Key Points
Patients receiving 3 to 4 cycles of bendamustine were older and more highly comorbid than those receiving 5 to 6 cycles.
Older patients given 3-4 cycles of bendamustine had similar survival to those given 5-6 cycles after adjusting for comorbidities and age.
Visual Abstract
Bendamustine is among the most commonly used chemoimmunotherapies for patients with follicular lymphoma (FL). It is typically delivered with a goal regimen consisting of 6 cycles, but it is possible that treatment goals could be achieved with fewer cycles, particularly in older patients. We used data from the National Cancer Institute (NCI) linkage between Surveillance, Epidemiology, and End Results program and Medicare claims to evaluate the overall survival of patients with FL receiving 3 to 4 vs 5 to 6 cycles of bendamustine. Patients receiving 1 to 2 cycles of bendamustine chemotherapy were not included. Patients receiving 5 to 6 cycles of bendamustine were significantly younger (mean age, 75.0 vs 76.2 years; P < .01) and had fewer comorbidities by the NCI comorbidity index (mean score, 1.7 vs 2.0; P = .05) than those receiving 3 to 4 cycles of bendamustine, and on univariate analysis exhibited significantly lower risk of death (hazard ratio [HR], 0.75; 95% confidence interval [CI], 0.57-0.98; P = .04). However, multivariate analysis controlling for age and comorbidity did not reveal a significant association between overall survival and number of cycles of bendamustine (HR, 0.87; 95% CI, 0.66-1.15; P = .33). Limitations inherent to use of data such as these for causal inference are acknowledged. Nonetheless, these analyses suggest some older patients with FL achieve satisfactory survival outcomes even with lesser bendamustine exposure, and future efforts to prospectively identify such patients are warranted.
Introduction
Follicular lymphoma (FL) is an indolent lymphoma, accounting for ∼25% of new non-Hodgkin lymphoma diagnoses, and ∼55% of patients with FL are aged >60 years at the time of diagnosis.1 Achieving balance between FL treatment’s antilymphoma efficacy and its adverse effects is a central consideration, particularly for older adults with FL for whom adverse effects of therapy are more prominent and for whom lymphoma is a less common cause of mortality.2 An optimal treatment regimen would involve the parsimonious use of chemoimmunotherapy without compromising long-term treatment goals, such as relief from lymphoma-related symptoms and, critically, prolongation of overall survival (OS). This is reflected in the approach to newly diagnosed FL; a judicious approach to starting chemoimmunotherapy is commonly used because patients with asymptomatic or low burden FL are not disadvantaged by a strategy of observation compared with immediate initiation of chemoimmunotherapy.3,4 An estimated 3% of patients with FL experience treatment-related mortality, although this accounts for 17% of overall deaths for these patients.5 Thus, a similar judicious approach may be needed to limit the chemoimmunotherapy used to an amount sufficient to resolve symptoms and reduce the tumor burden. However, generally, such approaches have not been thoroughly investigated.
Chemoimmunotherapy is the mainstay of treatment of FL, and bendamustine with rituximab is among the most used regimens.6 Guidelines recommend the use of 6 cycles of bendamustine when it is selected for treatment.7,8 Although symptoms and tumor burden are often resolved within the first 1 to 3 cycles of bendamustine, it is not clear that delivery of the recommended 6-cycle course of this regimen is necessary to achieve optimal outcomes, and there is potential for toxicity with excess doses. Older patients more frequently experience adverse events when exposed to bendamustine, as seen in the GALLIUM study, and bendamustine exposure has been associated with increased infections and second malignancies.9,10 These considerations motivate efforts to limit exposure to chemotherapy in older adults without compromising lymphoma-related outcomes. Some studies have reported that fewer cycles of bendamustine and rituximab may achieve similar outcomes; however they have lacked adequate power to detect differences in the long-term outcomes of these patients.11
In this study, we sought to characterize the demographic, clinical, and treatment characteristics of patients with FL who undergo varied numbers of cycles of bendamustine therapy. We further hypothesized that treatment with more cycles of chemoimmunotherapy (eg, 5 or 6 cycles) would not result in greater treatment efficacy for patients compared with those receiving fewer cycles (eg, 3 or 4 cycles), as measured by OS.
