immune cotton rats were stimulated with MV in an ELISPOT system without antibody, with one monoclonal or a combination of 3 monoclonal antibodies (amount of antibody was constant at a neutralization titer of 0.5). The addition of a single antibody reduced the number of stimulated MV-specific B cells (*P < .05), whereas addition of a triple antibody combination reduced the number of stimulated MV-specific B cells to a higher degree (***P < .001). The difference between single antibody and triple antibody combination was statistically significant (P < .05). (B) To determine differences in the ability of antibody (combinations) to inhibit seroconversion after vaccination, cotton rats were inoculated with a low amount of MV-H–specific monoclonal antibodies individually or combinations of 3 MV-H–specific monoclonal antibodies (all at 1 mL of a neutralization titer of 100). Although injection of single antibody reduced the generation of neutralizing antibodies after immunization (**P < .01), injection of the triple antibody combination reduced it to a significantly higher degree (***P < .001). The difference between single antibody and triple antibody combination was statistically significant (P < .05).
Synergy between multiple antibodies correlates with the extent of inhibition
Although single MV-H–specific monoclonal antibodies were able to severely impair the generation of neutralizing antibodies, they did not completely suppress antibody generation (like the human MV-specific antibodies at the same neutralization titer). One explanation derived from the regulatory model would be that the binding of more than one IgG by MV would lead to increased engagement of FcγRIIBs and therefore increased inhibition. To test this hypothesis, the suppressive capacity of combinations of 3 MV-H–specific antibodies was compared with single antibodies at the same antibody concentration, in vitro and in vivo. Although individual antibodies were able to suppress the generation of B cells (in an ELISPOT assay), the combinations were significantly more suppressive (Figure 4A). In addition, in vivo, the injection of single antibodies reduced the generation of neutralizing antibodies after immunization, but the injection of the triple antibody combination reduced it to a significantly higher degree (Figure 4B). The model of epitope masking correlates inhibition directly to the amount of antibody per epitope. In our study, inhibition increased with the number of different antibodies where the amount of antibody per epitope (in the triple combination) was reduced, which again indicates an inhibitory role for maternal antibodies through FcγRIIB rather than epitope masking.
MV-specific IgM stimulates MV-specific B-cell responses in a C3d-dependent manner
After immunization in the presence of maternal antibodies, the generation of neutralizing antibodies is impaired. However, booster immunization of a previously immunized person leads to an increased antibody response. In both cases, MV-specific IgG molecules are present and should have an inhibitory effect on the B-cell response. However, in contrast to a person with maternal antibodies, an immunized person also has circulating MV-specific IgM.32 It has been shown that IgM (in the absence of inhibitory antibodies) can improve the B-cell response against antigen by forming a complex with antigen and the complement protein 3d (C3d) and cross-linking the BCR with the complement receptor 2.12 When tested in vitro, MV-H–specific monoclonal IgM was able to increase the number of MV-specific B cells in an ELISPOT assay (Figure 5A). After heat treatment of fetal calf serum (which destroys complement proteins), the stimulatory effect was abolished. However, the addition of C3d protein restored the ability of MV-H–specific IgM to stimulate MV-specific B cells. Similarly, IgM was not stimulatory in medium supplemented with human serum depleted of C3d. Again, addition of C3d restored its ability to stimulate MV-specific B cells (Figure 5A).
