A prominent feature of sickle cell anemia is the presence of dehydrated red blood cells (RBCs) in circulation. Loss of potassium (K+), chloride (Cl−), and water from RBCs is thought to contribute to the production of these dehydrated cells. One main route of K+ loss in the RBC is the Gardos channel, a calcium (Ca2+)–activated K+ channel. Clotrimazole (CLT), an inhibitor of the Gardos channel, has been shown to reduce RBC dehydration in vitro and in vivo. We have developed a chemically novel compound, ICA-17043, that has greater potency and selectivity than CLT in inhibiting the Gardos channel. ICA-17043 blocked Ca2+-induced rubidium flux from human RBCs with an IC50 value of 11 ± 2 nM (CLT IC50 = 100 ± 12 nM) and inhibited RBC dehydration with an IC50 of 30 ± 20 nM. In a transgenic mouse model of sickle cell disease (SAD), treatment with ICA-17043 (10 mg/kg orally, twice a day) for 21 days showed a marked and constant inhibition of the Gardos channel activity (with an average inhibition of 90% ± 27%, P < .005), an increase in RBC K+ content (from 392 ± 19.9 to 479.2 ± 40 mmol/kg hemoglobin [Hb], P < .005), a significant increase in hematocrit (Hct) (from 0.435 ± 0.007 to 0.509 ± 0.022 [43.5% ± 0.7% to 50.9% ± 2.2%], P< .005), a decrease in mean corpuscular hemoglobin concentration (MCHC) (from 340 ± 9.0 to 300 ± 15 g/L [34.0 ± 0.9 to 30 ± 1.5 g/dL], P < .05), and a left-shift in RBC density curves. These data indicate that ICA-17043 is a potent inhibitor of the Gardos channel and ameliorates RBC dehydration in the SAD mouse.
Introduction
Red blood cell (RBC) dehydration is thought to play a key role in the pathophysiology of sickle cell disease (SCD). RBC dehydration occurs when ions and water flow out of the red cell, causing the cellular volume to decrease and the cellular hemoglobin concentration to increase. This increase in hemoglobin concentration leads to an increased rate of hemoglobin polymerization under hypoxic conditions. Because the delay time for hemoglobin S (HbS) polymerization is extremely dependent on HbS concentration, small increases in cellular HbS concentration dramatically enhance HbS polymerization rates and the ensuing cell sickling.1-6 The resulting cycle of HbS polymerization and RBC dehydration can lead to the formation of irreversibly sickled dense cells in patients with SCD.1-6 The presence of dense, dehydrated RBCs is one of the hallmark characteristics of patients with SCD and is hypothesized to play an important role in the pathophysiology of vasoocclusive crises.7-9 Dense cells may have an increased propensity for becoming trapped in the capillaries, possibly leading to microvascular obstructions and chronic organ damage.2-6
Studies of sickled RBC membrane cation permeability have characterized 2 cation transport systems involved in RBC dehydration: the Ca2+-activated K+ channel (Gardos channel) and the K-Cl cotransport system.10-14 The relative contribution of each of these 2 transport systems to RBC dehydration in patients with SCD is still under investigation. Work by McGoron et al15 has shown that the Ca2+-activated K+ channel is activated in vitro in human sickled red cells by fast oxygenation/deoxygenation. This report supports previous work by Brugnara et al,16 showing that inhibition of the Gardos channel during in vitro oxygenation/deoxygenation cycling prevented red cell dehydration.
The biophysical properties, pharmacology, and regulation of the Gardos channel in RBCs have been studied in detail. The Gardos channel is sensitive to block by charybdotoxin and clotrimazole (CLT), a marketed antifungal drug, but insensitive to other Ca2+-activated K+-channel inhibitors such as apamin and iberiotoxin.10,17-19 It is also blocked by quinine, carbocyanine, nifedipine, and nitrendipine, although with low potency and/or specificity.20-23
The human intermediate-conductance potassium channel (hIK1) was cloned in 1997 by scientists at Oregon Health Sciences University and Icagen.19 The biophysical properties, pharmacology, and regulation of this Ca2+-activated K+ channel were determined to be indistinguishable from the RBC Gardos channel.13,16-19 Additionally, CLT was shown to selectively and potently inhibit both the Gardos channel and hIK1.16 19
Brugnara et al13,16 designed a series of experiments to explore the effects of CLT on normal and sickled RBCs. With the use of human RBCs, experiments demonstrated that CLT prevented the dehydration of red cells in the presence of increased intracellular Ca2+ levels, which were induced by either exposure to the Ca2+ ionophore A23187 or cyclic oxygenation/deoxygenation.13,16 Moreover, in vivo studies in a transgenic mouse model of sickle cell disease (SAD mouse, De Franceschi et al24) demonstrated that oral administration of CLT inhibited Ca2+-activated K+ transport and prevented SAD RBC dehydration, with no effect on hematologic parameters in normal control mice.