Methods
Data
This study used data from the National Cancer Institute (NCI) linkage between Surveillance, Epidemiology, and End Results (SEER) program data and Medicare claims data. For this linkage, the SEER Program covered ∼27% of the US population and provides data on patient demographics, tumor characteristics, and first course of treatment.12 Approximately 95% of patients aged ≥65 years in the SEER file are linked to the Medicare files that provide data on use of health services, patient diagnoses, and vital status.13 This work was determined not to constitute human participants research by the University of Iowa institutional review board.
Variables and study design
Supplemental Figure 1 illustrates the relative timing of covariates, inclusion/exclusion criteria, predictors, and outcomes.
Inclusion/exclusion criteria
Figure 1 illustrates the application of inclusion and exclusion criteria. Patients were considered for inclusion if they met SEER site recode (ICD-O-3/World Health Organization 2008) criteria for non-Hodgkin lymphoma with FL morphology (ICD-O-3 morphology 9690/3, 9691/3, 9695/3, 9698/3). Patients were excluded if they were missing data on month of diagnosis, were diagnosed by autopsy or death certificate, did not have microscopic confirmation of disease, or were diagnosed before 1992. Patients must have had at least 1 claim for bendamustine during or after the month of their FL diagnosis. Patients were required to have continuous Medicare Parts A and B coverage with no health maintenance organization at 3 time periods: between FL diagnosis and the start of bendamustine, 12 months before the start of bendamustine, and 8 months after the start of bendamustine treatment. These 3 criteria combine to require a continuous period of this coverage that starts at, or before, FL diagnosis and extends through the 8 months after the beginning of the first bendamustine cycle. Whether this period extended before FL diagnosis depended upon the length of the interval between diagnosis and first bendamustine; if a patient’s first bendamustine claim was less than a year after diagnosis, their required fee-for-service period would extend before FL diagnosis. For all other patients, the required fee-for-service period would start on, or after, FL diagnosis (see supplemental Figure 1). This requirement implies that any patients who died during this coverage period were excluded.
Patients aged <66 years at bendamustine initiation were also excluded. To ensure bendamustine was the first line of therapy for FL, patients with any chemotherapy and/or immunotherapy claims before the first claim for bendamustine were excluded, with the exception of rituximab, bevacizumab, or denosumab. Chemotherapy and immunotherapy treatment was determined with Healthcare Common Procedure Coding System codes from Medicare National Claims History and outpatient claims (supplemental Table 1). Because of concern for substantial measured and unmeasured differences in baseline characteristics, patients were excluded if they received only 1 or 2 cycles of bendamustine; only patients with 3 to 6 cycles of bendamustine were eligible for inclusion (Figure 1).
Cycles of bendamustine
The first claim for bendamustine after FL diagnosis was considered the beginning of the first cycle of therapy, and other bendamustine claims were examined in that month and in the 8 months that followed to count number of cycles. A claim was considered to indicate a new cycle of bendamustine if it occurred >14 days after the previous cycle’s start date. A claim occurring >90 days after a cycle’s start date was considered the start date of a subsequent line of therapy rather than the beginning of another cycle.
Outcome
The study’s primary outcome was all-cause mortality. Date of death was available through the end of 2017.
Covariates
At FL diagnosis, race, ethnicity, sex, histologic grade, Ann Arbor stage, and presence of other primary cancer diagnoses were assessed using SEER variables. Between diagnosis and treatment initiation, 2 variables were assessed: rituximab treatment before bendamustine, and months from diagnosis to treatment initiation. The NCI comorbidity index was assessed for the 12 months before the month of bendamustine initiation. At bendamustine initiation, age, SEER registry region, and metropolitan vs nonmetropolitan county status were assessed. Zip code level median income and education at treatment initiation was based on US Census and American Community Survey data. Rituximab during bendamustine treatment (yes/no) was defined as having at least 1 claim for rituximab during the first line of bendamustine. Rituximab after bendamustine claim (yes/no) was assessed after the last claim for the first line of bendamustine.
