No tool is yet available to identify patients at higher risk of spontaneous joint bleeding while on emicizumab prophylaxis.
Synovitis score and total HEAD-US score could help in predicting the spontaneous joint bleeding risk of patients on emicizumab prophylaxis.
Visual Abstract
Emicizumab is approved for prophylaxis of patients with hemophilia A (HA). Despite its efficacy in reducing bleeding, some patients on emicizumab still experience hemarthrosis, but no tool is yet available to identify those at a higher risk of spontaneous joint bleeding. This study aimed to evaluate whether laboratory measurements (global coagulation assays and emicizumab concentration) and/or arthropathy scores can distinguish patients at higher risk of spontaneous joint bleeding while on emicizumab prophylaxis. A thrombin generation assay was performed upon the addition of tissue factor and synthetic phospholipids. Nonactivated thromboelastography was performed on citrated whole blood. Emicizumab concentrations were measured using a modified 1-stage factor VIII assay. The degree of hemophilic arthropathy was assessed using the Hemophilia Joint Health Score and Hemophilia Early Arthropathy Detection with Ultrasound (HEAD-US) score. A Cox proportional hazards model was used to evaluate the association between variables and bleeding. The predictive power of these variables was investigated using receiver operating characteristic (ROC) analysis. Forty patients with severe HA, with or without inhibitors, on emicizumab prophylaxis were enrolled in an observational cohort study. Ten of 40 developed spontaneous joint bleeding. None of the laboratory parameters were able to distinguish patients with a higher risk of spontaneous joint bleeding. ROC analysis showed that during emicizumab prophylaxis, only the presence of synovitis and a higher HEAD-US score were associated with spontaneous joint bleeding (area under the curve, 0.84). A greater degree of arthropathy and the presence of synovitis could help predict the risk of spontaneous joint bleeding in patients with HA on emicizumab prophylaxis.
Background
Severe hemophilia A (HA) is an X-linked bleeding disorder. Despite therapeutic advances and a reduction in bleeding episodes,1 a single joint bleed is sufficient to trigger progressive joint damage.2 Emicizumab (Hemlibra; F. Hoffmann-La Roche), the first nonreplacement therapy approved for the prophylaxis of patients with HA with or without inhibitors, increases thrombin generation in patients with HA.3 The efficacy and safety of emicizumab were established by the HAVEN pivotal clinical trials,4-9 with posttraumatic events accounting for most of the bleeding. Nonetheless, spontaneous bleeding accounts for a large proportion of hemorrhagic events, ranging from 22.2% to 40%, according to recent literature reporting real-world data.10,11 Several studies have evaluated the thrombin generation assay (TGA)12 and a few have evaluated nonactivated thromboelastometry (NATEM)13,14 for their ability to monitor emicizumab efficacy. Nevertheless, TGA has never been standardized in the context of emicizumab prophylaxis nor has it been shown to predict hemorrhagic risk.15 A recent study reported a difference in NATEM clotting time between patients with and without breakthrough bleeding in a population of 63 patients on emicizumab prophylaxis, but no differences were noted between posttraumatic and spontaneous bleeding.16 Although the usefulness of global coagulation assays during emicizumab prophylaxis is still debated and controversial, a monitoring method is lacking. Being able to predict which patients are at a higher risk of developing spontaneous joint bleeding could help clinicians prevent the further progression of hemophilic arthropathy. Patients who, despite adequate prophylaxis, still experience spontaneous hemarthrosis represent an unmet need. The Hemophilia Early Arthropathy Detection with Ultrasound (HEAD-US) score was found to be superior to the clinical reported hemarthrosis and the Hemophilia Joint Health Score (HJHS) in detecting early signs of joint damage.17 However, the usefulness of arthropathy scores to identify patients at a higher joint bleeding risk while on emicizumab has never been investigated. Given this background, a study exploring laboratory parameters (TGA, NATEM, and emicizumab plasma concentration) and clinical characteristics was conducted to determine whether a comprehensive evaluation of global coagulation assays and clinical variables might help identify patients at a higher risk of spontaneous joint bleeding while on emicizumab prophylaxis.