MV-specific IgM stimulates MV-specific B-cell responses in a C3d-dependent manner and overcomes inhibition by MV-specific IgG. Monoclonal IgM antibodies were tested for their ability to stimulate B-cell responses in the presence of inhibitory IgG. All antibodies (IgM 21 and IgM 14) were specific for MV-H and did not neutralize MV. (A) The addition of IgM to bone marrow cells from MV immune cotton rats increased the number of stimulated MV-specific B cells significantly (***P < .001). In the presence of heat-inactivated serum or serum depleted of complement protein 3 (C3), no activation was found. This could be reversed by the addition of C3d. (B) The addition of monoclonal IgG specific for MV-H or polyclonal MV-specific IgG to bone marrow cells from MV immune cotton rats led to low numbers of stimulated MV-specific B cells, whereas addition of IgM led to high numbers. In the presence of a combination of IgM and IgG, numbers were lower than with IgM alone but higher than with IgG alone (***P < .001). (C-D) Cotton rats were inoculated with MV-specific IgG (1 mL of 640 NT, C; or 320 NT, D) intraperitoneally and one day later immunized with 5 × 105 pfu MV (strain Edmonston B, C) or 105 pfu MV (strain Schwarz). At the time of immunization, animals were also inoculated subcutaneously at a different site with different amounts of IgM21 (C) or IgM 14 clone (D). Neutralizing antibodies in serum of cotton rats were determined 7 weeks after immunization; 1 EU of IgM was determined as the amount of IgM with twice the optical density than background.
MV-specific IgM stimulates MV-specific B-cell responses in a C3d-dependent manner and overcomes inhibition by MV-specific IgG. Monoclonal IgM antibodies were tested for their ability to stimulate B-cell responses in the presence of inhibitory IgG. All antibodies (IgM 21 and IgM 14) were specific for MV-H and did not neutralize MV. (A) The addition of IgM to bone marrow cells from MV immune cotton rats increased the number of stimulated MV-specific B cells significantly (***P < .001). In the presence of heat-inactivated serum or serum depleted of complement protein 3 (C3), no activation was found. This could be reversed by the addition of C3d. (B) The addition of monoclonal IgG specific for MV-H or polyclonal MV-specific IgG to bone marrow cells from MV immune cotton rats led to low numbers of stimulated MV-specific B cells, whereas addition of IgM led to high numbers. In the presence of a combination of IgM and IgG, numbers were lower than with IgM alone but higher than with IgG alone (***P < .001). (C-D) Cotton rats were inoculated with MV-specific IgG (1 mL of 640 NT, C; or 320 NT, D) intraperitoneally and one day later immunized with 5 × 105 pfu MV (strain Edmonston B, C) or 105 pfu MV (strain Schwarz). At the time of immunization, animals were also inoculated subcutaneously at a different site with different amounts of IgM21 (C) or IgM 14 clone (D). Neutralizing antibodies in serum of cotton rats were determined 7 weeks after immunization; 1 EU of IgM was determined as the amount of IgM with twice the optical density than background.
MV-specific IgM overcomes inhibition by MV-specific IgG
To test whether MV-specific IgM can overcome the inhibitory action of MV-specific IgG, a combination of IgG and IgM was tested in an ELISPOT assay. In this assay, the inhibitory action of 3 different MV-H–specific IgG was overcome by addition of MV-H–specific IgM (Figure 5B). One explanation for this effect could be that IgM binds to the same epitope as IgG and blocks its action. To test this possibility, we performed a competition ELISA between 3 MV-H–specific IgM and 3 MV-H–specific IgG antibodies. The analysis showed that all 3 IgM clones recognize the same epitope as MV-H–specific IgG antibody K71 or an epitope in close proximity (data not shown). However, binding of MV-H–specific IgG antibodies K83 and L77 was not affected. These results indicate that, although epitope competition between IgM and IgG might occur, it cannot fully explain the stimulatory effect of IgM. In vivo, coapplication of vaccine and IgM at the time of vaccination in the presence of MV-specific IgG led to the induction of neutralizing antibodies. The efficacy of induction differed between different IgM monoclonal antibodies (Figure 5C-D) and did not fully reached the level of neutralizing antibodies induced after immunization in the absence of MV-specific IgG.