On the basis of these in vitro and in vivo studies, CLT was studied in a small human clinical trial. Five patients with SCD were given increasing doses of CLT orally for 22 days. The effects of CLT on indices of RBC function and on the Ca2+-activated K+ flux from RBCs were assessed. CLT administration was associated with a significant inhibition of Ca2+-activated K+ flux from RBCs and a shift of red cell density profiles toward lower values (an indication of a decrease in the number of dense RBCs as compared with pretreatment values).25 CLT treatment in these patients was generally well tolerated at dosages up to 20 mg/kg per day, although, a mild dysuria was seen. Doses of 30 mg/kg per day resulted in mild increases in plasma alanine aminotransferase (ALT) and aspartate aminotransferase (AST) levels (enzymes associated with liver function) that returned to baseline when the drug was withdrawn.25 Despite these adverse affects, this study indicated that inhibition of the Gardos channel might have beneficial effects on RBC function in patients with SCD. Development of CLT as an orally administered drug in humans is unlikely because the drug is poorly absorbed and has a fairly short half-life following oral administration. Moreover, its effects on liver enzymes are a major limiting factor in achieving complete and sustained long-term effects.26 27
In this report, we present data on a novel Gardos channel inhibitor, ICA-17043. In preclinical studies, ICA-17043 was found to be a potent and selective antagonist of the Gardos channel with a promising pharmacokinetic and safety profile.28 ICA-17043 also effectively ameliorated the loss of RBC function associated with in vivo polymerization of hemoglobin in a mouse model of SCD. ICA-17043 is currently in clinical development for the treatment of sickle cell anemia.
Materials and methods
Drugs and chemicals
NaCl, KCl, ouabain, bumetanide, Triton-X-100 (TX-100), cremophore, and PEG-400 were purchased from Sigma Chemical (St Louis, MO). MgCl2, dimethylsulfoxide (DMSO), and n-butyl phthalate were purchased from Fisher Scientific (Springfield, NJ). Choline chloride and A23187 were purchased from Calbiochem-Boehring (San Diego, CA). Bovine serum albumin, fraction V, was obtained from Boehringer Mannheim (Mannheim, Germany). All inorganic salts were of analytical grade or higher. All solutions were prepared by using double-distilled water. For in vitro studies, all organic compounds were dissolved in DMSO or 100% ethanol. For oral administration to SAD mice, ICA-17043 was dissolved in a cremophore/PEG-400/water (10:10:80) mixture.
In vitro effects of ICA-17043 on red blood cells
Measurement of inhibition of Ca2+-activated Rb efflux in human and mouse RBCs.
Heparinized human blood was obtained from Biological Specialty (Colmar, PA). The blood samples were processed within 48 hours after being withdrawn. The whole blood was initially diluted 1:1 with Modified Flux Buffer (MFB), consisting of 140 mM NaCl, 5 mM KCl, 10 mM Tris (tris(hydroxymethyl)aminomethane), 0.1 mM EGTA (ethyleneglycoltetraacetic acid) (pH = 7.4). The blood was centrifuged at 1000 rpm, and the pellet comprised primarily of RBCs was washed 3 times with MFB. The cells were then loaded with 86Rb+ by incubating the washed cells with86Rb+ at a final concentration of 0.185 MBq/mL (5 μCi/mL) in MFB for at least 3 hours at 37°C. After loading with86Rb+, the RBCs were washed 3 times with chilled MFB. The cells were then incubated for 10 minutes with test compound (ICA-17043) at concentrations that ranged from 1 nM to 10 000 nM. Efflux of 86Rb+ was initiated by raising intracellular calcium levels in the RBCs with the addition of CaCl2 and A23187 (a calcium ionophore) to final concentrations of 2 mM and 5 μM, respectively. After 10 minutes of incubation at room temperature, the RBCs were pelleted in a microcentrifuge, and the supernatant was removed and counted in a Wallac MicroBeta liquid scintillation counter (EG&G Wallac, Turku, Finland). The described protocol is a modification of the protocol for measurement of Gardos channel inhibition in RBCs as previously published by Brugnara et al.13 16 The percentage of inhibition and IC50 values were calculated with the use of the Origin software logistic function (Microcal Software, Northampton, MA).