Materials and methods
Study design
A prospective cohort study was performed by enrolling consecutive patients with severe HA, both with and without factor VIII (FVIII) inhibitors, who were receiving emicizumab prophylaxis and referred to the Angelo Bianchi Bonomi Hemophilia Center in Milan, Italy, between September 2020 and September 2022. Patients with a body weight of <20 kg were excluded for safety reasons concerning the amount of blood required for global coagulation assays, and those with <6 months of follow-up were also excluded. All patients provided written informed consent in accordance with the Declaration of Helsinki and institutional review board approvement.
Outcomes
Participants were instructed to contact a 24-hour phone line to report to on-call physicians any bleeding event. Joint bleeding was considered spontaneous in the absence of any external cause (trauma or intense physical exercise). Our hub centre is equipped with a 24-hour expert medical on-call service trained to tackle hemarthrosis. Therefore, each event was confirmed through a visit to our centre and the data were prospectively collected.
The annualized bleeding rate (ABR) was calculated by dividing the total number of bleeds by the duration of the observation period and then normalizing the results for 1 year.
Blood sampling
A total of 15 mL of blood was collected per patient in a 1/10 volume of 0.105 M trisodium citrate. Patients had blood collected immediately before any emicizumab subcutaneous injection. In case of a recent bleeding event, blood was drawn at least 1 week after the last treatment with adjunctive FVIII or a bypassing agent.
Laboratory methods
Emicizumab concentrations were measured using a modified 1-stage FVIII assay.18 For NATEM, 300 μL of whole citrated blood was added to 20 μL of calcium chloride (100 mM) in the absence of activators, followed by recording the viscoelastic clot formation at 37°C using the thromboelastometry delta device (Werfen). Tracings were recorded for 9000 s and analyzed using standardized parameters, such as clotting time, clot formation time, alpha angle, and maximum clot firmness (MCF). The NATEM assay was performed within 30 minutes of blood sampling. For TGA, citrated blood was centrifuged at 3000g for 20 minutes to obtain platelet-poor plasma (PPP), which was aliquoted into plastic tubes, immediately frozen in liquid nitrogen, and stored at –80°C. TGA parameters were assessed according to Hemker et al19 using a homemade method20 in accordance with the ISTH SSC recommendations.21 Overall, the PPP was obtained by double centrifugation at 2500g for 15 minutes. The resulted PPP was activated by 1 pM/L human recombinant tissue-factor (Recombiplastin; Werfen) and 1.0 μM/L phospholipid mixture (1:1:1, phosphatidylcholine, phosphatidylethanolamine, phosphatidylserine; Avanti Polar Lipids, Alabaster, AL), in the presence or absence of 2 nM rabbit thrombomodulin (Hematologic Technologies, Essex, VT). In addition, a reference plasma (normal pool) was present in each run to reduce intercenter variability. The evaluated parameters were lag time, time to peak, velocity index, peak thrombin (Peak T) height, and endogenous thrombin potential (ETP).22
Arthropathy scores
The HJHS version 2.1, a validated instrument designed to assess joint health in individuals with hemophilia by evaluating 9 criteria across 6 index joints (elbows, knees, and ankles) and gait assessment, was obtained by trained physiotherapists. The HEAD-US score has been originally developed to detect early signs of joint involvement and to assess disease progression and treatment efficacy.23 The HEAD-US score is characterized by 3 domains explored by joint ultrasound (synovitis, cartilage, and subchondral bone) on the 6 main index joints (knees, elbows, and ankles), with a maximum score of 8 points per joint (synovitis, 0-2 points; cartilage, 0-4 points; subchondral bone, 0-2 points). The HEAD-US score was performed on each patient by the same expert rheumatologist using a single machine equipped with a 5 to 13 MHz linear probe. The total HEAD-US score and total synovitis subscore taken at the beginning of the study period were considered for each patient. The total synovitis subscore was assessed using the HEAD-US tool as the sum of the total synovitis scores (0 absent/minimal, 1 mild/moderate, and 2 severe) in each patient. The total synovitis subscore was analyzed as a single parameter because of its capability to identify the disease activity of the joint in patients with hemophilia.24 Moreover, the relationship with the maximum synovitis score was analyzed to investigate the relationship between bleeding and the worst synovitis score.