Discussion
The inhibition of vaccination by maternal antibodies is a well-documented phenomenon in human and veterinary medicine. For MV vaccination, the level of maternal antibody is inversely correlated with vaccination success as shown in experimental studies in cotton rats.10 and clinical studies in humans.5,7,8,33,34 The latter demonstrated that, at the age of 6 months maternal antibody titers are still high enough to suppress seroconversion, at the age of 9 months vaccination campaigns are relatively successful, whereas the complete disappearance of antibody at the age of 12 months seems to be optimal for immunization. Based on data from the antibody feedback mechanism and other studies, 4 mechanisms have been discussed to explain inhibition of vaccination by maternal antibodies: antigen removal, neutralization of vaccine virus, epitope masking, and a regulatory (inhibitory) role of FcγRIIB.11,35 Against the potential mechanism of removal of vaccine-IgG complexes speaks the fact that T cells are being produced after immunization in the presence of maternal antibodies, although antibody secretion is markedly inhibited.5-9 In addition, neutralization of vaccine virus does not seem to be a mechanism, as immunization with not replicating vaccines is inhibited by maternal antibodies36-39 and (in this study) the neutralizing antibody K29 does not inhibit vaccination. The mechanism of epitope masking has been confirmed in the antibody feedback model using an antigen with highly repetitive epitopes and relies on concentrations of antibody sufficient to completely block an epitope. This might be difficult to achieve for an antigen, such as MV, with a large number of different epitopes.3 Single monoclonal antibodies specific for MV-H were able to strongly reduce the generation of neutralizing antibodies but reduced the amount of antibodies against (at least) 3 different epitopes and not a single epitope, only. Theoretically, this effect could be explained by steric hindrance. The model of steric hindrance, however, relies on high concentrations of antibody40 against a single epitope and is not consistent with the fact that one MV-H–specific antibody is less suppressive than a combination of 3 antibodies (at the same overall antibody concentration). The model of epitope masking can also not explain the fact that MV-H–specific antibody K29 is not able to inhibit B cell activation (in vitro) or generation of neutralizing antibodies (in vivo).
In some antibody feedback mechanism studies, F(ab′)2 fragments do not inhibit immunization.19,41-43 In addition, the inhibitory potential of an antibody is markedly reduced if its interaction with FcγRIIB is abolished by deglycosylation.44 However, inhibition through FcγRIIB has been dismissed as a possible mechanism based on 3 observations: an IgG3 isotype antibody, which in the mouse does not bind to FcγRIIB, can be inhibitory18,19 ; in some studies, F(ab′)2 fragments can also inhibit B-cell responses17,20,21 ; and IgG is inhibitory in Fc-receptor knockout mice.17 The interpretation of the latter study is difficult because gene deletion of the FcγRIIB leads not only to an unregulated B-cell and antibody response45 but also to defects in macrophage, NK-cell and T-cell function,46 and higher susceptibility to autoimmune diseases.47,48 In our studies, the inability of K29 to interact with activated cotton rat B cells and to inhibit vaccination is consistent with a regulatory role of FcγRIIB. In addition, the use of F(ab′)2 fragments demonstrated that binding of antibody to the epitope alone is not sufficient to inhibit vaccination with MV. Because F(ab′) fragments degrade faster than complete IgG,31 we used twice the amount of F(ab′) fragments than IgG (based on neutralization titer) and immunized 4 hours after application of antibody (instead of 24 hours later).
Our data from this study point to a regulatory model for maternal antibodies through cross-linking of FcγRIIB to BCR via an antibody-MV complex (as outlined in Figure 6). In agreement with this model, IgM is able to restore B-cell function partially (in vivo) or fully (in vitro) in the presence of MV-specific IgG, which recognize different epitopes. The requirement of the complement protein C3d also supports a regulatory role through cross-link of BCR and complement receptor 2 complex.