Measurement of inhibition of Ca2+-activated dehydration of human RBCs.
Heparinized human blood was centrifuged at 2000 rpm, and the resulting pellet was washed 3 times with MFB as described previously. The RBC pellet was resuspended in MFB to which CaCl2 had been added to a final calcium concentration of 2 mM. Test compound, at increasing concentrations, was incubated with an aliquot of cells for 10 minutes at room temperature. A23187 (a calcium ionophore) was then added to a final concentration of 50 μM, followed by a 15-minute incubation at room temperature. The cells were then pelleted by using a microcentrifuge, Quenching Buffer (140 mM NaCl, 5 mM KCl, 10 mM Tris, 5 mM EGTA, and 0.1% bovine serum albumin [BSA], pH = 7.4) was immediately added to each of the cell pellets, which were then vortexed to resuspend the cells. The resuspended RBCs were then washed 3 times with Quenching Buffer. A blood analyzer (H2 Technicon; Bayer Diagnostic, Tarrytown, NY) was used to measure the distributions of cell hemoglobin concentrations and to calculate the percentage of cells with hemoglobin concentrations above 410 g/L (41 g/dL).
Receptor binding study
A greater understanding of the potential side effect profile of ICA-17043 can be obtained by identifying which common receptors the compound interacts with in vitro. Receptor binding activity of ICA-17043 at a concentration of 10 μM was determined on 30 common receptors (conducted by Cerep, France): adenosine A129 and A2,30α1-31 and α2-adrenergic,32β1-adrenergic,33 NE uptake,34angiotensin (AT1),35benzodiazepine,36 bradykinin(B2),37cholecystokinin (CCK),38 dopamine D139 and D2,40dopamine uptake,41 endothelin (ETA),42 γ-aminobutyric acid (GABA),43 N-methyl-D-aspartate (NMDA),44histamine H1,45 muscarinic,46neurokinin,47 neuropeptide Y,48 nicotinic (N central),49 opiate,50 phencyclidine (PCP),51 serotonin (nonselective),52serotonin (5-HT1B)53 and serotonin (5-HT2A),54 serotonin uptake,55sigma opioid,56 glucocorticoid,57 and vasopressin-1 (V1)58 receptors.
ICA-17043 (at 10 μM) was incubated with membrane/cell preparations containing each of the above receptors and a corresponding high-affinity radioligand. Following incubation, membrane/cell fragments were filtered, and bound radioactivity was measured to determine the degree of displacement of radioligand by ICA-17043.
Animal studies
Effects of ICA-17043 on SAD mice.
Transgenic Hbbsingle/single SAD1 (SAD) female and male mice24,59 between 3 and 6 months of age, weighing 25 to 30 g, were used for this study. The SAD mice were divided into 2 groups, and either vehicle (n = 6) or ICA 17043 (10 mg/kg) (n = 6) was administered orally by gavage twice daily. C57B6/2J mice were used as controls (wild-type mice). Hematologic parameters were evaluated at baseline and after 11 and 21 days of therapy. Blood sampling and vehicle administration have previously been shown not to affect the blood parameters measured in this study.24,59 60
Effects of ICA-17043 on SAD mice under chronic hypoxia conditions.
In a separate study, after 15 days of dosing (10 mg/kg orally by gavage, twice a day), the SAD mice were maintained at 8% oxygen for 48 hours.60 Oxygen pressure inside the enclosed cage was monitored by an oxygen electrode. Hematologic parameters, RBC density patterns, Gardos channel activity, and RBC cation content were examined before and after 48 hours of hypoxic exposure.60 Control mice (C57B6/2J and vehicle-treated SAD mice) were also exposed to 48 hours of an 8% oxygen atmosphere.