Adjustment covariates
Physical exercise and sports activities were classified into 4 categories based on effort intensity. A score of 0 was associated with no physical activity, 1 for low-impact activities (eg, walking), 2 for moderate-impact activities (eg, physiotherapy without additional use of FVIII), and 3 for high-impact activities (eg, soccer, skiing, or Nordic walking).
Statistical analysis
Descriptive results are reported as percentages (dichotomous variables) or medians and interquartile ranges (continuous variables). The degree of association between the NATEM/TGA parameters and emicizumab plasma levels was evaluated by calculating the Spearman rank correlation coefficient (ρ). To determine whether the differences assessed with global coagulation assays could be because of differences in emicizumab plasma concentration, the intraindividual variability of emicizumab plasma levels was calculated using the coefficient of variation (CV). To assess whether laboratory parameters and clinical characteristics differed between patients with and without spontaneous joint bleeds a Cox proportional hazards model was fitted using each NATEM/TGA and clinical parameter as independent variables. The degree to which these models were able to predict the spontaneous bleeding risk was investigated using means of receiver operating characteristic analysis. To account for multiple measurements, the mean value of each NATEM/TGA parameter per person was used in this analysis. Statistical analyses were performed using R version 4.2.1 and IBM SPSS Statistics (version 25.0; IBM, Armonk, NY).
The institutional review board of the promoting center, Fondazione IRCCS Ca’ Granda Ospedale Maggiore Policlinico (Milan, Italy), approved the study on 26 April 2021.
Results
Study population
Forty consecutive patients on emicizumab prophylaxis were enrolled in this observational study. Figure 1 shows that of the 51 patients with HA on emicizumab prophylaxis, 11 were excluded for meeting the exclusion criteria (Figure 1). The median follow-up time was 77 weeks (interquartile range [IQR], 36-97). The median patient age was 45 years (IQR, 27-57), all being adults, except for an 11-year-old and a 16-year-old adolescent. Of the 40 patients, 10 developed spontaneous joint bleeding during emicizumab prophylaxis. Regarding the group of patients without spontaneous bleeding, 6 of the 30 developed posttraumatic bleeding. In the entire cohort, the median total ABR was 0.70 (95% confidence interval, 0.51-0.89) and the median spontaneous joint ABR was 0.30 (95% confidence interval, 0.18-0.43). Of the 40 patients, 15 had a previous history of inhibitor development and 8 of them still had measurable FVIII inhibitory activity, despite previous attempts to inhibitor eradication. Detailed numbers and description of bleeding events are reported in supplemental Table 1.
Emicizumab plasma concentration
Emicizumab was administered at the same dosage of 1.5 mg/kg per week, except for 1 child with a dosage of 3 mg/kg every 2 weeks. At steady state, patients showed variable plasma emicizumab concentrations ranging from 17 to 90 μg/mL, with an inverse correlation with age. Because multiple measurements of emicizumab concentration per patient were obtained, we calculated the CV to determine the intraindividual variability. The within-subject CV for emicizumab plasma concentration was 10%, indicating a tendency to maintain nearly constant plasma levels at different time points.
Correlation between global coagulation assays and emicizumab plasma concentration
The correlation between the results of the global assays and emicizumab plasma concentrations was investigated using the means of Spearman correlation coefficient. After correction for multiple measurements, the MCF for NATEM and ETP and Peak T for TGA showed a correlation with emicizumab plasma concentration (Spearman ρ: −0.47 for MCF, 0.37 for ETP, and 0.42 for Peak T).