Statistical methods
Two-sample t tests with unequal variances were used to evaluate differences in continuous variables and χ2 tests were used to evaluate differences in categorical variables between patients receiving 3 to 4 or 5 to 6 cycles of bendamustine. Survival probabilities were estimated and plotted using the Kaplan-Meier method. Cox regression was used to estimate the effect of demographic, clinical, and treatment characteristics on OS through 31 December 2017. Variables associated with OS on univariate analysis were included in a multivariate model. For OS, time was calculated from start of bendamustine to death due to any cause. Estimated effects of predictors were reported as hazard ratios (HRs) along with 95% confidence intervals (CIs). Missing values for continuous variables were mean imputed and categorical variables were mode imputed before analysis. All statistical testing was 2-sided and assessed for significance at the 5% level using SAS version 9.4 (SAS Institute, Cary, NC).
Results
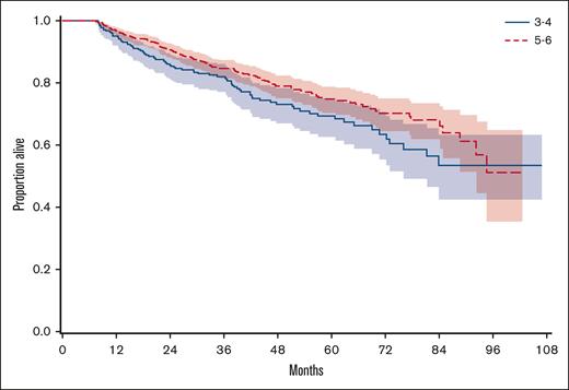
Baseline demographics of the cohort, and of patients receiving 3 to 4 (n = 299) vs 5 to 6 (n = 633) cycles of bendamustine are shown in Table 1. On univariate analysis, patients in the 3-to-4–cycles group were statistically significantly older than those in the 5-to-6–cycles group (age, 76.2 vs 75.0 years; P < .01) and had a statistically significant higher mean NCI comorbidity index score (2.0 vs 1.7; P = .05). The proportions of patients varied significantly by region (P = .01) and metropolitan county status (P < .01). Of patients receiving 3 to 4 vs 5 to 6 cycles, higher proportions resided in Midwest (16% vs 11%) or South (28% vs 22%) regions, lower proportions in Northeast (14% vs 17%) and West (41% vs 49%) regions, and a higher proportion in nonmetropolitan counties (23% vs 15%). Patients receiving 3 to 4 cycles had longer time from diagnosis to treatment start (18.2 vs 11.7 months; P < .01). There were 145 patients who received 1 to 2 cycles of bendamustine and were thus excluded from the primary analysis. These patients had statistically significantly older mean age (78.4 vs 75.4 years; P < .01) and greater mean NCI comorbidity index scores (2.3 vs 1.8; P < .01; supplemental Table 2). Estimated OS at 5 years was 69% (95% CI, 62-75) vs 75% (95% CI, 70-79) in the 3-to-4–cycles group vs 5-to-6–cycles group, respectively. Median OS was not reached for either cohort (Figure 2). In univariate Cox survival regression, patients receiving 5 to 6 cycles of bendamustine had significantly better survival than those receiving 3 to 4 cycles (HR, 0.75; 95% CI, 0.57-0.98; P = .04). Sex, age, NCI comorbidity index score, other cancer before lymphoma, second primary malignancy, treatment with rituximab before or during bendamustine therapy, and time from diagnosis to treatment start were each also associated with OS (Table 2).