Measurements of hematologic data and RBC cation content.
A total of 200 μL blood was drawn at specific time intervals from each ether-anesthetized mouse by retroorbital venipuncture into heparinized microhematocrit tubes. The samples were evaluated for Rb+ flux measurements (as described in “Measurements of Ca2+-activated Rb+ influx in SAD mouse red cells”), determination of RBC phthalate density distribution curves, cell morphology studies, determination of RBC cation content, and other hematologic parameters. The hemoglobin concentration was determined by spectroscopic measurement of the cyanmet derivative. The hematocrit (Hct) was determined by centrifugation in a microhematocrit centrifuge. The cells were washed 3 times with phosphate-buffered saline (PBS; 330 mOsm) at 25°C. Density distribution curves and median RBC densities (D50) were obtained according to Danon and Marikovsky by using phthalate esters in microhematocrit tubes.24,28,60 61
Measurements of Ca2+-activated Rb+ influx in SAD mouse red cells.
Whole blood was incubated for 30 minutes at room temperature in the presence of 1 mM ouabain, 10 μM bumetanide, and 20 mM Tris-Mops, pH 7.4. While stirring, the ionophore A23187 was added to a final concentration of 80 μM. After 6 minutes of incubation at 22°C, Rb+ (in the form of RbCl) was added to the cell suspension (time = 0) to a final concentration of 10 mM and incubated at 37°C. Aliquots were obtained after 0, 2, 3, and 5 minutes and transferred to 2 mL medium containing 150 mM NaCl and 15 mM EGTA, pH 7.4 at 4°C. The samples were washed 3 times at 4°C with the same solution, followed by lysis in 1.5 mL 0.02% Acationox. After centrifugation of the lysate for 10 minutes at 3000g, the Rb+ content was measured in the supernatant by atomic absorption spectrophotometry.24,59 60
Statistical analysis
Data from the SAD mouse experiments were analyzed byt test and by 2-way analysis of variance (ANOVA) for repeated measures between treatment schedules (vehicle-treated versus ICA-17043–treated mice) at given times in the chronic hypoxia experiments. Differences were considered significant atP < .05. Data presented as averages ± SD.
Results
In vitro inhibition of ion efflux through the Gardos channel by ICA-17043
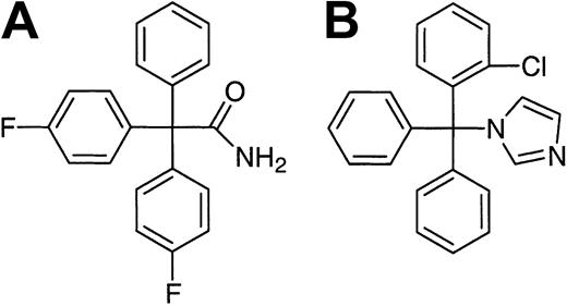
Figure 1 shows the chemical structures of ICA-17043 and CLT. Unlike CLT, ICA-17043 has a primary amide rather than an imidazole connected to the triphenylmethane group. ICA-17043 is also devoid of the ortho-chloro group found in CLT, but it does possess fluoro atoms in the para position of 2 of the aryl rings.
To determine the potency of ICA-17043 to block the Gardos channel, washed RBCs were loaded with rubidium (86Rb+), and varying concentrations of ICA-17043 were applied. Efflux of rubidium through the Ca2+-activated K+(Gardos) channel was initiated by increasing intracellular Ca2+ by use of a Ca2+ ionophore (A23187). A plot of the percentage of 86Rb+ efflux as a function of ICA-17043 concentration demonstrates that, as the concentration of ICA-17043 is increased, a consistent and increasing block of 86Rb+ flux through the Gardos channel is achieved (Figure 2). A fit of this data by a simple logistic function [100/(100 + ([ICA-17043]/IC50)h)] yields an IC50 of 11 ± 2 nM (h = 0.7) (n = 4) for block of the Gardos channel by ICA-17043 (Figure 2A). Under identical conditions, CLT yielded an IC50 of 100 ± 12 nM in human blood. In a comparable experiment, ICA-17043 was shown to block the Gardos channel of mouse (C57 Black) RBCs with an IC50 of 50 ± 6 nM (h = 0.7) (n = 4) (Figure 2B).