Laboratory parameters and spontaneous joint bleeding
The association between the chosen outcome, spontaneous joint bleeding, and measured laboratory variables was investigated (Table 1). According to the Cox proportional hazards model, within emicizumab plasma concentrations ranging from 17 to 90 μg/mL, there was no association with spontaneous joint bleeding (P = .37; area under the curve [AUC] = 0.63). Regarding NATEM, none of the parameters were associated with this outcome. For TGA, the variables ETP, Peak T, and velocity index were close to statistical significance (P = .07, P = .06, and P = .07, respectively) but none of them appeared to be a possible predictor of spontaneous joint bleeding (AUC = 0.65, AUC = 0.65, and AUC = 0.63, respectively).
Distribution of parameters between SJB and NSB
| Variable . | SJB median (IQR) . | NSB median (IQR) . | Hazard ratio (95% CI) . | P value . | AUC . |
|---|---|---|---|---|---|
| Number of patients | 10 | 30 | – | – | – |
| Age, y | 55 (41-61) | 41 (28-52) | 1.0 (0.97-1.06) | .59 | 0.58 |
| BMI | 23.6 (20.1-28.2) | 23.7 (21.4-24.7) | 0.96 (0.84-1.1) | .51 | 0.52 |
| Activity intensity | 1 (0-1) | 1 (0-2) | 0.7 (0.4-1.3) | .28 | 0.65 |
| HJHS | 25 (14-35) | 13 (3-16) | 1.0 (0.98-1.1) | .19 | 0.66 |
| HEAD-US | 24 (20-25) | 7 (1-11) | 1.08 (1.0-1.2) | .06 | 0.78 |
| Synovitis total score | 1 (1-2) | 1 (0-1) | 3.05 (1.15-8.12) | .03 | 0.79 |
| Maximum synovitis score | 1 (1-2) | 1 (0-1) | 4.6, (1.0 - 7.1) | .04 | 0.77 |
| Emicizumab | 40.9 (33.3-55.2) | 51.0 (42.2-63.1) | 0.98 (0.95-1.0) | .37 | 0.63 |
| NATEM | |||||
| CT, s | 865.0 (755.0-1006.5) | 832.4 (722.1-899.8) | 1.0 (0.99-1.0) | .26 | 0.62 |
| CFT, s | 176.0 (145.5-237.6) | 187.7 (164.4-222.7) | 1.0 (0.99-1.0) | .49 | 0.55 |
| MCF, mm | 60.5 (56-63) | 58.3 (55.5-60.6) | 1.0 (0.92-1.1) | .73 | 0.45 |
| MCF time, s | 1684.5 (1612-1701) | 1712.8 (1485-1855) | 1.0 (0.99-1.0) | .94 | 0.41 |
| Alpha angle, ° | 57.0 (51.8-63.0) | 57.8 (54.5-61.0) | 0.96 (0.89-1.0) | .42 | 0.58 |
| TGA | |||||
| Lag time, min | 8.3 (7.8-12.1) | 8.1 (7.4-8.8) | 1.06 (0.8-1.4) | .71 | 0.41 |
| ETP, nM × min | 785.1 (632.7-997.0) | 1053.0 (993.6-1282.1) | 0.99 (0.99-1.0) | .07 | 0.65 |
| Peak T, nM | 51.1 (38.4-63.5) | 77.3 (64.5-94.2) | 0.96 (0.94-1.0) | .06 | 0.65 |
| TTPeak, min | 20.8 (20.2-24.2) | 18.6 (17.8-19.5) | 1.06 (0.89-1.3) | .52 | 0.57 |
| Vel I, nM/min | 4.8 (3.0-5.2) | 7.7 (6.5-9.4) | 0.75 (0.5-1.0) | .07 | 0.63 |
| Variable . | SJB median (IQR) . | NSB median (IQR) . | Hazard ratio (95% CI) . | P value . | AUC . |
|---|---|---|---|---|---|
| Number of patients | 10 | 30 | – | – | – |
| Age, y | 55 (41-61) | 41 (28-52) | 1.0 (0.97-1.06) | .59 | 0.58 |
