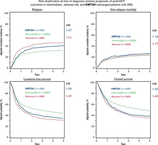
In the visual abstract, the colors of the Intermediate and Adverse curves were inverted in the Leukemia-free survival and Overall survival graphs. The corrected visual abstract is shown below:
The publisher apologizes for the errors, which have been corrected in the published article.
© 2023 by The American Society of Hematology. Licensed under Creative Commons Attribution-NonCommercial-NoDerivatives 4.0 International (CC BY-NC-ND 4.0), permitting only noncommercial, nonderivative use with attribution. All other rights reserved.
2023