In vitro effects of ICA-17043 on human and mouse RBCs.
Inhibition of 86Rb efflux from (A) human and (B) mouse RBCs as a function of ICA-17043 concentration. Average normalized efflux values are plotted (●, ± SD) (n = 4). The curve through the data represents a fit to a simple logistic function with (A) human blood giving an IC50 of 11 ± 2 nM and (B) mouse blood giving an IC50 of 50 ± 6 nM.
In vitro effects of ICA-17043 on human and mouse RBCs.
Inhibition of 86Rb efflux from (A) human and (B) mouse RBCs as a function of ICA-17043 concentration. Average normalized efflux values are plotted (●, ± SD) (n = 4). The curve through the data represents a fit to a simple logistic function with (A) human blood giving an IC50 of 11 ± 2 nM and (B) mouse blood giving an IC50 of 50 ± 6 nM.
In vitro inhibition of Ca2+-induced RBC dehydration by ICA-17043
RBC dehydration can be initiated by treating RBCs with a Ca2+ ionophore that causes intracellular calcium to rise. This leads to Ca2+-activated K+ efflux followed by water efflux, causing cellular dehydration and a subsequent increase in cellular hemoglobin concentration. The use of inhibitors of the Gardos channel can prevent this Ca2+-induced dehydration.10 13 Because ICA-17043 is a potent and selective Gardos channel inhibitor, it was hypothesized that this compound should be able to block this Ca2+-induced RBC dehydration. Washed human RBCs were preincubated with varying concentrations of ICA-17043 before exposing the cells to the Ca2+ ionophore (A23187). The cellular hemoglobin concentration was monitored as an indicator of RBC dehydration. In the absence of ICA-17043, after a 15-minute incubation period with the Ca2+ ionophore, 47% ± 13% of cells had a cellular hemoglobin concentration greater than 410 g/L (41 g/dL). ICA-17043 blocked this increase in cellular hemoglobin concentration in human RBCs in a concentration-dependent fashion (Figure3).
Inhibition of Ca2+-induced formation of dense RBCs by ICA-17043.
The average percentage (normalized) of dense cells formed is plotted as a function of ICA-17043 concentration. Dense red cells are defined as cells with hemoglobin concentrations greater than 410 g/L (41 g/dL).
Inhibition of Ca2+-induced formation of dense RBCs by ICA-17043.
The average percentage (normalized) of dense cells formed is plotted as a function of ICA-17043 concentration. Dense red cells are defined as cells with hemoglobin concentrations greater than 410 g/L (41 g/dL).
ICA-17043/receptor binding profile
Receptor binding activity of ICA-17043 (10 μM) was determined by measuring displacement of high-affinity radioactive ligands on 30 receptors: adenosine A1 and A2, α1- and α2-adrenergic, β1-adrenergic, NE uptake, angiotensin (AT1), benzodiazepine, bradykinin(B2), CCK, dopamine D1and D2, dopamine uptake, endothelin, GABA, NMDA, histamine H1, muscarinic, neurokinin, neuropeptide Y, nicotinic (N central), opiate, PCP, serotonin (nonselective), serotonin (5-HT1B and 5-HT2A), serotonin uptake, sigma opioid, glucocorticoid, and V1 receptors. The estimated IC50 of ICA-17043 for binding to each of the receptors was more than 10 μM. Consequently, the selectivity ratios for the effects of ICA-17043 on the Gardos channel (IC50 = 11 nM) compared with the 30 receptors listed earlier was more than 900, indicating a minimum likelihood of observing side effects because of direct effects on these receptors by ICA-17043.
Effects of oral ICA-17043 administration in SAD mice
Selection of the daily dosing regimen for the SAD mice was determined on the basis of results from previous pharmacokinetic and toxicology studies. Dosing at 10 mg/kg twice a day orally was predicted to provide high enough plasma concentrations of ICA-17043 to generate almost complete Gardos channel inhibition at all times throughout a 24-hour period. The regimen of 10 mg/kg twice a day was also predicted to have no toxicologic effects in mice, because doses 10 to 100 times greater had produced no significant toxicologic findings in previous animal studies (data not shown).
