Abstract
Background. The goal of our interest is to bring attention to standardisation of the aspirin effectiveness examination in patients profiting from (life)long antithrombotic terapy. Optical platelet aggregation tests have been most widely used. Examination with endogenous inductors of platelet aggregation - thrombin, colagen, arachidonic acid, adenosine diphosphate (ADP) has a low specificity and reproducibility. Aim. To compare a newer inductor of platelets aggregation cationic propyl gallate (CPG) with ADP for the examination of aspirin (ASA) efffectivity with optical aggregometry.
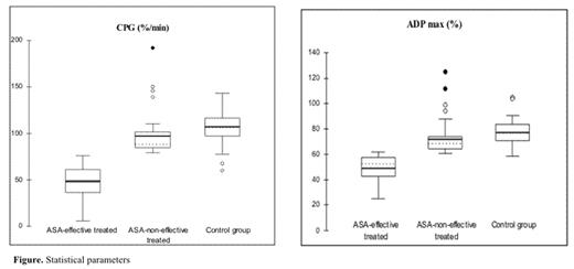
Methods. We prospectively enrolled 116 consecutive patiens with a stable cardiovascular disease on ASA 100mg/day for ≥ 1 month. The controll group was formed from 62 healthy volunteers, without antithrombotic treatment. Analysis. We investigated platelet aggregation by optical aggregometry (aggregometer LASER 4x, BIOART). CPG and ADP were added as aggregating agents. The measured parameter were: CPG-slope (this parameter expresses steepness of the aggregation curve and also the speed of aggregation (%/minutes)) and ADP-max (the maximum percent change in light transmittance from baseline). Results. Definition. First, we determined the CPG-slope cut-off value for the definition of ASA-non-effective treated patient. We established it on the ground of CPG-slope values in the control group. The values from controll group followed a normal distribution (test Shapiro - Wilk). We calculated the cut-off value using the 95% - confidence interval. The CPG-slope cut-off value was 79 %/min for ASA-effective treated patient. We marked the patients as ASA-non efffective treated when the CPG-slope was ≥ 79%/min. The same way we used to define the cut-off value for ADP-max. We identified the aspirin treatment as uneffective when the value of ADP-max had been > 62%. Comparison. The values of CPG-slope and ADP-max were in a close correlation in the group of patients treated with aspirin. The correlation index (r = 0,671) was highly significant. By CPG-induced optical aggregation were 33,6% ASA-non-effective treated patients. While using both inductors (CPG, ADP) were the proportion of ASA-non-effective treated patients 25%. By both tests (CPG, ADP) were equally divided 71,6% patients. ASA-non-effective treated patients were more commonly obese (46,2%) with hypertension (94,9%) and hypercholesterolemia (73,7%) and were less commonly treated with statins (30,8%) as the aspirin effective treated patients (42,%, 88,2%, 59,2% resp.42,1%).
Conclusion. Meassurement of a platelet aggregation by CPG is reproducible with high sensitivity and specificity. The study has also brought attention to the importance of control the cardiovascular risk factors.
Statistical parameters
This study was partially supported by the Charles University Prague Research Project nr. MSM 0021620817 awarded by the Ministry of Education, Youth and Physical Education of the Czech Republic
Author notes
Corresponding author