A multivariate Cox model was constructed incorporating significant univariate variables. In this model, the number of cycles was not significantly associated with risk of death (HR, 0.87; 95% CI, 0.66-1.15; P = .33). Male sex (P < .01), previous and/or simultaneous cancer (P = .05), another cancer diagnosis after index cancer (P < .01), prior rituximab (P = .04), absence of concurrent rituximab (P = .03), increasing age at treatment start (P < .01), and increasing NCI comorbidity index score (P < .01) remained significantly associated with inferior OS. A 5-year increase in age at treatment start was associated with a 40% increase in the risk of death, and a 1-unit increase in the NCI comorbidity index score was associated with a 10% increase. A sensitivity analyses was performed excluding patients who received prior rituximab. The multivariate Cox model of OS for this population (n = 709) resulted in an effect estimate and directionality similar to the estimate for the full cohort (HR, 0.87; P = .79).
Discussion
Treatment guidelines recommend 6 cycles of treatment for patients with FL undergoing a bendamustine containing regimen. This is informed by results from the BRIGHT and STiHL randomized controlled studies and supported by the intuitive sense that <6 cycles of chemoimmunotherapy may result in inferior efficacy.14,15
In our data, we observed statistically significant differences in the characteristics of the population of patients receiving 3 to 4 vs 5 to 6 cycles of bendamustine. Patients receiving fewer cycles of bendamustine were more likely to have had treatment with rituximab before the start of bendamustine and had a longer time from diagnosis of FL to the start of bendamustine treatment. Taken together, these may be surrogate measures of the treating physicians’ gestalt assessments of the patients’ ability to tolerate cytotoxic agents, and reluctance to start them. This is also reflected in our data by the older age and greater burden of comorbidity among the patients in the 3-to-4–cycles group. All of these factors were associated with worse OS in the univariate analysis and most of these factors retained significance in the multivariate analysis.
In contrast, receipt of fewer cycles of bendamustine was significantly associated with worse OS only in the univariate analysis and not in the multivariate analysis. The differences in baseline characteristics (eg, age and comorbidity), although statistically significant, were not large in magnitude, and may not have had a large impact on clinical outcomes. Furthermore, after adjusting for their confounding effects, receipt of 5 to 6 cycles of bendamustine was not independently associated with improved survival relative to 3 to 4 cycles. Although null effects should be interpreted with caution, this suggests that the therapeutic benefit of this chemoimmunotherapy may be maximized with fewer than the recommended 6 cycles.
There are limited other studies examining the impact of the number of cycles of bendamustine on outcomes. Takezaki et al reported that the 5-year OS of patients receiving 4 cycles of bendamustine (n = 9, 85.7%) was similar to those receiving ≥5 cycles (n = 88, 86.3%) in their smaller, single-center experience. The progression-free survival of the group receiving 4 cycles was actually greater than that of the group receiving ≥5 cycles, suggestive of residual confounding factors. Our larger cohort was able to expand on these findings by including patients from multiple centers in the United States and by adjusting for covariates significantly associated with OS.11 Other studies examining the impact of receipt of fewer cycles or attenuated doses of other chemotherapies on outcomes in FL have primarily focused on cyclophosphamide regimens with or without doxorubicin. In an analysis of patients with FL receiving rituximab and cyclophosphamide–containing regimens, with or without doxorubicin, the total cumulative dose of cyclophosphamide had no impact on patients’ event-free survival. A lower total cumulative dose of doxorubicin was associated with shorter event free survival but only among participants not receiving maintenance rituximab.16 Similarly, in the National Lymphocare Study, patients receiving ≤4 cycles of rituximab-CHOP (cyclophosphamide, doxorubicin, Oncovin [vincristine], and prednisone) had shorter time to next therapy.17 Notably, and similar to our findings, the number of cycles of rituximab-CHOP chemoimmunotherapy received in the National Lymphocare Study was not associated with patients’ OS.17
Strengths of this study include the use of a population-based data set that provided a geographically diverse and large sample of patients with FL for analysis compared with a standard clinical trial, allowing adjustment for important covariates. There are limitations to this study as well. The reason patients received a given number of cycles of therapy is not available in these data. Patients receiving 1 to 2 cycles of bendamustine were excluded because it was believed that this was likely an inadequate course of therapy for reliable control of lymphoma; in addition to the measured differences shown in supplemental Table 2, these patients were likely to differ significantly in ways that are unmeasured in the data, such as high frailty or highly aggressive/refractory lymphoma, which could not be included in the analysis. It is possible that patients received fewer cycles because of perceived ineffectiveness of the regimen to that point, prompting initiation of a salvage treatment line. This would be expected to bias OS away from the null in favor of the group receiving 5 to 6 cycles. To account for anticipated immortal time bias favoring the group receiving 5 to 6 cycles, patients in both groups were required to survive to 8 months from treatment initiation and thus have the opportunity to be in either group. Ultimately, few patients were excluded by this condition, and the risk of bias was judged to be low.