SAD mice were subjected to a 21-day treatment course of 10 mg/kg ICA-17043 twice a day. Hematologic parameters, red cell density, red cell cation content, and Ca2+-activated K+(Gardos) channel activity were tested at baseline and after 11 and 21 days of treatment. ICA-17043 administration produced a significant decrease (P < .05) in Gardos channel activity measured at day 11 and 21 and was associated with a corresponding increase in red cell K+ content without changes in Na+ content (Table 1). In addition to the inhibition of Gardos channel activity and the increase in red cell K+content, a leftward shift in the red cell density profile was also observed: the red cell D50 changed with ICA-17043 treatment from 1.100 ± 0.002 to 1.089 ± 0.001 (day 11) and to 1.088 ± 0.001 (day 21) (n = 6, P < .05) (Table 1; Figure 4). No signs of toxicity or changes in body weight were observed in the animals treated with ICA-17043.
In vivo effects of oral ICA-17043 on RBC phthalate density profiles in the SAD mouse.
The effect of (A) ICA-17043 (10 mg/kg, twice a day) or (B) vehicle on the RBC phthalate density profile in SAD mice at baseline and day 21 of treatment. Plots show averaged density profiles (n = 6) (± SE).
In vivo effects of oral ICA-17043 on RBC phthalate density profiles in the SAD mouse.
The effect of (A) ICA-17043 (10 mg/kg, twice a day) or (B) vehicle on the RBC phthalate density profile in SAD mice at baseline and day 21 of treatment. Plots show averaged density profiles (n = 6) (± SE).
As shown in Figure 5A, ICA-17043 induced a significant increase in Hct after 11 days of dosing (from 0.435 ± 0.007 to 0.509 ± 0.022 [43.5% ± 0.7% to 50.9% ± 2.2%] [day 11] and 0.499 ± 0.041 [49.9% ± 4.1%] [day 21]; n = 6,P < .05). The MCHC decreased significantly after 11 and 21 days of treatment (from 340 ± 9 g/L to 295 ± 12 g/L [34.0 ± 0.9 g/dL to 29.5 ± 1.2 g/dL] [day 11] and 303 ± 15 g/L [30.3 ± 1.5 g/dL] [day 21]; Figure 5). Mean corpuscular volume (MCV) increased from 45.7 ± 0.2 fL to 48.9 ± 0.3 fL (day 21), P < .05. No significant changes in hemoglobin levels (Figure 5) or reticulocyte counts were evident during ICA-17043 treatment (reticulocyte baseline, 0.084 ± 0.019 [8.4% ± 1.9%], 0.071 ± 0.021 [7.1% ± 2.1%] [day 11] and 0.082 ± 0.024 [8.2% ± 2.4%] [day 21]; n = 6,P = NS). No changes in any hematologic parameters were observed in the SAD mouse vehicle-treated group (Figure 5). As a point of comparison, hematologic parameters from wild-type mice (C57B6/2J) under baseline conditions were as follows: a hematocrit of 0.444 ± 0.009 (44.4% ± 0.9%), a MCHC of 302 ± 12 g/L (30.2 ± 1.2 g/dL), and a hemoglobin level of 143 ± 5 g/L (14.3 ± 0.5 g/dL).
Effects of oral ICA-17043 on Hct, Hb, and MCHC in SAD mice.
The effect of (A) ICA-17043 (10 mg/kg, twice a day) or (B) vehicle on Hct, Hb, and MCHC in the SAD mouse at baseline, day 11, and day 21 of treatment. Plots show data from individual mice (n = 6).
Effects of oral ICA-17043 on Hct, Hb, and MCHC in SAD mice.
The effect of (A) ICA-17043 (10 mg/kg, twice a day) or (B) vehicle on Hct, Hb, and MCHC in the SAD mouse at baseline, day 11, and day 21 of treatment. Plots show data from individual mice (n = 6).
Further, in toxicology studies with ICA-17043, normal mice (CD-1) were dosed for 3 months at dose levels ranging between 250 and 2000 mg/kg per day, and no statistically significant changes in hematocrit, MCHC, or MCV were seen in these normal mice treated with ICA-17043 (data not shown).