Model of B-cell inhibition by IgG and B-cell stimulation through IgM. MV is bound by the BCR of a MV-specific B cell. If MV-specific IgG binds to MV, the constant region will be bound by the receptor for the constant region (Fc) of IgG (which is FcγRIIB). FcγRIIB is the only Fc receptor on B cells and does not bind other immunoglobulins, such as IgM or IgA. After juxtaposition of the BCR and FcγRIIB, the tyrosine-based inhibitory motif of FcγRIIB is in close proximity of the tyrosine-based activation motif of BCR and delivers a negative signal. If MV-specific IgM binds to MV, it also binds via C3d to CD21 (complement receptor 2), which is part of the positive signaling CD21/CD19/CD81/Leu-13 complex. The opsonin C3d does not bind to IgG.
Model of B-cell inhibition by IgG and B-cell stimulation through IgM. MV is bound by the BCR of a MV-specific B cell. If MV-specific IgG binds to MV, the constant region will be bound by the receptor for the constant region (Fc) of IgG (which is FcγRIIB). FcγRIIB is the only Fc receptor on B cells and does not bind other immunoglobulins, such as IgM or IgA. After juxtaposition of the BCR and FcγRIIB, the tyrosine-based inhibitory motif of FcγRIIB is in close proximity of the tyrosine-based activation motif of BCR and delivers a negative signal. If MV-specific IgM binds to MV, it also binds via C3d to CD21 (complement receptor 2), which is part of the positive signaling CD21/CD19/CD81/Leu-13 complex. The opsonin C3d does not bind to IgG.
After a pathogen-specific response has been developed, it is thought to be important for the immune system to prevent an overshooting secondary immune response.14 In patients and experimentally, it has been shown that repeated immunization leads toward a plateau phase in the number of generated B cells,49 and it is thought that antigen-specific antibodies, through cross-linking of BCR and FcγRIIB, inhibit B-cell responses.15,16 This is supported by the fact that mice with genetically deleted Fc receptors have a very high and largely unregulated immune response after immunization.45,48 It appears logical that maternal antibodies regulate B-cell responses through the same mechanism. In the case of maternal antibodies, however, these (inhibitory) antibodies are being degraded, and the immunized person is left with little or no actively produced protective antibody. This model would predict that (as demonstrated in this study) the suppression of neutralizing antibody responses is independent of the epitope specificity of the individual maternal antibody as long as it binds to the envelope of the virus. The model is also supported by the fact that only antibodies that can interact with their Fc region with B cells are inhibitory, that the Fc region is required for inhibition, and that a combination of antibodies (which leads to increased FcγRIIB interaction) is more suppressive than single antibodies. The in vivo stimulation of B cells by IgM might also help to explain differences seen in immunization between children with maternal antibodies and persons who receive booster immunization (other factors, such as the presence of memory B cells and T cells). As IgM probably can somewhat alleviate, but not completely counteract, inhibition by IgG, it would also explain why addition of IgM does not fully restore immune responses compared with immunization in the absence of maternal antibodies.
In conclusion, our data contradict epitope masking as a mechanism for inhibition of vaccination by maternal antibodies. In contrast, they support a model of inhibition by maternal antibodies through interaction with FcγRIIB on B cells and demonstrate a counteracting stimulatory role for IgM.
The publication costs of this article were defrayed in part by page charge payment. Therefore, and solely to indicate this fact, this article is hereby marked “advertisement” in accordance with 18 USC section 1734.
Acknowledgments
This work was supported by the National Institute of Allergy and Infectious Disease (R01AI064744-03).
National Institutes of Health
Authorship
Contribution: D.K. performed most of the experiments and the statistical analysis; D.H. performed some of the research; M.O. prepared the MV-N protein; and S.N. designed the research, analyzed data, and wrote the manuscript.
Conflict-of-interest disclosure: The authors declare no competing financial interests.
Correspondence: Stefan Niewiesk, Department of Veterinary Biosciences, The Ohio State University, 1925 Coffey Rd, Columbus, OH 43210; e-mail: Niewiesk.1@osu.edu.