| BMI | 23.6 (20.1-28.2) | 23.7 (21.4-24.7) | 0.96 (0.84-1.1) | .51 | 0.52 |
| Activity intensity | 1 (0-1) | 1 (0-2) | 0.7 (0.4-1.3) | .28 | 0.65 |
| HJHS | 25 (14-35) | 13 (3-16) | 1.0 (0.98-1.1) | .19 | 0.66 |
| HEAD-US | 24 (20-25) | 7 (1-11) | 1.08 (1.0-1.2) | .06 | 0.78 |
| Synovitis total score | 1 (1-2) | 1 (0-1) | 3.05 (1.15-8.12) | .03 | 0.79 |
| Maximum synovitis score | 1 (1-2) | 1 (0-1) | 4.6, (1.0 - 7.1) | .04 | 0.77 |
| Emicizumab | 40.9 (33.3-55.2) | 51.0 (42.2-63.1) | 0.98 (0.95-1.0) | .37 | 0.63 |
| NATEM | |||||
| CT, s | 865.0 (755.0-1006.5) | 832.4 (722.1-899.8) | 1.0 (0.99-1.0) | .26 | 0.62 |
| CFT, s | 176.0 (145.5-237.6) | 187.7 (164.4-222.7) | 1.0 (0.99-1.0) | .49 | 0.55 |
| MCF, mm | 60.5 (56-63) | 58.3 (55.5-60.6) | 1.0 (0.92-1.1) | .73 | 0.45 |
| MCF time, s | 1684.5 (1612-1701) | 1712.8 (1485-1855) | 1.0 (0.99-1.0) | .94 | 0.41 |
| Alpha angle, ° | 57.0 (51.8-63.0) | 57.8 (54.5-61.0) | 0.96 (0.89-1.0) | .42 | 0.58 |
| TGA | |||||
| Lag time, min | 8.3 (7.8-12.1) | 8.1 (7.4-8.8) | 1.06 (0.8-1.4) | .71 | 0.41 |
| ETP, nM × min | 785.1 (632.7-997.0) | 1053.0 (993.6-1282.1) | 0.99 (0.99-1.0) | .07 | 0.65 |
| Peak T, nM | 51.1 (38.4-63.5) | 77.3 (64.5-94.2) | 0.96 (0.94-1.0) | .06 | 0.65 |
| TTPeak, min | 20.8 (20.2-24.2) | 18.6 (17.8-19.5) | 1.06 (0.89-1.3) | .52 | 0.57 |
| Vel I, nM/min | 4.8 (3.0-5.2) | 7.7 (6.5-9.4) | 0.75 (0.5-1.0) | .07 | 0.63 |
The table represents the hazard ratio, P value, and AUC extracted from the Cox proportional hazards model.
BMI, body mass index; CI, confidence interval; CFT, clot formation time; CT, clotting time; NSB, nonspontaneous bleeders; SJB, spontaneous joint bleeders; TTPeak, time to peak; Vel I, velocity index.
Clinical characteristics, arthropathy scores, and spontaneous joint bleeding
The association between the chosen outcome (spontaneous joint bleeding) and the clinical characteristics was investigated (Table 1). Although patients who developed spontaneous joint bleeding during the study were older, age was not associated with the development of spontaneous hemarthrosis (P = .59; AUC = 0.58). In addition, the body mass index was not associated with the outcome. We investigated physical activities to determine their potential function as a confounding variable but the intensity of the activities was not related to the outcome (P = 0.28; AUC = 0.65). The only predictors of spontaneous joint bleeding were the HEAD-US total score (AUC = 0.78) and the total synovitis subscore (AUC = 0.79), as measured before the observation period. Similar results were obtained when the maximum synovitis score was considered a variable instead of the total synovitis score (Table 1). A detailed description of each patient is reported in supplemental Table 2.