Effects of oral ICA-17043 administration in SAD mice exposed to chronic hypoxia
To evaluate the effect of ICA-17043 on changes induced by chronic hypoxia, SAD mice were treated with vehicle (n = 6) and ICA-17043 (10 mg/kg twice a day) (n = 6) for 15 days and then exposed to chronic hypoxic conditions (8% oxygen for 48 hours).60
Prior to challenging the SAD mice with hypoxia, the degree of Gardos channel activity inhibition and changes in the hematologic parameters for the mice dosed with ICA-17043 were similar to those observed in the previous experiment described in “Effects of oral ICA-17043 administration in SAD mice.”
In the vehicle-treated SAD mice, hypoxia induced marked RBC dehydration, as indicated by a shift in the phthalate density profiles of the red cells toward higher values and a decrease in erythrocyte K+ content (Table 2; Figure6). However, in SAD mice treated with ICA-17043, although a shift to higher red cell densities and decreased red cell K+ content also occurred after exposure to hypoxia, the average red cell density (D50) was lower and K+ content higher in the ICA-17043–treated group when compared with the vehicle-treated group. The red cell density (D50) was 1.112 ± 0.001 for the vehicle-treated SAD mice after hypoxia but was 1.103 ± 0.001 for the ICA-17043–treated mice after hypoxia (n = 6, P < .005) (Table 2). Red cell K+ content was 279.3 ± 24.7 mmol/kg Hb and 321.6 ± 22.0 mmol/kg Hb in the vehicle-treated versus ICA-17043–treated mice, respectively (n = 6, P < .005) (Table 2).
Effect of oral ICA-17043 on the RBC phthalate density profiles in SAD mice exposed to chronic hypoxia.
The effect of (A) ICA-17043 (10 mg/kg, twice a day) or (B) vehicle on the changes in RBC density profile induced by chronic hypoxia (48 hours at 8% O2) in individual SAD mice. (The data from each mouse are representative of that for the 6 animals in each group.)
Effect of oral ICA-17043 on the RBC phthalate density profiles in SAD mice exposed to chronic hypoxia.
The effect of (A) ICA-17043 (10 mg/kg, twice a day) or (B) vehicle on the changes in RBC density profile induced by chronic hypoxia (48 hours at 8% O2) in individual SAD mice. (The data from each mouse are representative of that for the 6 animals in each group.)
Although no changes in reticulocyte count were observed in either mouse group after exposure to hypoxic conditions, the neutrophil count increased from 1.447 ± 0.633 × 109/L (1447 ± 633/μL) to 3.028 ± 1.178 × 109/L (3028 ± 1178/μL) in vehicle-treated SAD mice (n = 6,P < .05) and from 1.320 ± 0.260 × 109/L (1320 ± 260/μL) to 4.300 ± 0.640× 109/L (4300 ± 640/μL) (n = 6, P < .05) in the ICA-17043–treated mice. The increases in neutrophil counts were not statistically different between vehicle and ICA-17043–treated groups, indicating no direct effect of ICA-17043 on neutrophil migration in this model. A similar increase in neutrophil counts was observed in untreated SAD mice exposed to hypoxia (data not shown), indicating that the increase in peripheral neutrophils is related to hypoxia stimulus.
Discussion
In this study we have examined ICA-17043, a novel inhibitor of the Gardos channel, for its ability to block K+ movement via the Gardos channel in vitro and to prevent RBC dehydration in vivo in a transgenic mouse model of sickle cell disease (SAD).
Brugnara et al13,25 and De Franceschi et al24,60 have shown that CLT, a known blocker of the Gardos channel, prevents RBC dehydration in vitro and in vivo in the SAD mouse and in patients with sickle cell disease. However, oral CLT administration induces transient liver and gastrointestinal toxicity in patients with sickle cell disease.25 On the basis of these data, a drug discovery project was undertaken to identify novel inhibitors of the Gardos channel that are free of this toxicity.
ICA-17043 is a very potent inhibitor of the Gardos channel in human RBCs. It blocks the Ca2+-induced Rb+ flux through the Gardos channel in a concentration-dependent fashion with an estimated IC50 of 11 nM. ICA-17043 also potently blocks the Ca2+-induced dehydration of RBCs. Not only is this compound a potent inhibitor of the Gardos channel, but it also shows outstanding selectivity against various receptors, with selectivity ratios of ICA-17043 between the Gardos channel and many receptors of more than 900-fold.