Despite the compelling similarity in efficacy identified among patients receiving fewer vs more cycles of bendamustine chemoimmunotherapy in this study, caution is still necessary before applying these findings to the routine clinical setting. These analyses reflect an older population, and likely have less salience in younger populations, with less vulnerability to therapy-related toxicity. Additionally, although this analysis has focused on OS, other end points such as duration of remission and health-related quality of life are also highly valued by patients and clinicians but were not available for this analysis. Patients may prefer a longer duration of remission afforded by a longer bendamustine regimen, even if the OS is not improved by the additional cycles. Finally, some clinicians may already be applying clinical judgment to lessen exposure to chemotherapy in older patients, as evidenced by the substantial number of patients receiving 3 to 4 cycles. Patients most likely to benefit from such an approach would be those with highly responsive lymphoma. Response-adaptive treatment approaches could be strengthened in the future by the incorporation of novel, sensitive biomarkers of residual tumor burden, such as interim positron emission tomography/computed tomography or circulating tumor DNA.18,19 Our results support further efforts to aid clinicians in adapting treatment exposure for their patients with FL.
Acknowledgments
The authors acknowledge the efforts of the National Cancer Institute; Information Management Services Inc; and the SEER Program tumor registries in the creation of the SEER-Medicare database. The collection of some of the cancer incidence data used in this study was supported by the California Department of Public Health pursuant to California Health and Safety Code Section 103885; Centers for Disease Control and Prevention’s National Program of Cancer Registries, under cooperative agreement 1NU58DP007156; the National Cancer Institute’s Surveillance, Epidemiology and End Results Program under contract HHSN261201800032I awarded to the University of California, San Francisco, contract HHSN261201800015I awarded to the University of Southern California, and contract HHSN261201800009I awarded to the Public Health Institute.
This study was supported by the Lymphoma Clinical Research Mentorship Program grant from the Lymphoma Research Foundation (award no. 674871). This study also was supported by the National Cancer Institute (P30 CA086862 and R50 CA243692) and used the linked SEER-Medicare database.
The ideas and opinions expressed herein are those of the authors and do not necessarily reflect the opinions of the State of California, Department of Public Health, the National Cancer Institute, and the Centers for Disease Control and Prevention, or their contractors and subcontractors.
Authorship
Contribution: C.S.S. and B.K.L. conceived of the study; V.E.S., B.D.M., C.S.S., and B.K.L. designed and conducted the study; B.T.L. and B.J.S. performed statistical analysis; C.S.S. wrote the manuscript; and all authors contributed to manuscript writing and revision, and agree to submit the study for publication.
Conflict-of-interest disclosure: C.S.S. reports compensation for serving on the advisory board of Pfizer. B.K.L. reports compensation for serving on the data and safety monitoring board of Renentech/Roche and MEI Pharma Inc; and reports clinical research support from Janssen, AstraZeneca, and Genmab. The remaining authors declare no competing financial interests.
Correspondence: Christopher S. Strouse, Division of Hematology, Oncology, and Blood & Marrow Transplantation, University of Iowa, C32-D, General Hospital, 200 Hawkins Dr, Iowa City, IA 52242; email: christopher-strouse@uiowa.edu.
References
Author notes
We are not able to share the data set used for this study because of agreements with the providers of the data; please contact the corresponding author, Christopher S. Strouse (christopher-strouse@uiowa.edu) for additional information.
The full-text version of this article contains a data supplement.