Predictive models for spontaneous joint bleeding
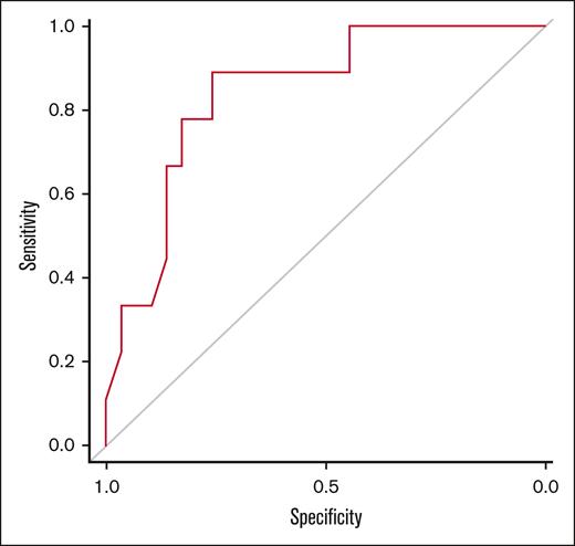
Based on the Cox hazards results, a model able to predict the risk of spontaneous joint bleeding was evaluated using receiver operating characteristic analysis (Figure 2). Different variables expected to have relevance in determining the bleeding risk were identified using the Cox proportional hazards model. The best prediction was identified using a model that considered the total HEAD-US and synovitis scores (AUC = 0.84). Emicizumab plasma concentration between 17 and 90 μg/mL failed to add value to the latter prediction model. Moreover, no added value in the AUC was shown by adding age to the prediction model and/or physical activities.
Receiver operating characteristic analysis. HEAD-US total score and total synovitis score in the prediction model (AUC = 0.84).
Receiver operating characteristic analysis. HEAD-US total score and total synovitis score in the prediction model (AUC = 0.84).
Discussion
Emicizumab prevents bleeding in patients with severe hemophilia, converting cases of severe or moderate hemophilia into a milder phenotype, with trauma causing the onset of the most intercurrent bleeding episodes. However, a proportion of patients develop spontaneous hemorrhages, with joint bleeding accounting for most of them.25 Because a single joint bleed is sufficient to trigger a state of chronic inflammation leading to synovial hyperplasia and angiogenesis, which in turn is responsible for more bleeding,26 it is important to identify predictors of these bleeds to reduce joint damage. Our study aimed to explore the usefulness of laboratory investigations (emicizumab plasma concentration and global coagulation assays) and/or arthropathy scores to identify patients at a higher risk for spontaneous joint bleeding. The Cox proportional hazards model failed to show a meaningful difference in emicizumab plasma concentration between patients with and without spontaneous joint bleeding, at least within the observed range of 17 to 90 μg/mL. Both the TGA and NATEM global coagulation assays failed to distinguish patients at a risk of spontaneous joint bleeding. Because emicizumab plasma concentration correlated well with global coagulation assays, our cohort study suggests that neither emicizumab plasma concentration nor global coagulation assays would be beneficial for this purpose.
In a longitudinal prospective study, Barg et al found no difference in ETP and Peak T between patients with and without bleeding during emicizumab.15 However, a study involving TGA with an analysis restricted to spontaneous joint bleeding has not been performed yet. NATEM has been proposed as a useful tool to monitor patients on emicizumab prophylaxis owing to the relative absence of coagulation enhancers.13 At variance, we were unable to demonstrate the usefulness of this assay for monitoring emicizumab prophylaxis because there was no difference in NATEM parameters between patients with and without spontaneous hemarthrosis.
The Cox proportional hazards model revealed that only the presence and degree of synovitis, as assessed by ultrasound, was strongly associated with the outcome (P = .03; AUC = 0.79). In addition, the HEAD-US score was associated with the outcome (P = 0.06; AUC = 0.78). Indeed, the best prediction model for spontaneous joint bleeding resulted to be the total HEAD-US score and the total synovitis score considered together (AUC = 0.84). Thus, in this study, only the presence of active synovitis and a severe degree of arthropathy seemed to be predictive of spontaneous joint bleeding episodes during emicizumab prophylaxis. The synovitis score reflects the current activity of arthropathy, whereas the HEAD-US total score represents the sum of active synovitis and past irreversible osteochondral injury.24 Notwithstanding the documented relationship between the HJHS and HEAD-US scores,27 the HJHS total score was not as predictive of spontaneous hemorrhage as the imaging score. Our findings support the two-hit hypothesis, with synovitis accounting for the novel episodes of spontaneous bleeding.28 Moreover, because the degree of physical activities failed to add gain to the model, the risk of spontaneous bleeding does not appear to result from sports activities or physical exertion which, on the other hand, might play a role in posttraumatic bleeds.