The in vivo activity of ICA-17043 for the prevention of sickle red cell dehydration was studied in the transgenic SAD mouse.62Although this mouse model expresses a relatively mild form of sickle cell disease, it has been extremely valuable in assessing the cellular effects of therapies aimed at preventing RBC dehydration.24,60,63 The choice of the transgenic sickle cell SAD mouse model, which exhibits a mild form of SCD compared with transgenic knockout mice expressing exclusively human βSglobins, enabled us to study the effects of severe hypoxia/reoxygenation protocols, which cannot be applied to animals already displaying severe inflammation and pathology.24,60 63-68
Red cells from SAD mice exhibit properties similar to those found in human sickle cell disease, including a marked cellular dehydration and a reduced K+ and Mg2+ content. The Gardos channel plays a major role in K+ loss and dehydration in these cells.24,59,60 It has also been demonstrated that agents, such as CLT, which block Ca2+-dependent RBC dehydration in vitro, also reduce RBC dehydration under conditions of chronic mild hypoxia in the SAD mouse.60 Finally, the cellular effects of CLT observed in the SAD mouse have been predictive of the red cell changes seen in patients with sickle cell disease.24,32 60
Treatment with ICA-17043 produced a large and sustained inhibition of RBC Gardos channel activity in SAD mice. Associated with the Gardos channel block was an increase in red cell K+ content, an increase in Hct, a decrease in MCHC, and a decrease in red cell densities. Taken together, these changes in hematologic parameters indicated a reduction in red cell dehydration with ICA-17043. This regimen produced no signs of toxicity or changes in body weight. Importantly, significant inhibition of RBC dehydration was achieved in SAD mice at doses of ICA-17043 that are well tolerated in animals. It should also be noted that the changes in the hematologic parameters of the SAD mice on dosing with ICA-17043 were toward values more similar to those seen in normal mice. In normal mice, ICA-17043 produced no significant changes in hematologic parameters.
The exposure of transgenic sickle cell mice to hypoxia has been demonstrated to further exacerbate red cell dehydration and sickling.60,67 Thus, hypoxia represents an important tool for evaluating the ability of antisickling agent(s) to prevent or reduce red cell dehydration.60 When SAD mice are exposed to chronic hypoxia, a worsening of red cell dehydration is observed, which is mediated by the Gardos channel.60 ICA-17043 blunted the cell dehydration changes induced by chronic hypoxia, resulting in SAD mice with an RBC K+ content significantly higher than those of untreated SAD mice.
In conclusion, this study indicates that ICA-17043 is a potent and selective inhibitor of the Gardos channel and of the RBC dehydration that occurs via the Ca2+-activated K+ channel in both in vitro and in vivo systems. Clinical studies are currently in progress under a sponsor investigational new drug application (IND) to assess the efficacy and safety of ICA-17043 in patients with sickle cell disease.
We thank Mrs Angela Siciliano and Sue Arrington for their technical assistance.
Prepublished online as Blood First Edition Paper, November 14, 2002; DOI 10.1182/blood-2002-05-1433.
Supported by research funding from Icagen, Inc (L.D.F.); additional support was provided by grants from MURST 40OLIV99 and “Associazione-Filippo Collerone-,” Caltanissetta, Italy, (L.D.F.); and by National Institutes of Health grants HL 15157 (C.B.), DK 50422 (C.B.), HL 58930 (C.B.), and HL 64885 (C.B.).
One of the authors (C.B.) has declared a financial interest in the company whose (potential) product was studied in the present work.
Two of the authors (J.W.S. and G.A.M.-S.) are employed by Icagen, Inc.
The publication costs of this article were defrayed in part by page charge payment. Therefore, and solely to indicate this fact, this article is hereby marked “advertisement” in accordance with 18 U.S.C. section 1734.
References
Author notes
Jonathan Stocker, Icagen, Inc, PO Box 14487, Research Triangle Park, NC 27709; e-mail:jstocker@icagen.com.