As older patients could be considered at a higher risk of having developed severe arthropathy due to the absence of regular prophylaxis until the 1990s, we considered separately age as a risk factor with no statistical significance (AUC = 0.58). In contrast to our findings, a previous study involving 70 patients on emicizumab prophylaxis reported that older age was associated with the development of spontaneous joint bleeding episodes. Nonetheless, the authors did not investigate the degree of arthropathy in their cases.25
The strengths of this study were the availability of real-world data and the follow-up of a single-center cohort. One limitation of this study is the number of spontaneous joint bleeding reported in a single-center cohort; however, several laboratories and clinical characteristics were accurately recorded for each patient. Further research on a greater number of patients with hemophilia on emicizumab prophylaxis is warranted to draw definitive conclusions about the same topics. Limitations also include the possibility of insufficient information regarding untreated bleeding, as each patient may have experienced underreported bleeding events.29 However, our hub centre tackles with a 24-hour service all events requiring FVIII or bypassing agents’ administration; therefore, we presume that all treated bleeding episodes were documented either by call or by the patients as home treatments.
In conclusion, despite the remarkable improvement in bleeding tendency and reduction in total ABR, one-fourth of our patients still experienced spontaneous joint bleeding during emicizumab prophylaxis and required replacement therapies. In our study, laboratory parameters (including TGA, NATEM, and emicizumab plasma concentration) failed to differentiate patients with an increased risk of spontaneous joint hemorrhage. The degree of hemophilic arthropathy and the presence of synovitis resulted to be the only parameters able to detect patients at a higher risk of spontaneous joint bleeding during emicizumab prophylaxis.
Acknowledgments
The Fondazione IRCCS Ca’ Granda Ospedale Maggiore Policlinico is a member of the European Reference Network (ERN-EuroBloodNet). The authors gratefully acknowledge Armando Tripodi for his careful revision and interpretation of the laboratory assays and Pier Mannuccio Mannucci for his critical revision of the manuscript. The authors also acknowledge Luigi Flaminio Ghilardini for his help in preparing figures and table.
This study was partially supported by the Ministry of Health, Bando Ricerca Corrente. Roche SpA Italy provided unconditional financial support for laboratory assays related to nonactivated thromboelastography and thrombin generation.
Authorship
Contribution: F.P. and S.A. designed the study; F.P., S.A., R.G., E.A.B., and V.B. carefully evaluated patients at different time points; S.A. collected the data; E.S., M.C., C.N., and C.V. performed the laboratory assays and critically revised the manuscript; S.H. performed the statistical analysis, with the contribution of S.A.; F.P., S.A., and R.P. evaluated the results and wrote the manuscript; and all authors critically revised the manuscript and approved the final version for submission.
Conflict-of-interest disclosure: F.P. received honoraria for participating in advisory boards organized by CSL Behring, BioMarin, Roche, Sanofi, and Sobi. R.G. received honoraria for participating as a speaker on advisory boards and seminars organized by Pfizer, Roche, Novo Nordisk, and Takeda, outside the present work. The remaining authors declare no competing financial interests.
Correspondence: Flora Peyvandi, Fondazione IRCCS Ca’ Granda Ospedale Maggiore Policlinico, Angelo Bianchi Bonomi Hemophilia and Thrombosis Center, Department of Pathophysiology and Transplantation, University of Milan, Via Pace 9, 20122, Milan, Italy; email: flora.peyvandi@unimi.it.
References
Author notes
The data supporting the findings of this study are available on request from the corresponding author, Flora Peyvandi (flora.peyvandi@unimi.it).
The full-text version of this article contains a data supplement.


